Les premiers réseaux électriques sont apparus dans la première moitié du XXème siècle. Leurs développements furent d’abord anarchiques, chaque gestionnaire de réseaux développant ses moyens de distribution. Le Cameroun conscient d’organiser ce secteur d’activité, s’est doté de la loi n° 98/022 du 24 Décembre 1998 régissant le secteur de l’électricité. Elle s’applique aux activités de production à partir de toute source primaire ou secondaire d’énergie, de transport, de distribution, de fourniture, d’importation, d’exportation et de vente de l’électricité, réalisées par toute entreprise sur le territoire Camerounais. Au Cameroun, l’arrêté N°00000013/MINEE DU 26 JAN 2009 portant approbation du Règlement du Service de distribution publique d’électricité de la société AES-SONEL, octroie à ce dernier le pouvoir de satisfaire la demande des consommateurs des services électriques. Celui-ci lui donne l’autorisation d’exploiter les installations de production et transport d’électricité sur l’entendu du territoire national.
Le système électrique est piloté continuellement à différents niveaux. Géographiquement, on distingue les gestionnaires de réseaux de transport (GRT) et les gestionnaires de réseaux de distribution (GRD). Le pilotage des réseaux est assuré dans des centres de dispatching. Ces centres doivent ou sont répartis sur le territoire national dans une structure hiérarchique, depuis un dispatching national (GRD) gérant le système électrique au niveau du pays vers des unités régionales (GRD) puis locales (GRD) gérant les réseaux de transport et de distribution. Les centres de dispatching assurent le réglage de la tension, rapatrient les informations mesurées sur les réseaux (télémesures et télé informations). Ces données sont traitées par un système informatique appelé SCADA (Supervisory Control and Data Acquisition) pour les réseaux intelligent puis visualisées et interprétées par des opérateurs responsables de la conduite et de la supervision.
Les opérateurs utilisent un système informatique appelé EMS (Energy Management System). Ce système est un ensemble de logiciels qui permettent aux opérateurs de réaliser des études de sécurité et de stabilité prédictives ou en temps réel et offrent une aide à la décision dans le contrôle et la conduite.
Les réseaux de transport électriques sont de deux types :
– Réseau de transport à courant alternatif
Figure3.1 : schéma de réseau à courant alternatif
– Réseau de transport à courant continu
Figure 3.2 : schéma de réseau à courant continu
Lors de l’étude d’un réseau électrique principalement en haute tension, les spécialistes se basent sur les points suivants :
– Écoulement de puissance (régime permanent)
– Compensation
– Défauts (Courts-circuits)
– Transitoires (Foudre et manoeuvres)
– Stabilité (Perturbations)
– Protection
– Commande et régulation
Les réseaux maillés, soumis à des boucles de puissance indésirables entre zones interconnectées, subissent des surcharge de lignes, des problèmes de stabilité, de sécurité statique et dynamique et de toute manière un accroissement des pertes. Les moyens classiques de contrôle des réseaux (transformateur à prises réglables en charge, transformateurs déphaseurs, compensateurs série ou parallèle commutés par disjoncteurs, modification des consignes de production, changement de topologie du réseau et action sur l’excitation des générateurs…etc.) pourraient dans l’avenir s’avérer trop lents et insuffisants pour répondre efficacement aux perturbations du réseau, compte tenu notamment des nouvelles contraintes. Il faudra vraisemblablement, dans l’avenir, compléter leur action en mettant en oeuvre des dispositifs fonctionnant à base d’équipements en électroniques de puissance à grande vitesse de réponse, récemment développés et connus sous l’appellation FACTS (Flexible Alternative Current Transmission System) et HVDC (High Voltage Direct Current) pour le contrôle des réseaux.
A l’exemple des pays à forte croissance démographique et à l’économie florissante, comme le Brésil, la Chine et l’Inde. Ils connaissent une importante progression de leur demande en électricité, le Cameroun en particulier l’Afrique centrale dans cette perspective et pour les besoins d’attirer plus les investisseurs, se doit d’anticiper en se dotant des équipements de haute technologie permettant d’acheminer d’importantes quantités vers les centres urbains et ruraux des pays faisant la demande à partir de centrales électriques parfois situées à plusieurs milliers de kilomètres. Le réseau électrique du Cameroun actuel est doté des dispositifs de compensation de puissance appelés compensateur statique affiche ses limites dans une perspective d’efficacité énergétique. L’ultra- haute tension promet d’apporter une réponse au phénomène de compensation d’énergie à travers l’utilisation des dispositifs FACTS (Flexible Alternatif Current Transmission Systems).
L’ultra-haute tension est une solution pour fournir de l’électricité aux villes sans augmenter le nombre de lignes de transmission. Dans des centres urbains en expansion où la demande est en hausse mais où l’espace manque pour l’installation de lignes de transmission supplémentaires, cette technologie est essentielle. En effet, elle ne nécessite qu’un seul corridor de lignes au lieu de plusieurs.
Les principaux défis se posant au développement des réseaux électriques dans un contexte de décentralisation reposent sur :
1. le choix de technologie ;
2. la fiabilité du système production- transport (Elle caractérise donc la capacité du système électrique à fournir une énergie électrique répondant aux standards de qualité avec peu d’interruptions par unité de temps. Elle peut être aussi quantifiée par la fréquence, la durée et l’amplitude des interruptions de service) ;
3. la sécurité statique ;
4. la sécurité dynamique,
5. la stabilité (Elle concerne la capacité de résister à un ensemble de perturbations crédibles et soudaines tels que des courts-circuits ou la perte inattendue de certains composants sans interrompre la fourniture d’énergie) ;
6. l’adéquation du système production-transport ;
7. le phénomène de mondialisation qui impose une ouverture de marché nécessitant de même la définition des règles du marché du secteur de l’énergie électrique avec pour conséquences immédiates de cette directive la privatisation progressive des secteurs de la production et de la distribution du produit électricité et donc la désintégration verticale du système électrique.
