3.2.1. Analyse des postes de transformation dans le réseau décentralisée d’un système interconnecté
Le réseau électrique Camerounais est hiérarchisé en trois parties dont les fonctions actuelles sont très différentes. Le réseau de transport a pour rôle de transporter l’énergie en très haute tension depuis les centres de productions jusqu’au premières zones de consommation. Le réseau de répartition alimente directement les gros consommateurs industriels puis achemine l’énergie jusqu’aux réseaux de distribution chargés d’approvisionner les consommateurs moyenne et basse tension. Ces trois niveaux de réseau sont délimités grâce à des transformateurs.
Ces transformateurs permettent d’acheminer l’énergie à différents niveaux de tension. Dans une vision plus détaillée, le réseau électrique du Cameroun manque d’analyse claires sur les GED marquant le développement de la production décentralisée d’électricité. Pour les raisons importantes d’une telle analyse, le Cameroun risque être confronté à de nombreux problémes de stabilité et de qualité dans la fourniture d’nergie électrique. A cet effet les postes de transformation barriére incontournable entre deux réseaux ou entre un réseau et les consommateurs, leur analyse ici profonde s’avére necessaire pour comprendre leur imortance.
Les postes électriques Hautes Tension servent à transformer la tension, aiguiller le courant électrique et protéger les installations et les personnes. Il existe deux grandes catégories de postes Haute Tension :
1. Les postes de transformation
Les postes de transformation permettent de passer d’un niveau de tension d’entrée donné à un niveau de tension de sortie qui peut être supérieur (on parle alors de transformateurs élévateurs) ou inférieur (abaisseur). En général, on augmente la tension en sortie de centrale pour transporter l’énergie électrique avec le moins de pertes possibles, et on diminue la tension aux abords des centres de distribution (agglomération, industrie, etc.)
2. Les postes d’interconnexion
Les postes d’interconnexion sont les noeuds du réseau électrique d’un pays. Ils permettent de relier entre eux plusieurs sections d’un réseau. Les postes électriques Haute Tension peuvent raccordés à des lignes électriques, à des câbles ou également directement à une centrale électrique (on parle alors de poste « sortie de centrale »). Les fonctions de transport et d’interconnexion sont assurées essentiellement par le réseau à 400 kV, parfois encore par le réseau à 225 kV. Des transformateurs alimentent, aux tensions de 225, 90 et 63 kV, des réseaux régionaux de répartition qui fournissent l’énergie aux réseaux de distribution à moyenne tension (20 kV, essentiellement). Pour une interconnexion entre les différentes unités de productions du réseau électrique, la création des postes de transformation est nécessaire pour assurer une meilleure distribution et un bon transport de l’énergie produite au sein des centrales de production. En fonction de leur disposition, Ceux-ci jouent quatre rôles important :
– Les postes de sortie de centrale qui servent à relier les centrales au réseau.
– Les postes d’interconnexions qui servent à interconnecter plusieurs lignes électriques.
– Les postes élévateurs qui servent à augmenter la tension à l’aide de transformateur.
– Les postes de distribution qui diminuent le niveau de tension afin de le distribuer aux consommateurs.
L’énergie produite doit être acheminée sur tout le territoire. Ainsi cette énergie transportée sur des lignes aériennes ou souterraines doit appartenir à un certain domaine de tension alternative présenté à travers le tableau ci-dessous :
Figure 3.14 : répartition de différents niveaux de tension sur un réseau électrique norme UTE C 18 18-510
Les réseau électriques décentralisés sont dans la plus part distribuent l’énergie en MT/BT. Ainsi on distingue quatre types de réseaux : Réseau en antenne : un centre de production dispose de plusieurs lignes en parallèles qui alimentent un centre de consommateur ; Réseau en faisceau : un centre de production dispose d’un ensemble de lignes qui desservent plusieurs centres de consommation ou bien plusieurs centres de production alimentent un centre important de consommation ; Réseau d’interconnexion pure : les centres de production sont reliés entre eux par un certain nombre de lignes ou des centres de consommateurs. Les deux précédents réseaux constituent des réseaux de transport ; Réseau de type mixte : le réseau interconnecté assure à la fois des fonctions de transport d’énergie et des fonctions d’interconnexion.
A partir de postes sources alimentés par le réseau de transport, la société en charge de la distribution d’électricité distribue par voie aérienne l’énergie en moyenne tension (MT) à des puissances de 25, 50, 100, 160, 250 kVA. Ceux-ci sont plus répandus dans deux zones :
– Réseau en zone rurale : Ce sont essentiellement des lignes aériennes assez longues, assurant une distribution avec une faible puissance à des utilisateurs très dispersés.
– Réseau en zone urbaine : La puissance installée est beaucoup plus importante par unité de surface.
Lors de la conception d’un réseau de transport d’énergie, plusieurs configurations de réseaux sont possibles à installer selon la situation des utilisateurs :
– Réseau simple dérivation : utilisé surtout pour la distribution rurale ou périurbaine. Tout défaut provoque la coupure de toutes les abonnées concernées par le départ du poste source.
– Réseau en double dérivation : chaque poste est alimenté par deux câbles avec permutation automatique en cas de manque de tension sur l’une des arrivées. Ce type de dispositif est utilisé dans les zones urbaines.
– Réseaux en coupure d’artère : tous les postes HTA/BT sont branchés en dérivation sur une boucle ouverte en un point proche de son milieu. En cas de défaut sur une partie de la boucle, il est possible d’alimenter tous les postes en ouvrant la boucle à l’endroit du défaut.
