Institut numerique

RESULTATS

I – Bilan séro-immunologiques :

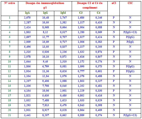
Les résultats des dosages des immunoglobulines (Ig) et des fractions C3 et C4 du complément, de la recherche des CIC ainsi que celle des IgG –aCL, sont consignés dans le Tb.1.

L’augmentation du taux des IgA sériques (IgA>VN) a été retrouvée dans 11/21 (71,42%) des cas.

Le taux du composant C3 du complément est inférieur à la VN dans 12/21 (57,14%) des cas alors que celui du C4 est normal dans 4 cas et élevé dans 17/21 cas (80,95%).

Les CIC sont positifs dans 6 cas, tous de type IgG. Ces IgG, au sein des CIC sont isolées dans 4 cas et associées au C3 dans 2 cas.

Les anticorps anti-cardiolipine d’isotype IgG sont positifs dans 6 cas, parmi lesquels 3 sont associés à des lésions vasculaires d’endartérite fibreuse et de microangiopathie.

Tous les patients de notre étude sont AAN, AML, AAM et FR négatifs.

Tb.1. Bilan séro-immunologiques

II – Polymorphismes génétiques :

Les fréquences génotypiques et alléliques des polymorphismes analysés dans notre étude sont consignés dans le Tb.2 et Tb.3, en comparaison avec celles observées dans la population Tunisienne générale témoin.

Tb2.Fréquences génotypiques et alléliques des polymorphismes des gènes de l’IL1 α, l’IL1 α, du CTLA-4 et de l’Apo1/Fas chez les patients et les témoins.

Tb.3.Fréquences génotypiques et alléliques du polymorphisme du gène de l’IL1 Ra chez les patients et les témoins.

L’analyse des polymorphismes des gènes de l’IL1β, l’IL1β et l’Apo1/Fas ne montre pas de différence statistiquement significative au niveau des fréquences alléliques et génotypiques entre les malades et les témoins. En revanche celle du polymorphisme d’un seul nucléotide (SNP) de l’exon 1 du gène du CTLA-4 (A/G) à la position +49, montre une association significative (p

Il en est de même pour le polymorphisme VNTR du gène de l’IL1 Ra qui révèle une fréquence statistiquement (p

Page suivante : DISCUSSION

Retour au menu : Polymorphismes des gènes de l’IL1/IL1-Ra, de la molécule CTLA-4 et de l’Apo1/Fas et susceptibilité à la néphropathie à IgA