– La sécurité statique
La sécurité statique s’intéresse à la qualité du point de fonctionnement atteint dans la configuration post-incident. On vérifie typiquement que les capacités thermiques (CT) des équipements ne sont pas dépassées et que les tensions restent dans des intervalles spécifiés (TIS).
– La sécurité dynamique
La sécurité dynamique s’intéresse à la transition du système vers un nouveau point de fonctionnement, en particulier sa capacité à répondre de manière stable. En effet, pour ce type de sécurité, les trois paramètres électriques évalués sont la tension (TEN), la fréquence (FRE) et l’angle rotorique des générateurs (ANG). Les deux sous composantes de la sécurité sont surveillées et évaluées à plusieurs échelles de temps pendant les deux phases de la conduite et de la préparation à la conduite et cela dans le but d’éviter tous les problèmes d’instabilité liés à cette composante de fiabilité.
L’adéquation concerne la capacité du système production-transport à fournir et à transporter la puissance et l’énergie totale demandée à long terme par l’ensemble des consommateurs, compte tenu des indisponibilités programmées ou inattendues de composants du système électrique (ligne, générateur, etc.). A son tour, l’adéquation qui est la première composante de la fiabilité, a deux sous-composantes qui sont :
– L’adéquation du système de production
– L’adéquation du système de transport
Figure 3.3 : Les différentes composantes de la fiabilité de système production-transport[38]
En effet, l’ouverture du marché de l’énergie électrique à la concurrence n’est pas sans impact sur la sûreté de fonctionnement des systèmes électriques, essentiellement du fait qu’elle pousse les compagnies de production de l’énergie électrique ainsi que les gestionnaires de réseaux de transport (GRT) à exploiter leurs systèmes avec des marges de sécurité réduites. Les premiers afin de rester concurrentiel avec les autres fournisseurs de l’électricité. Les seconds afin de permettre à cette concurrence de se réaliser dans une vaste région. Pour satisfaire cette ouverture de marché, il faudra s’équiper de nouveaux transformateurs, commutateurs de puissance et autres dispositifs associés et concevoir de nouvelles lignes de transmission destinées à l’ultra-haute tension. L’ultra-haute tension représente donc un défi technique pour les producteurs et les entreprises de service public et une question réglementaire pour les gouvernements.
3.1.1. Développement du secteur de la production électrique au Cameroun
Le DSCE manuel de référence du gouvernement dans son contenu, présente la politique à long terme de développement du secteur électricité. L’objectif du gouvernement dans le développement du secteur de l’énergie électrique est de voir passer l’accroissement du PIB/habitant d’environ 1 000 dollars US en 2005 à plus de 5 000 dollars US en 2030). Pour y parvenir, la mise en place d’une stratégie de développement dans ce secteur s’avérait nécessaire en s’appuyant sur les importantes ressources énergétiques que dispose le pays :
– Potentiel hydroélectrique considérable, dont moins de 3% sont utilisés à ce jour ;
– Importantes réserves de gaz naturel offshore, suffisantes pour le développement économique du pays sur le long terme.
L’accroissement du PIB recherché doit être généré par un développement économique soutenu, basé entre autre sur une croissance du secteur industriel gros consommateur d’énergie électrique (industrie aluminière en particulier) ayant pour effet de porter la demande en énergie électrique à 10 000 MW à l’horizon 2025, contre une offre de moins de 1000 MW en 2005.
Après cette présentation, une interrogation évidente apparaît directement : qu’est-ce-que le PDSE ? C’est un outil de planification dynamique, qui devra être pertinent et mis à jour par le ministère chargé de l’électricité et l’ARSEL. Le PDSE doit par ailleurs traduire, en termes de planification et de programmation, la volonté politique des Autorités camerounaises de développer le potentiel économique du pays. Enfin, le PDSE participe de la volonté du Gouvernement de développer un programme d’actions efficaces de croissance et de lutte contre la pauvreté, notamment en replaçant la question de l’accès aux services énergétiques de base au centre du développement économique et social du pays.
Vu cette volonté profonde, il importe de rappeler que dans la perspective d’augmenter la production et la consommation d’électricité au Cameroun à travers ses trois principaux réseaux interconnectés RIS, RIN, RIE (Tableau 4.7) pour la recherche de la croissance de son PIB, le Cameroun envisage faire bénéficier aux autres pays de cette richesse à travers des échanges transfrontalières, notamment vers le Tchad, Congo, Guinée Equatoriale, interconnexion avec le Nigeria…etc. Plusieurs scénarios ont été développés dans le PDSE pour obtenir le tableau ci-dessous :
– Le scénario dit « Minimal » correspond aux hypothèses de croissance économique retenues par le « FMI » pour la consommation « service public » et à un statu quo pour la production d’aluminium au Cameroun ;
– Le scénario dit « Médian » correspond aux hypothèses de croissance économique du «DSRP » pour la consommation « service public » et au doublement de la production d’aluminium à Edéa. Ce scénario noté « S1 » est définit sur le terrain par :
. En 2010/11 : Lom Pangar (7 km3) et Nachtigal (250 MW)
. En 2012 : Memvé Elé (120 MW)
. En 2017/21 : Kikot aval (430 MW) en 3 phases (214 MW en 2017 puis 108MW en 2019 puis 108 MW en 2021);
– Le scénario dit des « Grandes Ambitions » correspond au scénario « Médian » pour le Service public (SP) plus les développements de la filière « bauxite-alumine-aluminium » et d’exportation d’électricité. Ce scénario noté « S2 » est définit sur le terrain par :
. En 2010/11 : Lom Pangar ( 7 km3) et Nachtigal ( 250 MW)
. En 2012 : Memvé Elé ( 120 MW)
. En 2015 : Interconnexion et usine de pied de Lom Pangar (96 MW)
Song Mbengué (880 MW)
Kikot aval (540 MW)
. En 2020 : Pont Rail (3,5 km3);
– Enfin, le scénario « Bas » correspond au scénario « Médian » pour le Service Public (SP) avec le maintien du statu quo pour la HT et l’aluminium. Ce scénario noté « S0 » est définit sur le terrain par :
. En 2010 : Lom Pangar
. En 2013/16 : Nachtigal en 2 étapes (150 MW en 2013 puis 100 MW en 2016)
. En 2019 : Memvé Elé à 120 MW (ou un projet équivalent)
En matière d’analyse de la prévision d’accroissement de la production par rapport à 2005, elle est exprimée ci-dessous (Tableau 4.8).