Les postes source HTB/HTA sont parfois alimentés en antenne mais, le plus souvent, ils sont alimentés avec un jeu de barre recevant plusieurs arrivées (ou lignes) HTB. Un ou plusieurs transformateurs HTB/HTA sont raccordés sur ces jeux de barre HTB simples ou multiples. A l’aval de ces transformateurs, des départs moyens tension partent d’un ou plusieurs jeux de barres HTA. Le tab 3.8 ci-dessous présente les differentes avantages, inconvenients et mode d’untilisation de réseaux.
Tableau 3.8: comparaison des postes sources HTB/HTA
Dans le cas des réseaux en milieu rural, conduisant vers une perspective de développement local, on trouve des architectures arborescentes bouclables mais exploitées en radial. Les boucles peuvent se situer entre les postes HTB/HTA ou entre départs voisins (du même poste source).
Au regard de toutes ces observations effectuée sur les postes de transformation, leur raccordement constitue un autre probléme à resoudre car il existe differents types comme présenté ci-dessous. Mais le choix du type est fixé par l’autorité en charge de la gestion des problémes d’électrification. Dans le cadre d’une production décentralisée, les sources de production aussi nombreuses quelles seront vont impliquer des choix. Soit un câblage en boucle ou un câblage en aetére des postes de livraison.
Dans les besoins de continuité de service, il importe que le réseau dans sa configuration soit structuré c’est-à-dire limiter les temps de realimebtation en cas d’indisponibilité.
La structuration d’un réseau est différente selon qu’on aura à faire à un réseau en zone rurale ou en zone urbaine. Cela implique l’existence de deux types départs à savoir les départs de type urbain et les départs de type rural.
3.2.1.1. Structure des réseaux électriques en zone rurale
Les structures des réseaux en zone urbaine sont le plus souvent les structures en coupure d’artère (Figure 3.13a : Cette structure permet à chaque poste d’être alimenté à un instant donné en schéma normal ou en schéma de secours) ou les structures en double dérivation (Figure 3.13b : Dans cette structure, chaque poste peut être alimenté soit par un départ, soit par un autre. En cas d’indisponibilité, une permutation automatique équipée d’une temporisation bascule le poste sur le deuxième départ) pour les zones urbaines denses.
Figure 3.13a : structure en coupure d’artére [43]
Figure 3.13b : structure en double dérivation [43]
La structure des réseaux en zone rurale (Figure 3.14) sont le plus souvent d’artère principale de source à source. Ils peuvent également présenter des départs bouclant avec un départ alimenté par le même poste source, lorsque la densité de charge n’est pas homogène sur le territoire. Les départs peuvent présenter des
antennes (dérivation non bouclée).
Figure 3.14 : structure de réseau rural [43]
Toutes ces opérations d’ordre technique entrainnent sans doute des dépenses qui contraint la prise en compte d’un dimensionnement économique des installations.
Ce principe de dimensionnement économique, en lieu et place du seul dimensionnement technique, est largement répandu chez tous les exploitants de réseau électrique, qu’il s’agisse de réseaux publics ou de réseaux privés. Les principes du calcul du dimensionnement économique figurent d’ailleurs très fréquemment dans les catalogues des fournisseurs de matériel : câbles, transformateur, etc.
Le principe de dimensionnement économique revient à choisir un palier technique (il faut entendre par là les différentes sections de câble retenues par la structure en charge de l’ER, la puissance unitaire des transformateurs HTB/HTA, etc.) qui présente l’optimum technico-économique. Le calcul est réalisé avec les hypothèses suivantes :
– le palier technique retenu est celui qui présente le coût minimal sur la durée de vie de l’ouvrage (N), ce coût étant égal à la somme du coût d’établissement (E) et du coût d’exploitation (D) actualisé ;
– le coût d’établissement (E) de l’ouvrage est constitué de la somme des coûts d’achat du matériel, de ses accessoires y compris leur mise en oeuvre et leur pose ;
– le coût d’exploitation annuel de l’ouvrage (d) prend en compte les coûts de maintenance, les coûts de défaillance, ainsi que le coût des pertes électriques générées : pertes Joule dans les câbles, pertes Joule et fer dans les transformateurs. Ces pertes dépendent du dimensionnement de l’ouvrage (palier technique retenu) et du transit dans l’ouvrage.
– les dépenses d’établissement et d’exploitation n’ayant pas la même échéance, elles ne peuvent être additionnées sans actualisation. Le taux d’actualisation financière a pour objectif de ramener les coûts annuels à des dépenses engagées à l’année initiale de la période d’utilisation ;
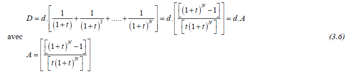
– l’expression du coût d’exploitation (D) sur la durée de vie de l’ouvrage (N), actualisé à l’année initiale d’établissement est (en considérant que le coût d’exploitation annuel (d) est payé en fin d’année tout au long de la durée de vie N de l’ouvrage) :
(t) : taux annuel d’actualisation 8 %, (N) durée d’amortissement de l’ouvrage (par exemple 40 ans pour les câbles). Le dimensionnement économique de l’ouvrage est celui qui minimise la valeur de (E +D) sur la durée de vie N. La section économique de câble sera utilisée systématiquement pour optimiser les pertes Joule. Pour toute création et remplacement d’ouvrages existants. Pour déterminer les sections économiques, on définit le nombre d’heures d’utilisation de la pointe Pour un utilisateur, il est défini comme le rapport suivant : Durée d’utilisation de la Pmax = Energie annuelle / Puissance de raccordement [43].
3.2.1.2. La libéralisation du réseau électrique pour une meilleure modernisation
Une étude menée par Hugo A. Gil et Geza Joos en 2008 a montré que la production décentralisée peut amener des avantages économiques pour tous les acteurs du système électrique.
