Institut numerique

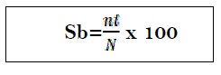
– III-5.4.1 LE SPECTRE BRUT (SB)

Il exprime le rapport entre le nombre d’espèce d’un type biologique/
phytogéographique et le nombre total d’espèce du groupement végétal. Il
s’exprimé en pourcentage.

ni = nombre total d’un type considéré

N= nombre total d’espèce d’un groupement
(Sb) = spectre brut en %

Page suivante : III-5.4.2 SPECTRE PONDERE (SP)

Retour au menu : Structure diamétrique et caractérisation de l’habitat des peuplements du Chrysophyllum albidum G.Don (Sapotaceae) sur le plateau d’Allada au Bénin