Comme la production électrique, le réseau de transport n’est pas en retrait dans cette grande volonté de développement du secteur de l’énergie électrique. Les projections dans le développement des lignes de transport d’électricité sont les suivantes :
Echéance 2010
. Kribi – Edéa, 225 kV, 2×1140 (100 km) simple terne pour scénario S0,
. Kribi – Edéa, 330 kV, 2×1140 (100 km) simple terne pour scénario S1, double terne pour le scénario S2,
. Nachtigal – Yaoundé, 330 kV, 2×431 double terne (75 km) pour les scénarii S1 et S2.
Echéance 2020
. Nachtigal – Yaoundé, 330 kV, 2×431 double terne (75 km) pour le scénario S0 (éventuellement 225 kV),
. Kribi – Memvé Elé, 330 kV, 2×431 double terne (250 km) pour tous les scénarii (éventuellement 225 kV pour scénario S0),
. Edéa – Kikot – Yaoundé, 330 kV, 2×1140 double terne (175 km), pour les scénarii S1et S2,
. Ligne d’exportation vers le Nigeria : Yaoundé – Bafoussam – Mandilla, 330 kV, 2×1140 double terne (570 km), pour les scénarii S1 et S2 ,
. Nachtigal – Lom Pangar, 330 kV, 2×1140 double terne (265 km), pour le scénario S2,
. Yaoundé – Kribi, 330 kV, 2×1140 double terne pour le scénario S2 (215 km).
Echéance 2030
. Ligne d’exportation vers le sud : Bata – Memvé Elé, 330 kV, 2×431, simple terne (165km), pour les scénarii S1 et S2,
. Ligne d’exportation vers le Nigeria (et Tchad) : Nachtigal – Yola, 330 kV, 2×1140 double terne (870 km), pour les scénarios S1,
. Ligne d’exportation vers le Nigeria (et Tchad) : Lom Pangar – Yola, 330 kV, 2×1140 double terne (605 km), pour le scénario S2,
. Eventuelles lignes supplémentaires 330 kV de connexion au réseau des nouveaux centres de production pour le scénario S2.
Tableau 3.1 : résultats RIS, RIN, RIE consommation d’énergie GWh et production d’énergie (MW) [25]
Source EDC
Tableau 3.2: Prévision d’accroissement de la production par rapport à 2005 [25]
Source EDC
3.1.1.1. Situation actuelle du réseau de transport haute tension du Cameroun
En Afrique centrale, le réseau haute tension du Cameroun est le plus grand et se repartie en trois réseaux distincts ce dernier présente assez de difficultés surtout au niveau de la maintenance de équipement et leur adaptation par rapport à l’évolution technologique.
Le Cameroun compte cinq grands bassins de puissance différentes, mais le plus important et ayant la majorité du potentiel hydroélectrique du Cameroun se situe dans le bassin de la Sanaga, tant en terme de production que de régulation. Les différents bassins d’eau en plus celui de la Sanaga cité ci-dessus sont les suivants (Tab 3.3 ; Tab 3.4 ):
– Les bassins du Sud-Ouest (Nyong et Ntem) se caractérisent par des sites de production intéressants, mais les possibilités de régulation restent très limitées. Ces bassins ont également l’avantage d’être dans la zone soumise à une double saison des pluies : ils peuvent donc apporter un complément intéressant aux ouvrages situés plus au Nord, en particulier en début de saison des pluies.
– Les bassins de l’Ouest sont généralement de petites dimensions, mais la forte pluviométrie qui les caractérise leur confère une hydraulicité très intéressante. Le relief montagneux de la zone Ouest est également propice à la valorisation des volumes d’eau ruisselés.
– Les bassins de l’Est présentent quelques sites intéressants, mais ils sont pour l’instant très éloignés des centres de consommation.
– Enfin les bassins du Nord proposent un potentiel décentralisé valable, mais soumis à la plus forte variabilité inter annuelle de la pluviométrie des régions sahéliennes.
Tableau 3.3 : Potentiel hydroélectrique en fonction des bassins du Cameroun [24]
Source EDC
Tableau 3.4 : puissances équitables du Cameroun [24]
Source EDC
Le développement de l’énergie électrique nécessite la construction ou l’aménagement croissance de centrales hydroélectriques, thermiques, des lignes de transport haute et moyenne tension pour la production – transport – distribution d’énergie électrique. Mais il n’est pas sans oublier que tous ces infrastructures ne connaîtront leur exploitation optimale à condition que les ouvrages de régulation (retenues ou déviations) des cours d’eau soient construits pour les centrales hydroélectriques (Tab 3.5 ). Compte tenue de l’importance de la régulation des cours d’eau pour la production hydroélectrique, celle-ci induit des impacts de plusieurs types : Impacts sur les écosystèmes aquatiques, Impacts sur les écosystèmes terrestres, Les impacts hydrogéologiques et géologiques, L’impact atmosphérique, Impact climatique, L’impact atmosphérique, Impact sur les infrastructures…etc.