Les consommateurs, en installant leurs propres GED, peuvent augmenter la fiabilité de leur approvisionnement. Ils peuvent aussi diminuer leur facture électrique en consommant l’électricité produite, voire en la revendant au distributeur à des tarifs de rachat supérieurs aux tarifs de vente, comme c’est le cas pour l’instant en Europe.
Les gestionnaires des réseaux de distribution peuvent, grâce aux GED, différer leurs investissements sur le réseau. La production décentralisée, à condition qu’elle ne dépasse pas en puissance la consommation locale, permet de produire localement l’électricité consommée par les charges proches, les pertes en lignes sur les réseaux et les appels de puissance dans les postes sources sont donc diminuées. Cela permet aussi entre autre d’effacer les pointes de consommation importantes. L’installation généralisée de production décentralisée au niveau régional voire national permettrait aussi de diminuer globalement les prix de l’électricité, quelques soient les marchés.
Ces avantages économiques de la production décentralisée sont attendus dans un marché économique idéal, où les différents acteurs pourraient être en position de concurrence équivalente.
Il apparaît aujourd’hui que ce cas de figure est loin d’exister car le marché de l’électricité est contrôlé par les anciennes sociétés qui se trouvent en situation de monopole car le marché de l’énergie électrique étant un marché fortement capitalistique nécessitant de forts investissements, l’établissement d’un marché concurrentiel prend du temps.
Les réseaux de distribution ont été à l’origine conçus pour des flux de puissance active descendants depuis le poste source vers les consommateurs. La présence de production décentralisée peut créer des flux bidirectionnels de puissance active à l’intérieur des réseaux de distribution, voir aussi, quand la production dépasse la consommation, pourquoi pas des flux ascendant vers les réseaux de transport. La première conséquence de ces flux de puissance bidirectionnels est qu’il devient nécessaire de modifier le plan de protection des réseaux de distribution. Les GED apportent en effet de la puissance de court-circuit en aval des protections, ce qui a pour effets potentiels de les aveugler ou de les déclencher de manière intempestive. La sécurité des biens et des personnes peut donc être en jeu. Les GED modifient aussi le plan de tension des réseaux de distribution.
Dans une perspective de gestion décentralisée des CTD, les collectivités territoriales doivent multiplier d’ingéniosité pour se doter de suffisamment d’énergie électrique pour susciter l’intérêt des investisseurs. A l’exemple d’une initiative l’échelle du Département des Hauts-Plateaux, qui avait sollicité une étude à CODEA (Communes et Développement en Afrique), l’APADE (Association Panafricaine pour le Droit à l’Energie) et le Bureau d’études camerounais EED (Etudes Engineering et Développement) au courant de l’année 2009, en collaboration avec les Communes de Baham, Bamendjou, Bangou et Batié pour une planification territoriale de l’électrification rurale au sein de cette région.
Les évolutions attendues, décrites ci-avant, transforment les réseaux électriques en profondeur. De nouveaux acteurs et de nouvelles fonctions sont en train d’apparaître. Le système électrique, naguère passif, se métamorphose progressivement en un système plus dynamique, plus actif et plus intelligent. Cet ensemble de réseaux électriques intelligents est appelé depuis peu Smart Grids. Ce terme, popularisé en 2009 par le plan de relance américain ARRA, est aujourd’hui communément admis pour parler des réseaux électriques du futur. En français, les termes de réseau intelligent ou réseau actif pourra aussi être utilisé. La direction vers laquelle évoluent les réseaux électriques est aujourd’hui commune à tous les pays.
Dans le cadre de développement de Smart Grids, les étapes de développement seront différents selon que les pays soient développés ou en voie de développement. Les premiers ayant un système électrique fiable et fortement développé verront des processus de transformation par étapes. Alors que les suivants dont l’infrastructure électrique est déficiente et peu développée verront certainement, au contraire, si les investissements financiers sont présents, la construction directe, c’est-à-dire sans étape intermédiaire, de réseaux intelligents ou smart grids.
L’utilisation de dispositifs technologiques modernes de contrôle des réseaux permet de répondre à l’amélioration de la qualité de la fourniture en énergie électrique. Les FACTS rentrent dans cette mouvance innovante du développement du secteur des réseaux hautes tensions (THT).
Le concept de systèmes flexibles pour réseau de transport alternatif en courant (FACTS) couvre un certain nombre de technologies destinées à renforcer la sécurité, la capacité de transit et la flexibilité des réseaux de transport d’énergie. On augmente ainsi la quantité d’énergie électrique acheminée jusqu’aux centre de consommation avec un impact minimum sur l’environnement, avec des projets beaucoup plus rapides à mettre en oeuvre et des dépenses d’investissement réduites par rapport aux autres solutions, construction de nouvelles lignes de transport ou de nouveaux moyens de production.
Les FACTS en Anglais (Flexible Alternatif Current Transmission Systems) permettent d’accroître la capacité du parc existant, tout en maintenant ou en améliorant les marges d’exploitation indispensables à la stabilité des réseaux. Souvent lorsque l’on évoque la libéralisation du secteur de l’électricité et les contraintes imposées au marché par le réseau, la première solution évoquée consiste à préconiser l’utilisation des FACTS pour résoudre tous les problèmes.
Le système monopolistique ayant dominé dans le secteur des hydrocarbures a connu son basculement vers la concurrence à travers l’ouverture du marché énergétique à cause des crises successives dans le secteur. Dans le cas des énergies électriques, la libéralisation est un phénomène complexe qui remet en cause l’ensemble de l’organisation de ces secteurs industriels, fondée sur une protection contre la concurrence et des relations très étroites entre opérateurs. La libéralisation des marchés électriques repose sur le morcellement des chaînes techniques afin d’introduire la compétition partout où cela est possible. Ainsi les réseaux électriques hautes tension sont des structures stratifiées où se succèdent production, transport et distribution, entre lesquels des liens très étroits doivent être tissés pour permettre la satisfaction de la demande en temps réel.
