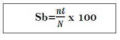
Il exprime le rapport entre le nombre d’espèce d’un type biologique/
phytogéographique et le nombre total d’espèce du groupement végétal. Il
s’exprimé en pourcentage.
ni = nombre total d’un type considéré
N= nombre total d’espèce d’un groupement
(Sb) = spectre brut en %