Au regard du potentiel hydrologique le projet de la mise en place d’une agence responsable de la gestion des eaux de la Sanaga prévue sera la bienvenue au Cameroun. Une telle agence permettra un suivi des prévisions hydrométréologiques et la gestion des ouvrages de régulation afin d éviter les déficits d’eau entrainant d’énormes conséquence :
– Une faible attractivité de certains projets hydroélectriques pour les investisseurs,
– Des risques de surcoûts lors de la réalisation des ouvrages,
– Des risques accrus en termes de sécurité des nouveaux barrages,
– Une gestion peu efficace des retenues de régulation,
Tableau 3.5 : Postes hydrologiques recommandés pour le Réseau Hydrométrique Minimal (Rivière / Site) [24]
Les observations faites sur les bassins hydrologiques d’Afrique tropicale s’appliquent à ceux du Cameroun. Ainsi, si l’on prend l’exemple de la Sanaga à Edéa, les données disponibles montrent que les apports des années 50 ont été 32 % plus élevés que les apports des années 80 (Figure 3.4). Depuis la rupture de 1970, les apports des années les plus humides sont restés inférieurs à la moyenne des années 40-50.
Figure 3.4 : Débits naturels de la Sanaga de 1944 à 2003 [24]
Le bassin de la Sanaga représentant le plus grand de tous, des études sur la régulation du débit d’eau ont été effectué et un classement au sujet de quelques ouvrages de régulation appelle les commentaires suivants :
– L’ouvrage de Pont-Rail a un coût relatif faible, ce qui en fait un site candidat intéressant. Toutefois, cet ouvrage n’a jusqu’à présent fait l’objet d’aucune étude détaillée, et l’incertitude sur son coût réel ainsi que sur son impact environnemental reste forte.
. L’ouvrage de Lom Pangar est également compétitif. C’est par ailleurs le plus important des ouvrages de régulation recommandés, et celui dont les études sont les plus avancées. En particulier, cet ouvrage de régularisation est le seul dont les études environnementales aient été réalisées. De par sa taille, le barrage de Lom Pangar semble incontournable pour une amélioration significative de la capacité de régularisation de la Sanaga.
– Enfin, le projet Bankim+Mapé apparaît également comme un site intéressant, avec un impact environnemental probablement limité
– Les sites de Bankim (seul) et Meseki apparaissent comme étant moins intéressants que les 3 précédents d’un point de vue financier.
Le potentiel de production de la Sanaga est très important. Les sites candidats ont été triés en trois classes: moins de 500 GWh, 500 à 2000 GWh, plus de 2000 GWh (Tableau 3.6 ; 3.7 ).
1. Productible supérieur à 2000 GWh: tous les ouvrages potentiels ont un coût relatif qui les placent parmi les plus intéressants du Cameroun d’un point de vue financier. Les ouvrages de Song Mbengué, Kikot, Ngodi et Grand Eweng sont les mieux placés. Des réserves subsistent toutefois sur l’ouvrage de Kikot, susceptible d’être pénalisé par des impacts sociaux et matériels. Par ailleurs, les ouvrages de Ngodi et Grand Eweng ne sont pas compatibles. La dérivation de Noun-Wouri n’apparaît pas dans les projets les plus avantageux; de plus, la réalisation de cette dérivation priverait le bassin de la Sanaga d’un volume d’eau important (env. 4.5 km3) et donc le coût réel de la dérivation serait nettement supérieur au seul coût de sa construction.
2. Productible compris entre 500 et 2000 GWh: trois ouvrages sont financièrement nettement plus intéressants que les autres. Il s’agit de Song Loulou Rive Droite, Nachtigal aval et Nachtigal amont. Les autres sites candidats dans cette classe de production ont un coût relatif nettement plus élevé (ce qui ne les exclut pas nécessairement, car les paramètres du réseau ne sont pas pris en compte à ce stade).
3. Productible inférieur à 500 GWh: l’ouvrage de Bangangté amont (245 à 330 GWh) est l’un des plus attractifs. On note que, dans cette zone, de nombreux projets n’ont jamais été suffisamment étudiés pour être chiffrés.
Tableau 3.6 : Ouvrages de production du Bassin de la Sanaga [24]
Source EDC
Tableau 3.7 : Sites de régularisation potentiels de la Sanaga [24]
Source EDC
3.1.1.2. Le Réseau Interconnecté du Cameroun : Sud (RIS), Nord (RIN), Est (RIE)
Le Réseau Interconnecté du Sud (RIS)
Le RIS se compose de 480 km de lignes 225 kV et 870 km de lignes 90 kV, et de 17 postes (4 postes dits d’interconnexion et 13 postes sources alimentant les réseaux de distribution) et s’étend dans six provinces : Centre, Sud, Littoral, Ouest, Nord-Ouest et Sud-Ouest. Il se subdivise en 3 grandes régions : le Centre (Région Centre et Sud), le Littoral et l’Ouest (Région Ouest, Sud-Ouest et Nord-Ouest).
Ce réseau est constitué des centrales de productions hydroélectriques ayant des aménagements hydroélectriques alimentant le RIS concentrés sur la Sanaga et composés de deux centrales de production et de trois barrages réservoirs permettant une régularisation saisonnière des apports puis des centrales thermiques tous interconnectés ainsi que des barrages et centrales thermiques nouvellement créées ou cours de construction. Ainsi à la date d’aujourd’hui on a le parc de production hydraulique et thermique du RIS est constitué des ouvrages suivants :
– 2 centrales hydroélectriques: Song Loulou (394 MW, modulation journalière), Edéa (263 MW, fil de l’eau),
– 3 barrages-réservoirs pour la régularisation du fleuve Sanaga totalisant 7,3 km3 de capacité de stockage :
Bamendjin sur la rivière Noun : sa capacité utile est de 1675 hm3 (pour une capacité totale de 1800 hm3) ;
Mbakaou sur la rivière Djérem : sa capacité utile est de 2500 hm3 (pour une capacité totale de 2600 hm3) ;
La Mapé sur la rivière la Mapé : sa capacité utile est de 3100 hm3 (pour une capacité totale de 3200 hm3) ;
En projet la construction du barrage de Lom-Pangar avec une centrale au fil de l’eau pour relever le debit d’eau permettant d’augmenter la production de la centrale de Song Loulou.