On définit les réseaux de transport électriques comme des réseaux permettant l’acheminement de fortes quantités de puissance à partir des sources vers les régions consommatrices d’électricité. Ces réseaux sont soumis à de fortes contraintes en termes de structure puisqu’il faut garantir une bonne sécurité d’alimentation. Celui du Cameroun est subdivisé en plusieurs réseaux, celui de la région de l’Est à travers son barrage de Lom-Pangar et sa centrale au fil de l’eau révèle les nombreux avantages à exploiter pour soutenir le réseau interconnecté sud et si possible soutenir les pays environnant connaissant des déficits énergétiques. Ces défis devraient connaître une réelle mise en oeuvre à condition que l’Etat en libéralisant le secteur sache définir les cota de production électrique entre les opérateurs exploitant les ressources énergétiques pour produire l’électricité à base des énergies fossiles et ceux exploitant les énergies renouvelables.
Le réseau étant une interface systématique entre producteurs et consommateurs, cela implique pour réduire les pertes lors du transport et limiter les perturbations, l’usage des technologies (HVDC) adaptés à la conception des réseaux maillés modernes nécessaire conte tenu des distances considérables de transport entre le site de production et les réseaux voisins devant le relier. Le développement d’un tel projet entre le réseau isolé de l’Est et les autres réseaux peuvent constituer pour le Cameroun et les pays d’Afrique centrale un nouveau départ pour constituer le premier réseau électrique de l’intégration sous régional à base du courant continu. Le développement d’un tel type de réseau est de pouvoir définir à tout moment quelle puissance transite dans le réseau. Il peut s’agir de planifier un évènement prévu (maintenance par exemple), faire face à une situation de crise (perte d’une ligne, etc.) ou bien d’étudier les coûts relatifs aux transports.
L’ouverture du marché de l’électricité à travers la création de nouvelles lignes de transport d’énergie ainsi que la construction de nouvelles centrales électriques et la pression sur les prix qui en découle, impliquent une utilisation plus intense des réseaux de transport et une libéralisation du marché ce qui fut effectif avec la création d’Hydro Mekin entendez, Mekin Hydroelectric Development Corporation. D’après le décret présidentiel, la société Hydro Mekin a pour mission de concevoir, financer, construire et exploiter la centrale hydro-électrique de Mekin et d’autres aménagements sur le bassin du Dja ainsi que la mise en place des équipements et infrastructures associés, liés à leur exploitation.
A ce titre, la nouvelle société d’énergie électrique sera chargée «d’assurer la production, et éventuellement le transport, la distribution, la vente, l’exportation et l’importation de l’énergie électrique ; d’exercer toutes les activités ou opérations industrielles, commerciales, financières, mobilières ou immobilières dans la République du Cameroun sous quelle que forme que ce soit, dès lors que ces activités peuvent se rattacher directement ou indirectement à son objet social ou à tous objets similaires, connexes ou complémentaires». Ce texte de création d’Hydro Mekin est une première du genre au Cameroun. Il vient ainsi mettre fin au monopole que AES-Sonel détient depuis 2001 sur la distribution, mais surtout sur la vente de l’énergie électrique.
Par ailleurs, il est de plus en plus difficile d’obtenir des autorisations pour de nouveaux ouvrages. Il est donc indispensable d’accroître la performance des liaisons HT existantes. Cela nécessite à la fois l’amélioration de la disponibilité et de la fiabilité des équipements existants par une gestion appropriée de leur maintenance et l’augmentation de leurs capacités de transport. Les FACTS viennent répondre à ces nouvelles exigences à travers l’usage des équipements conçus à base des composants en électronique de puissance qui augmentent les performances des équipement et la possibilité de transporter tout en réduisant les pertes en ligne une grande quantité d’énergie. FACTS sont des dispositifs pour accroître la qualité de la puissance, deux secteurs principaux d’application :
– Grand réseaux de transmission
. Pour améliorer le contrôle, augmenter les capacités de transfert de puissance et assister la récupération du réseau consécutive à un défaut dans les systèmes de transmission AC.
– Réseaux Industriels
. Pour améliorer la qualité de la puissance fournie en un point précis du réseau AC en présence de fluctuations de charge, e.g. compensation du flicker pour les fours à arc. Gamme de puissance inférieure à celle d’un réseau de transmission.
Parmis les dispositifs de technologie en vigueur, il est développé le mode de transport d’énergie en courant continue. Un HVDC est un équipement d’électronique de puissance utilisé pour la transmission de l’électricité en courant continu haute tension. Le nom est le sigle anglais pour High Voltage Direct Current, c’est-à-dire Courant continu haute tension (on voit parfois rarement CCHT en français). Les HVDC représentent certainement le summum de l’électronique de puissance : les puissances unitaires se comptent couramment en gigawatts.
Une liaison HVDC est, la plupart du temps, insérée dans un système de transmission en courant alternatif. Elle est donc constituée de trois éléments: un redresseur, une ligne de transmission, un onduleur. Généralement, le redresseur et l’onduleur réalisés avec des thyristors, quelques fois avec des IGBT sont symétriques et réversibles (c’est-à-dire qu’ils peuvent échanger leur rôle). On parle quelquefois d’autoroute électrique pour ce type d’outils technologique. De nos jours, ces systèmes de transmission de l’énergie électrique sont utilisés pour trois principales raisons.
