Institut numerique

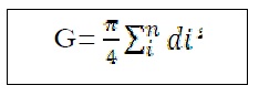
III-5.4.5 SURFACE TERRIERE

La surface terrière d’un groupement est exprimée en m²/ha et sa formule est :


Page suivante : III-6 DISTRIBUTION EN CLASSE DE DIAMETRE

Retour au menu : Structure diamétrique et caractérisation de l’habitat des peuplements du Chrysophyllum albidum G.Don (Sapotaceae) sur le plateau d’Allada au Bénin