– 6 centrales thermiques « diesel » connectées aux réseaux : Oyomabang1 et 2 (32 MW, dont 19,5 MW en HFO), Bassa 2 et 3 (18 MW), Logbaba (18 MW), Bafoussam (14 MW), et Limbé (85 MW) qui fonctionne au HFO. L’ensemble du parc de production thermique du RIS est actuellement de 168 MW. Les centrales thermiques sont réparties principalement sur les quatre localités de Douala, Yaoundé, Bafoussam et Limbé. Avec en projet la construction d’une centrale à Kribi d’une puissance unitaire maximale comprise entre 30 et 60 MW.
Réseau Interconnecté du Nord (RIN)
Le réseau de transport interconnecté Nord (RIN) permet d’évacuer vers les centres de consommation (Garoua, Maroua, Ngaoundéré et Meiganga) l’énergie produite par la centrale hydraulique de Lagdo et la centrale thermique de Djamboutou. Le RIN se compose de 400 km de lignes 110 kV et 200 km de lignes 90 kV, et de 4 postes sources alimentant les réseaux de distribution. Le RIN s’étend dans trois Régions du « Grand Nord ».
Le Réseau Interconnecté du Nord (RIN) est alimenté essentiellement par l’aménagement hydroélectrique de Lagdo a pour but :
. garantir la production d’électricité du Nord du pays,
. protéger contre les crues la ville de Garoua et la vallée de la Bénoué,
. assurer la navigation fluviale et le développement du port fluvial de Garoua,
. développer les activités agricoles et piscicoles,
. et, favoriser les activités touristiques.
Elle se situe sur le cours d’eau de la Bénoué à 66 km en amont de la localité de Garoua. Il dispose d’une capacité totale de stockage importante et inter-annuelle de 6300 hm3 pour une surface de 700 km2. La centrale de Lagdo, qui a été mise en service en 1983-84, comprend quatre groupes de 18 MW chacun, soit un total de 72 MW pour un productible de 250 GWh. Puis d’une centrale thermique situé à Djamboutou près de la ville de Garoua La puissance installée sur le site de Djamboutou est de 13,7 MW. Il existe aussi une petite centrale de 1 MW à Ngaoundéré en secours qui ne fonctionne plus. Trois petites centrales isolées (3,8 MW) alimentent les localités de Kousseri, Poli, et Touboro.
Réseau Interconnecté de l’Est (RIE)
Il n’y a pas à proprement parler de réseau de transport interconnecté. Seules deux lignes 30 kV permettent d’évacuer l’énergie vers les centres de consommation autour de la centrale de Bertoua.
Ce réseau est alimenté uniquement par une centrale thermique d’une puissance installée de 9,6 MW (dont la disponibilité est actuellement de 60%) à Bertoua alimentant les principales localités urbaines gérée par AES-Sonel et cinq petites centrales thermiques en zone rurale raccordées au réseau principal de AES-Sonel alimentant les centres isolés de Bétaré-Oya, Garoua-Boulaï, Lomié, Yokodouma et Moloundou. La capacité totale de ces six centrales de production est de 12 MW.
L’offre en électricité dans cette région du pays est notoirement insuffisante par rapport à la demande existante et potentielle. Cette situation qui s’aggrave oblige les consommateurs qui le peuvent à investir dans des moyens thermiques de production ou de secours. On constate un nombre important d’auto producteurs qui totalisent une puissance installée dans la zone couverte par le réseau d’AES-Sonel d’environ 3 MW et hors zone de 25 MW, à laquelle on doit ajouter une puissance additionnelle de 12 MW à Bélabo pour la société d’exploitation du pipeline Tchad -Kribi (Cotco).
Cette unité de 12MW existe déjà et pourrait se raccorder au réseau d’AES SONEL si une garantie de qualité de service et de disponibilité lui est donnée. L’alimentation hors zone (et éloignée) implique par ailleurs la réalisation de lignes de transport très capitalistique pénalisant toute option thermique. Seule la réalisation d’un moyen de production hydroélectrique ou d’un raccordement au RIS permettrait de répondre économiquement à cette situation de déficit. Les autres localités de Garoua Boulaï (0,3 MW), Bétaré Oya (0,1 MW) et Yokadouma (0,1 MW) fonctionnent en centre isolé.
3.1.2. FACTS solution pour l’extension des réseaux haute tension
Dans les systèmes électriques actuels on distingue, selon le niveau de tension, la fonction et la topologie trois types de réseaux électriques :
– Réseau De Transport et d’interconnexion (RDT)
– Réseau De Distribution (RDD)
– Réseau De Répartition (RDR)
De la même manière les consommateurs se classent en suivant les trois catégories :
– Consommateurs ayant une puissance apparente supérieure à 10 MVA
Pour les plus gros sites industriels, en raison de la consommation très importante, le client est directement raccordé en HTB (63 ou 90 kV) voire THT (225 kV). Dans ce cas, le client possède un réseau interne comprenant un poste de transformation HTB/HTA un réseau HTA, des postes HTA/BT et différents réseaux BT.
– Consommateurs ayant une puissance apparente entre 0.5 et 10 MVA
Dans les installations de taille moyenne, le client est directement raccordé au réseau HTA.