Grandes distances : conçu pour transporter sur des distances supérieures à 600–1000 km, sur des lignes aériennes et avec une capacité 2 à 5 fois celle d’une ligne à courant Alternatif de même niveau de tension et des puissances très importantes, souvent supérieures à 1000 MW, il est préférable pour des raisons technico-économiques d’adopter une liaison à courant continu au détriment d’une liaison alternative classique (HVAC). Le CCHT investit aussi les liaisons sous-marines de longueur supérieure à 50 km. Si le coût de l’électronique de puissance est élevé, elle apporte néanmoins deux avantages décisifs:
– deux conducteurs sont nécessaires au lieu de trois en tension alternative (voire un seul, si l’on utilise la terre ou l’eau de mer comme deuxième conducteur), ce qui peut compenser le surcoût pour des liaisons longues ;
– au delà d’une certaine distance, (50 à 100 km environ pour des liaisons sous-marines, 500 à 1000 km pour les lignes électriques aériennes), les chutes de tension le long d’une liaison alimentée en courant alternatif sont trop importantes pour permettre la transmission.
En Chine, l’utilisation de ces liaisons se généralise pour transporter l’électricité produite à l’intérieur du pays (barrage des Trois-Gorges par exemple), vers les régions côtières, principales zones de consommation du pays.
La plus longue liaison HVDC du monde, Cahora Bassa (1420 km), se trouve en Afrique, entre le Mozambique et l’Afrique du Sud. La réalisation de liaisons sous-marines par câble sur de longues distances (typiquement plus de 50 km) en courant alternatif impose de compenser l’effet capacitif des câbles, faute de quoi la tension de ce câble est mal contrôlée. À cet effet, on installe dans les liaisons classiques des réactances de compensation à des points intermédiaires (postes électriques) de la liaison. Dans une liaison sous-marine, on ne peut pas envisager un poste électrique à un point intermédiaire (sous la mer). En courant continu, cet effet capacitif n’existe pas, et justifie l’utilisation des HVDC pour ce type de liaison. Pour les zones situées en mer et loin des sites de production, telles que Bakassi, Youpouet, l’usage de cette technologie serait la bienvenue pour l’essor de ces régions.
Changement de fréquence : Interconnecter des réseaux électriques non synchrones ou présentant des fréquences différentes (50 Hz ou 60 Hz dans la presque totalité des cas) nécessite un dispositif spécifique, et un HVDC est la réponse la plus courante. Par exemple, l’Arabie saoudite et le Japon utilisent les deux fréquences. Le projet d’interconnexion des pays du golfe Persique, majoritairement en 50 Hz, prévoit une liaison HVDC de 1800 MW avec ce pays. C’est aussi le cas de la France et du Royaume-Uni, qui bien que tous deux à 50 Hz, ne sont pas considérés comme synchrones.
Contrôle du transit de puissance : Le troisième intérêt des HVDC est le contrôle du transit de puissance entre deux parties d’un réseau électrique. Les équipements HVDC destinés à cette application ne comportent généralement pas de ligne de transmission, et les deux extrémités sont sur le même site: on parle de HVDC dos à dos (en anglais : back to back). Dans certains cas ces équipements peuvent être en parallèle avec une liaison alternative.
Les pertes d’un système CCHT apparaissent à deux niveaux : en ligne et aux bornes des convertisseurs CA-CC. Ces dernières représentent environ 1 à 1,5 % de l’énergie transitée, ce qui est peu comparativement aux pertes en ligne, qui sont fonction de la résistance des conducteurs et de l’intensité du courant. Sachant qu’il n’y a pas de transfert de puissance réactive sur les liaisons continues, les pertes en ligne du CCHT sont inférieures à celles du Courant Alternatif (CA). Dans la quasi-totalité des cas, les pertes totales en régime continu sont, à transit de puissance égal, inférieures à celles de l’alternatif.
En fait une grande partie des HVDC en service dans le monde sont des back to back. Des grands pays, comme la Chine, l’Inde, les États-Unis par exemple, présentent plusieurs « régions électriques » difficilement interconnectables entre elles, bien que synchrones.
Les avantages et les applications du HVDC
– Interconnexions : Les projets de l’Union Européenne et des Etats-Unis pour améliorer le transport d’énergie, suite aux coupures des années antérieurs, se sont traduits par le développement de plans supplémentaires pour de nouvelles interconnexions et davantage d’interconnexions transfrontalières ainsi que par des demandes de réseau plus fiable. L’élargissement de l’Union Européenne en mai 2004 a ouvert la porte à de nouveaux réseaux d’énergie transnationaux. La volonté des Etats Baltes, par exemple, de créer un système en boucle qui permette de connecter tous les réseaux de cette région montre l’importance des interconnexions et le rôle vital que le HVDC peut jouer. Des interconnexions entre l’Europe et l’Afrique du Nord sont également envisagées.
– Prévention des coupures : Les lignes HVDC ne peuvent pas être mises en surcharge. La technologie HVDC permet de maîtriser le débit de l’énergie transportée. Avec le HVDC, l’énergie peut ainsi faire l’objet de transactions commerciales entre des réseaux indépendants, supprimant les défaillances et compensant les fluctuations de tension.
– Retour d’alimentation rapide : Outre les avantages du HVDC traditionnels, le HVDC Light offre également une possibilité appelée ‘black start’ qui permet d’alimenter des réseaux qui ont connu une coupure d’alimentation totale. Par exemple, le câble Cross Sound HVDC Light qui relie Long Island et le Connecticut, a été mis en fonction très rapidement après les coupures d’énergie qu’a connu l’Est des Etats-Unis à la mi-août 2003, permettant un retour rapide et efficace de l’électricité chez des milliers de consommateurs locaux.
– Transport performant sur longues distances : Des exemples en Australie, au Brésil, en Chine, en Europe et aux Etats-Unis démontrent l’efficacité sur longue distance de la technologie HVDC. Les pertes en ligne sont nettement moins importantes qu’avec la technologie CAHT classique.
