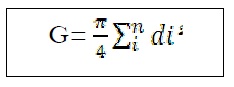
La surface terrière d’un groupement est exprimée en m²/ha et sa formule est :
Page suivante : III-6 DISTRIBUTION EN CLASSE DE DIAMETRE
Retour au menu : Structure diamétrique et caractérisation de l’habitat des peuplements du Chrysophyllum albidum G.Don (Sapotaceae) sur le plateau d’Allada au Bénin