C’est le cas par exemple pour un hôpital ou un fabricant de matériel électronique. Ici, la structure du réseau électrique comprend une station HTA/BT et différents réseaux BT. Ce type d’installation intègre de plus en plus des sources d’alimentation autonomes.
– Consommateurs ayant une puissance apparente inférieure à 0.5 MVA
Cette catégorie comprend tous les consommateurs tels que les consommateurs domestiques, les petits sites industriels, etc. Dans ce cas, les consommateurs sont directement raccordés au réseau BT (230 V, 400 V).
Les réseaux électriques sont des systèmes non linéaires. La stabilité de leur fonctionnement est assurée au voisinage d’un point d’équilibre. Ainsi nous distinguons différentes formes de stabilités (Figure 3.5) que nous présentons sous l’angle de phénomènes de l’amplitude de la perturbation et des échelles de temps.
Figure 3.5 : classement de différentes formes de stabilité de systèmes production-transport[38]
a) Stabilité des angles rotoriques
Pour un système électrique donné, cette stabilité est définie comme la capacité de ce système à maintenir le synchronisme entre ses générateurs. En effet, selon la nature de la perturbation provoquant cette instabilité, on distingue deux types de stabilité des angles rotoriques :
– Stabilité angulaire aux petites perturbations
– Stabilité angulaire transitoire
b) Stabilité de fréquence
Dans un grand système interconnecté, la fréquence subit des variations relativement faibles, même lors d’incidents sévères. L’instabilité de fréquence concerne essentiellement les situations où la perte de plusieurs lignes de transport conduit à un morcellement du système. Si un bloc se détache du reste du système, il évolue vers une fréquence propre et le contrôle de celle-ci peut être difficile en cas de déséquilibre important entre production et consommation au sein de ce bloc. En cas de déficit de production, la chute de la fréquence peut être arrêtée par un délestage de charge (en sous-fréquence). Par contre, en cas de surplus de production, la hausse de la fréquence du système est arrêtée par une déconnexion rapide de certaines unités de productions de sorte que l’équilibre production-consommation soit rétabli.
c) Stabilité de tension
On peut définir la stabilité de tension comme la capacité d’un système d’énergie électrique à maintenir des tensions stables à tous ses noeuds après avoir été soumis à une perturbation à partir d’une condition initiale de fonctionnement de ce système. Dans un certain nombre de réseaux, l’instabilité de tension est considérée comme une importante contrainte d’exploitation. Il existe différents types d’instabilité de tension :
– Stabilité de tension aux grandes perturbations
– Stabilité de tension aux petites perturbations
– Stabilité de tension à court terme
– Stabilité de tension à long terme
Il n’est pas rare que les lignes de transport soient exploitées bien en dessous de leur capacité thermique en raison des contraintes de tension, de stabilité ou d’exploitation du système électrique. Plusieurs technologies peuvent alors améliorer le transit de puissance. Le transformateur déphaseur est le dispositif le plus utilisé pour repousser les limites thermiques liées aux flux de bouclage ou à la mise en parallèle des lignes. La compensation série est une autre technique couramment employée sur les liaisons CAHT longues distances.
L’exploitation de ce type d’équipement permet d’effectuer une évaluation hors ligne de l’analyse de sécurité (déterminer si oui ou non un système électrique peut satisfaire aux critères de fiabilité et de sécurité pour les deux phases statique et transitoire de post contingence, et cela pour toutes les contingences crédibles) des systémes électriques. Dans l’environnement d’exploitation, un système est donc considéré comme sécurisé si les critères d’exploitation (les limites de stabilité statique/dynamique) sont respectés pour les conditions de pré- et de post contingence. En effet, les calculs nécessaires pour évaluer correctement la sécurité d’une seule condition de fonctionnement prédéfinie du système électrique sont techniquement rigoureux et exigent des efforts considérables. En conséquence, l’évaluation de la sécurité a toujours été menée hors ligne via la procédure de planification d’opération des systèmes électriques. En effet, cette procédure détermine de façon exhaustive, en utilisant des outils tels que le calcul de répartition de charge, la simulation dynamique (temporelle), etc, les performances statiques et dynamiques des conditions de fonctionnement prévisibles à court terme du système électrique.
Le débat sur la construction de nouvelles lignes ou la réhabilitation des couloirs existants pour un développement d’interconnexions entre systèmes électriques nationaux en zone CEMAC, ne soulève pas que des questions techniques. En prenant pour exemple l’Europe à travers l’UCTE (Union pour la Coordination du Transport de l’Electricité) qui assure la gestion globale du réseau de transport européen. C’est à dire l’interconnexion à l’échelle européenne pour permettre une solidarité entre partenaires en mutualisant les secours lors des défaillances d’un équipement de transport ou de production. Les conditions politiques doivent être réunies ainsi que des lois établies qui permettraient de résoudre les litiges avenir face aux différentes difficultés que présagent le choix technique de conception du réseau interconnecté en zone CEMAC.
Le Cameroun fort de sont poids au sein de la sous région à définit un cadre légal d’exercions de l’activité de production, transport et distribution de l’énergie électrique à l’intérieur ou extérieur du Cameroun. Elle est énumérée par les textes ci-dessous :
– La loi n° 98/022 du 24 décembre 1998 régissant le secteur de l’électricité
– L’Arrêté n° 061/CAB/MINMEE du 30 Janvier 2001 fixant la composition des dossiers et les frais d’instruction des demandes de concession, de licence, d’autorisation et de déclaration en vue de l’exercice des activités de production, de transport, de distribution, d’importation, d’exportation et de vente d’énergie électrique.
Malgré les avantages techniques et économiques incontestables réalisés grâce au développement des interconnexions entre les systèmes électriques nationaux, ce développement met la sûreté de fonctionnement de chaque système électrique national à la merci des aléas originaires des autres systèmes électriques nationaux auxquels il est interconnecté.