L’intégration de sources d’énergie renouvelables dans les réseaux. Le HVDC est la technologie idéale pour une intégration efficace dans les réseaux de l’électricité générée par les sources d’énergie renouvelables. Elle est particulièrement adaptée au transport de l’énergie produite par des éoliennes offshore à des réseaux terrestres et pour les connexions :
– avec des installations offshores, telles que des plates-formes pétrolières avec les réseaux terrestres.
– Avantages pour l’environnement. En favorisant un transport d’énergie souterrain et sous-marin, le système HVDC Light offre des avantages indéniables vis-à-vis de l’environnement.
3.2.1.3. Comment moderniser les lignes existantes
Il y a trois façons de doper la capacité des lignes actuelles : accroître le niveau de tension, augmenter la section et/ou le nombre de conducteurs par phase, utiliser des matériaux conducteurs à haute température. La première solution réduit d’autant l’intensité nécessaire au transfert d’une même puissance. Passer de 230 kV au palier suivant de 345 kV, par exemple, porte à 1100 MW la capacité d’une ligne d’environ 400 MW. Sachant que la résistance des conducteurs est grosso modo inversement proportionnelle à leur section, il faut augmenter cette dernière ou ajouter des conducteurs parallèles pour accroître l’intensité véhiculée sur la ligne : on peut ainsi porter la puissance d’une ligne 230 kV de 400 MW à 1100 MW en l’équipant de nouveaux faisceaux de câbles plus gros.
Les récents progrès techniques accomplis dans le domaine des conducteurs à hautes températures permettent d’atténuer efficacement les goulets d’étranglement dus aux contraintes thermiques sur les lignes de courte et moyenne longueurs. Un conducteur de ce type est capable de transporter 2 à 3 fois plus de courant que son homologue classique (en aluminium-acier) de même diamètre, sans grever la charge.
L’augmentation de la tension et le remplacement des conducteurs sont deux solutions ayant l’avantage d’occuper la même emprise au sol. Seules réserves : les nouveaux conducteurs sont plus lourds ou nécessitent des niveaux d’isolement accrus, ce qui peut obliger à renforcer ou reconstruire les pylônes mais aussi à remplacer les gros matériels des postes électriques (Transformateurs, disjoncteurs . . .).
Figure 3.15 : Les liaisons CCHT perdent moins d’énergie sur la distance que leurs homologues CAHT.
3.2.2. Reforme de la politique d’ER pour une meilleure Production décentralisée
L’Etat dans sa politique d’ER, en généralisant la production décentralisée, celle-ci pourrait comporter de nombreux avantages. Une petite centrale permet ainsi de renforcer l’autonomie énergétique d’emplacements isolés. Produire soi-même son électricité incite directement à la modération de sa consommation pour minimiser les prélèvements au réseau. Pour le gestionnaire de réseau, l’augmentation de l’autoconsommation permettrait de désengorger le réseau, entraînant des économies substantielles. Développer les capacités décentralisées favorise l’atteinte des objectifs d’augmentation du taux d’électrification et réduire la dépendance énergétique du pays. Par ailleurs cet essor peut avoir des retombées socio-économiques appréciables entraînant la création d’emplois et de nouveaux marchés.
Néanmoins ces bienfaits ne sont encore que théoriques, la production décentralisée reste coûteuse à de nombreux égards. L’Etat Camerounais, pour impulser ces nouvelles filières, devrait privilégier un dispositif incitant une autoconsommation regulée. Les contrats d’obligation d’achat (OA) de l’électricité produite que l’Etat devrait signer avec les exploitants du réseau assureront à l’exploitant la rentabilisation à long terme de son équipement. Mais aussi à la collectivité produisant l’énergie locale de revendre celle-ci.
Sachant que la production d’origine renouvelable est souvent fluctuante et difficile à prévoir, son injection systématique engendre un risque de déséquilibre du réseau. Les contrats d’obligation d’achat (OA) devront avoir une durée limitée et à leur échéance, les producteurs doivent s’insérer directement sur le marché de l’énergie, ce qui crée un certain nombre d’exigences. En effet, vendre sur le marché requiert de prévoir finement sa production et de ne livrer que les volumes prévus, ce qui est difficile pour des énergies intermittentes. Les producteurs devront donc installer des systèmes de pilotage pour activer ou désactiver à distance les outils de production, ce qui reviendra cher pour des petites installations.
D’où la nécessité de normaliser l’usage des équipements électrique, la création d’un marché où des opérateurs peuvent venir s’enquerir sur les opportunités d’affaire, subventionner le secteur ou accorder des facilités aux producteurs (reduction des coûts de dédouanement des équipements liés à la production ). La production intermittente induit donc des coûts importants, aujourd’hui pour le réseau, demain pour les producteurs directement face au marché. En bref, la question de la rentabilité de la production décentralisée dans un système énergétique actuel reste d’actualité, et varie selon la filière. Néanmoins, ces difficultés actuellement rencontrées pourront peut-être se voir progressivement surmontées, ce qui peut annoncer de meilleures perspectives pour la production décentralisée.
A court terme, face à la multiplicité des installations, la mutualisation et professionnalisation de la gestion de la production décentralisée constitue un levier puissant d’amélioration de performance. Avec le niveau bas d’électrification dans les pays Africains, la politique de modernisation du réseau électrique pourrait connaitre un succés car la technologie étant en nette évolution, des régions comme celle de l’Est du Cameroun pourrait avec son projet d’envergure être le début de développement des villes intelligentes compte tenue de la richesse de son sous-sol. Lorsque l’initiative politique est engagée, un opérateur peut exploiter à distance et assurer la maintenance de plusieurs installations par délégation. Il peut aussi améliorer la valorisation de l’énergie produite, en affinant la prévisibilité de la production grâce à un meilleur suivi des centrales, en optimisant la production momentanée via le pilotage à distance et le couplage avec des moyens de production flexibles compensatoires.