Pour satisfaire la sûreté de fonctionnement d’un grand réseau électrique interconnecté, les pays de la CEMAC doivent définir un centre de contrôle moderne de système électrique en partant de la fonction d’analyse en ligne de sécurité de ce système électrique considéré dépassé aujourd’hui, à l’exécution de la fonction de modélisation en ligne du système électrique.
Cette fonction consiste à construire à partir des mesures prises en temps réel de ce système par le biais du système SCADA (Supervisory Control and Data Acquisition), un modèle complet qui reflète les conditions d’opération actuelles de ce système (une fonction exécutée périodiquement et automatiquement tous les 3 à 5 minutes par l’estimateur d’état). Celui-ci doit prend en compte non seulement les contingences internes du système, mais aussi les contingences externes originaires des autres systèmes voisins. Le modèle ainsi construit en ligne dans le centre de contrôle de ce système doit donc comprendre non seulement le modèle du système considéré, mais aussi les modèles de tous les autres systèmes interconnectés à ce dernier pour une analyse de sécurité en ligne compréhensive du système.
3.1.2.1. Evaluation de la Sécurité d’un Système d’Energie Electrique
L’ouverture du marché de l’électricité au Cameroun entrainera plusieurs contraintes tant au niveau de l’offre en énergie électrique, qu’au niveau de la demande. Les règles du jeu du secteur électrique ont ou vont évoluer en profondeur : ouverture à la concurrence de la production d’électricité, production décentralisée, possibilité pour les (gros) consommateurs d’électricité de choisir leur fournisseur, déregulation du marché à cause de nouvelles technologies. Le contexte de la libéralisation du marché de l’énergie, la recherche de la compétitivité par les compagnies d’électricité fait que la qualité est un facteur différentiateur. Sa garantie peut être, pour un industriel, un critère de choix d’un fournisseur d’énergie.
La qualité de l’électricité devient ainsi un sujet stratégique pour les compagnies d’électricité. Pour cela, les compagnies d’électricité devraient chercher à se conformer aux régles en matiére d’évaluation de la sécurité des systémes d’énergie électrique. Disposer une certification de conformité en la matiére en est une preuve marketing pour attirer plus de gros consommateurs. Disposer d’un réseau électrique moderne recommande l’usage d’un outils assurant intelligent devant resoudre des problémes complexes sur le réseaux électrique. Cest ainsi que le systéme SCADA (Supervisory Control and Data Acquisition) repondant à plusieurs normes en matiére de qualité d’électricité rendre en jeu. La figure ci-dessous essaye de décrire ses fonctionnalités.
Dans le nouvel environnement concurrentiel et de décentralisation, l’incertitude liée à la prédiction de conditions de fonctionnement futuristes des réseaux électriques a créé un besoin pour une nouvelle approche de l’évaluation de la sécurité des systèmes électriques : l’évaluation en ligne (Figure 3.6 ). Cette approche est bien différente de l’évaluation hors ligne utilisée. En effet, dans cette nouvelle approche, l’analyse de sécurité pour le point de fonctionnement actuel du système électrique est presque effectuée au moment où il se produit, et avec une vitesse suffisante pour déclencher une action de contrôle automatique (action préventive), ou pour donner un temps suffisant aux opérateurs pour qu’ils réagissent s’il découle des résultats de l’analyse de sécurité qu’au moins une des contingences analysées a le potentiel de faire migrer leurs systèmes de l’état normal à l’état critique.
Puisque cette approche effectue les analyses de sécurité sur un « snapshot » représentant les conditions actuelles de fonctionnement du système, l’incertitude liée à l’analyse de sécurité effectuée hors ligne en utilisant les conditions prévisibles de fonctionnement du système électrique est largement éliminée. Cette approche fournit un mécanisme, semblable à celui du radar, qui balaie continuellement le système afin de détecter des problèmes potentiels qui peuvent survenir à la suite de l’occurrence d’une contingence.
Figure 3.6 Evaluation hors – ligne, Evaluation en ligne de sécurité de système électrique[38]
Procéder continuellement à l’évaluation de la sécurité des réseaux électriques conduit à:
– Déterminer le degré de sécurité (sûr, critique, dangereux) de l’état présent.
– Déterminer le degré de sécurité de l’état présent en rapport avec une éventuelle faille de quelque composant du système. (Analyse de Contingences)
– Proposer les actions de contrôle appropriée pour conserver ou retrouver une situation de sécurité acceptable.
Dans cette optique il importe de moderniser les réseaux en les rendant plus intelligent au point où il seraient capable d’anticiper face aux problémes pouvant survenir. C’est là qu’apparaît les smart grids, Les réseaux intelligents ou « smart grids » sont des réseaux d’électricité qui, grâce à des technologies informatiques, ajustent les flux d’électricité entre fournisseurs et consommateurs. En collectant des informations sur l’état du réseau, les smart grids contribuent à une adéquation entre production, distribution et consommation.
Il est nécessaire de différencier smart grid et compteur communicant (ou « smart meter »), qui renseigne le consommateur sur sa demande en électricité. Smart grids est une appellation générale pour l’ensemble des technologies et des infrastructures « intelligentes » installées. Chez le particulier, le compteur communicant est une première étape dans la mise en place des Smart grids.
Ces réseaux «intelligents » visent à :
– Intégrer de manière efficiente les actions de l’ensemble des utilisateurs (producteurs et consommateurs) afin de garantir un approvisionnement électrique durable, sûr et au moindre coût».
– Les Smart grids associent les technologies de l’information et de la communication (TIC) aux réseaux.
– Les systèmes communiquant, en parallèle des réseaux de distribution, ainsi que l’intelligence embarquée doivent permettre un meilleur ajustement entre production et consommation d’électricité et l’intégration des énergies renouvelables.