Ces leviers permettraient aux installations de gagner en efficacité. Ainsi des nouveaux métiers de l’énergie semblent se profiler. Notamment celui de l’agrégateur de production, qui se constitue un portefeuille de ressources énergétiques réparties complémentaires et parvient par ses compétences en pilotage de production et en trading à mieux en valoriser la production sur les marchés de l’énergie. Un agrégateur par exemple proposera aux exploitants en fin d’OA un contrat d’achat pluri-annuel ainsi que de la délégation d’exploitation et pourra se constituer un portefeuille de par exemple 75 MW de puissance. Un autre agrégateur pour se chargé d’achèter à des petits producteurs des centrales hydro-électriques.
3.2.2.1. L’autosuffisance énergétique par une production décentralisée d’électricité
Des perspectives à moyen terme se dessinent pour la production décentralisée. D’une part les progrès technologiques concourent à faire décroître le prix des équipements. D’autre part les expérimentations de «smart grids » se généralisent, en particulier à l’échelle locale (« mini grids ») et esquissent les conditions dans lesquelles la production décentralisée trouve toute sa place. En effet, la mise en oeuvre de l’auto-consommation passe par l’ajout de capacités de stockage et d’effacement, autrement dit la capacité des équipements à stopper ou reporter automatiquement leur consommation lors des pointes de charge. C’est exactement l’objectif du mini grid, réseau intelligent voué à optimiser à tout instant la performance du système via ces différents leviers.
.
La production décentralisée serait pleinement pertinente au sein de ce type de système énergétique, qui présente encore néanmoins de nombreux défis techniques. Par ailleurs, face à notre paradigme actuel du système énergétique centralisé, c’est une évolution profonde du marché qui ne pourra être mise en oeuvre qu’à travers des modalités économiques convaincantes.
Pour répondre rapidement aux préoccupations de l’exploitant privé, il semble nécessaire que l’Etat recentre l’effort d’investissement public sur quelques filières à fort potentiel, en termes de rentabilité, de capacités disponibles, et/ou de création de richesses en particulier l’hydro-électricité, le solaire, la biomasse et le biogaz. Par ailleurs il faut favoriser l’émergence de nouveaux acteurs à l’instar de la valorisation de l’emploi d’agrégateur, qui donneront du souffle au développement de l’énergie décentralisée, tout en clarifiant au fure et à mesure ce modèle d’affaire.
Le concepte de ville autossuffisante n’est pas nouveau. Certaines villes dans le monde en font l’expérience à travers une définition d’une bonne politique en matiére de production décentralisée de l’énergie électrique et un cadre legale favorable au développement de ce mode de production d’énergie électrique à travers la valorisation des EnRs. Pour cela, la commune devrait recentrer sa stratégie sur le développement des énergies renouvelables. La diversification des sources d’approvisionnement devient son mot d’ordre avec l’exploitation des technologies solaires, hydroélectrique et de biométhanisation. Le but est autant écologique que la protection des particuliers, et notamment des ménages à faibles revenus, face à la montée en flèche du prix du baril de pétrole et de la déforstation. La commune ou le principe d’intercommunalité pourrait définir un systèmes de fiancement des populations locales qui feront la demande de disposer d’installations photovoltaïques individuels ou en copropriété avec une coopérative ayant reçu l’agrémenent d’exploitation.
3.2.2.2. Le partenariat public-privé à la production décentralisée d’électricité
Pour une bonne compréhension des besoins énergétiques de la CTD, la connaissance du système énergétique communal doit être élaborée. Un système énergétique est constitué de l’ensemble des activités et des opérations qui permettent de satisfaire les besoins en produits et services énergétiques indispensables au développement économique et social. Il est constitué d’un faisceau de « filières énergétiques », chaque filière représentant le trajet qui va du besoin socio-économique de développement dont la satisfaction requiert une certaine consommation d’énergie à la ressource de base permettant de procurer la quantité de produit énergétique nécessaire à l’usager. A chaque besoin socio-économique peuvent correspondre plusieurs filières énergétiques ou trajets entre le besoin et la ressource qui diffèrent selon les quantités nécessaires, la nature des produits, les modes et techniques d’utilisation, des technologies de transport et de transformation, des moyens de production.. la production décentralisée de l’électricité conduit à l’’électrification rurale. C’est un processus qui consiste à fournir l’énergie électrique aux zones rurales et éloignées.
L’électricité est utilisée non seulement pour l’éclairage et l’électroménager, mais elle permet aussi la mécanisation de nombreuses exploitations agricoles, telles que le battage, la traite et le stockage de céréales, par conséquent une plus grande productivité à un coût réduit. Dans le monde rural, l’électrification est considérée comme un puissant facteur de développement socio-économique. Cependant, l’extension des réseaux électriques rencontre des contraintes économiques croissantes. Tout d’abord, la demande d’électricité dans les zones rurales est relativement faible : usages essentiellement domestiques ou de petites industries. De nombreuse technologie existent ce qui reduit aujourd’hui le coût de l’ER. Les groupes diesel de petite taille sont la technologie la plus répandue ; Les systèmes photovoltaïques eux se sont développés depuis les années 1980, notamment dans les iles pacifiques ; L’hydraulique est une solution intéressante pour les lieux où les ressources sont disponibles. Dans les zones rurales, l’hydraulique a deux fonctions principales : production d’électricité ou de puissance mécanique.
Vue ce qui est enoncé ci-dessus, l’Etat seul ne peut ressoudre le probléme d’ERD. La coopération internationale y participe déjà avec des financements permettant le raccordement de certaines localités au réseau national. Mais le coût demeure considérable en matiére d’ER. L’idée de produire localement l’énergie électrique est une solution. Pour parvenir à matérialiser cela, le partenariat public-privé dans l’électrification rurale devient là une des solutions à encourager par l’Etat surtout lorsque celui-ci concerne un partenaire privé avec une CTD. La relation de la commune avec l’opérateur privé devrait au préalable être bien définie. L’Etat est propriétaire, mais l’exploitation est sous-traitée au secteur privé : ce dernier est sera chargé de l’entretien et de l’exploitation de l’équipement, voire dans certains cas de la construction de l’infrastructure (gestion déléguée de type concession). D’autres solutions de partenariat public-privé pourraient être définies tel que le service est assuré par la communauté et l’usager qui sont propriétaires ou pas des équipements. Cette solution est privilégiée lorsque les services publics ne permettent pas la satisfaction de tels besoins.
Avec l’accroissement de la défaillance de l’Etat dans des domaines dont il avait traditionnellement la responsabilité, les ONGs se sont spécialisées dans leur soutien aux « petits projets énergétiques participatifs », se démarquant ainsi de l’approche technicienne et productiviste des grands projets de coopération publique. « Le petit projet » est conçu comme un outil de promotion de solutions énergétiques décentralisées, outil initié par les acteurs de base (bottom up decisionmaking). Cette logique d’action a fondé la légitimité d’intervention des ONGs dans un environnement concurrentiel de la coopération au développement. Les projets d’électrification concernent généralement une échelle villageoise mais peuvent être étendus à un niveau régional, voire national. Pour l’ONG, l’électrification n’est pas une fin en soi mais un moyen d’atteindre un objectif ou plusieurs objectifs de développement vaguement définis : améliorer les conditions des ménages, diminuer l’exode rural etc. Souvent un projet d’électrification vient après ou avant un projet de construction de route, d’adduction d’eau potable ou de formation. Il est à chaque fois l’expression des besoins d’une population locale qui s’appuie sur les actions de l’ONG pour constituer une dynamique communautaire locale.
Dans l’offre d’électrification décentralisée certaines ONG proposent aux populations, une démarche participative articulée autour des éléments tel que :
i) la formation des jeunes du village pour assurer l’électrification de leur village ;
ii) la maîtrise de l’énergie en utilisant des lampes basse consommation ;
iii) l’adoption d’une solution technique adaptée par un dimensionnement spécifique au village ;
iv) la responsabilisation des usagers par la création d’une association des usagers, entité qui assure la gestion du service électrique…etc.
Les surplus dégagés par un projet d’électrification sont utilisés pour la réalisation d’un autre projet d’électrification. C’est en ce sens que l’électrification rurale permet de rentrer dans un cercle vertueux de développement.
Une relation partenariale s’effectue en général entre l’ONG et la population locale, qui bénéficie du projet. L’ONG peut bénéficier d’un soutien de proximité (aide étrangère provenant d’organisme de coopération…) ; mais, la pérennité du projet est assurée par la substitution des acteurs locaux à des acteurs internationaux. En l’absence d’appropriation du projet par la population locale, les installations, non entretenues, ne sont plus fonctionnelles. La durabilité du projet est dans ce cas compromise.
CONCLUSION
La production décentralisée de l’énergie électrique est à l’origine des réseaux intelligents pour des raisons d’optimisation de la production électrique. L’ambition de voire moderne les réseaux électriques de la zone CEMAC n’est pas un besoin de vouloir courir vers le modernisme, mais une nécessité de ne pas vivre les problèmes que rencontrent les pays développés en matière protection de l’environnement et développement industriel. Au terme de ce chapitre nous pouvons nous aventurer à penser que le réseau électrique est très mal structuré et ne peut satisfaire aux contraintes d’une qualité de service pouvant conduire à une satisfaction de la demande en énergie. Le gouvernement conscient de cela s’efforce à améliorer cet état de chose mais il s’y prend mal car les programmes visant à booster ce secteur ne connaissent pas une implication des contraintes liée à la modernisation du réseau existant. Car les nouvelles technologies viennent malgré les contraintes qu’elles disposent, nous rappeler de la possibilité de bénéficier d’une fourniture en énergie à moindre coût à condition de se conformer aux exigences liées au développement des réseaux intelligents (Smart-Grids).
Notre situation actuelle donne l’impression que nous sommes dans l’incapacité de nous arrimer à ces technologies ce qui est faut. Nous avons encore plus de chances de voire ces technologies nous être favorable et élaborer des lois en la matière pour protéger les opérateurs du secteur ainsi que les consommateurs, car leur expérimentation dans une région comme celle de l’Est du Cameroun avec la construction du barrage de LOM PANGAR constituerai un bon début. Cette région riche en ressources minières et agricole, limitrophe avec d’autres pays de la zone CEMAC serait un bon début pour montrer les opportunités d’industrialisation du Cameroun et l’intégration énergétique que prône la zone CEMAC. La maîtrise du système énergétique dans cette région du pays devenant le point de départ de la modernisation du réseau électrique nationale et l’intégration de la production décentralisée permettra certainement de connaître en temps réel les besoins des consommateurs et envisager l’interconnexion du Réseau interconnecté de l’Est aux réseau électrique national ou à des productions décentralisées tout en recherchant la stabilité du réseau et la continuité de service.



![structure en coupure d’artére [43] structure en coupure d’artére [43]](https://www.institut-numerique.org/wp-content/uploads/2013/08/structure-en-coupure-d’artére-43.png)
![structure en double dérivation [43] structure en double dérivation [43]](https://www.institut-numerique.org/wp-content/uploads/2013/08/structure-en-double-dérivation-43.png)
![structure de réseau rural [43] structure de réseau rural [43]](https://www.institut-numerique.org/wp-content/uploads/2013/08/structure-de-réseau-rural-43.png)