L’inconvenient ou limites des Smart grids est leur vulnerabilité face au pirats informatiques et autres spécialistes aux TIC pouvant acceder facilement. D’où la nécessité de créer des Smart grids bien sécurisés comme les systémes SCADA ; Le coût des investissements reste élevé. En effet, les smarts grids doivent être implantés sur l’ensemble du réseau et impliquer tous les acteurs pour être efficaces ; L’autre obstacle est la diversité des acteurs, car ils doivent mettre au point des systèmes communicants variés avec des logiques convergentes. De plus, les données recueillies sont complexes à gérer et à stocker, compte tenu de l’importante quantité d’informations à traiter. Enfin, les informations sur les horaires ou les activités des consommateurs et des producteurs sont confidentielles. Des normes sur la protection des données doivent être appliquées.
Les réseaux intelligents peuvent être définis selon quatre caractéristiques :
– Flexibilité : ils permettent de gérer plus finement l’équilibre entre production et consommation.
– Fiabilité : ils améliorent l’efficacité et la sécurité des réseaux.
– Accessibilité : ils favorisent l’intégration des sources d’énergies renouvelables sur l’ensemble du réseau.
– Economie : ils apportent, grâce à une meilleure gestion du système, des économies d’énergie et une diminution des coûts (à la production comme à la consommation).
Le fonctionnement technique ou scientifique des Smart grids est telque :
Au sens large, un réseau intelligent associe l’infrastructure électrique aux technologies numériques qui analysent et transmettent l’information reçue. Ces technologies sont utilisées à tous les niveaux du réseau : production, transport, distribution et consommation.
– Un contrôle des flux en temps réel : des capteurs installés sur l’ensemble du réseau indiquent instantanément les flux électriques et les niveaux de consommation. Les opérateurs du réseau peuvent alors réorienter les flux énergétiques en fonction de la demande et envoyer des signaux de prix aux particuliers pour adapter leur consommation (volontairement ou automatiquement).
– L’interopérabilité des réseaux : l’ensemble du réseau électrique comprend le réseau de transport et le réseau de distribution. Le premier relie les sites de production d’électricité aux zones de consommation : ce sont les grands axes qui quadrillent le territoire. Le réseau de distribution s’apparente aux axes secondaires. Il achemine l’électricité jusqu’aux consommateurs finaux. Par l’échange instantané d’informations, les smart grids favorise une interopérabilité entre les gestionnaires du réseau de transport et ceux du réseau de distribution.
– L’intégration des énergies renouvelables au réseau : les réseaux intelligents reposent sur un système d’information qui permet de prévoir à court et à long terme le niveau de production et de consommation. Les énergies renouvelables qui fonctionnent souvent par intermittence et de façon peu prévisible (ex : l’éolien) peuvent ainsi être mieux gérées.
– Une gestion plus responsable des consommations individuelle : les compteurs communicants (ou compteurs évolués, “Linky”) sont les premières versions d’application du réseau intelligent. Installés chez les consommateurs, ils fournissent des informations sur les prix, les heures de pointe de consommation, la qualité et le niveau de consommation d’électricité du foyer. Les consommateurs peuvent alors réguler eux-mêmes leur consommation au cours de la journée. De leur côté, les opérateurs du réseau peuvent détecter plus vite les pannes.
Figure 3.7 : fonctionnement d’un Smart grids
Source : http://www.connaissancedesenergies.org/fiche-pedagogique/reseau-intelligent-smart-grid
À long terme, le développement des smart grids devrait s’étendre à l’ensemble des réseaux interconnectés du Cameroun. Toutefois, l’implantation des réseaux intelligents dépend de l’efficacité des dispositifs techniques et de l’implication des parties prenantes.
Parmi elles, les consommateurs auront un rôle clé. En effet, l’équilibre du système électrique sera davantage géré par l’utilisateur final. Une sensibilisation du public sur les enjeux du système sera alors nécessaire pour en comprendre l’utilité. Cela exigera aussi un accès aisé aux informations via des interfaces multiples et simples (Smartphones, ordinateurs, etc.).
Au niveau politique, la Plateforme Technologique des Etat de la CEMAC devrait financer le développement des réseaux intelligents pour favoriser l’interconnexion. Aux Etats-Unis par exemple, M. Barack Obama a décidé d’un investissement de 3,4 milliards de dollars dans le développement des smart grids.
Les smart grids devraient changer les habitudes de consommation et la relation des consommateurs avec le système de production. Ils devraient favoriser une modération de la demande tout en contribuant à la protection de l’environnement. Car ces systémes permettent de reduire les coupures d’énergie sur le réseau.
Figure 3.8 : principe d’un Smart meter
Source : http://www.connaissancedesenergies.org/fiche-pedagogique/reseau-intelligent-smart-grid
Le concours de plusieurs acteurs est nécessaire dans le processus de développement des réseaux intelligents:
– Les consommateurs, en régulant eux-mêmes leur consommation d’électricité, participent à l’efficacité du système.
– Les producteurs d’électricité comme AES-SONEL, alimentent les réseaux de transport d’électricité et doivent être capables de répondre en temps réel à la demande. Le développement des smart grids permet également aux producteurs décentralisés de petites capacités (ex : les éoliennes ou les panneaux photovoltaïques appartenant à des particuliers) d’être raccordés.
– Les gestionnaires des réseaux de transport et de distribution, ainsi que les constructeurs de matériel électrique gèrent et installent les équipements de mesure assurant la sécurité et le fonctionnement des réseaux. Ils sont les acteurs techniques majeurs du développement des smart grids.
– Les gestionnaires de processeurs et de systèmes informatiques comme Info vista, Intel, Google ou Cisco System, développent les technologies d’information indispensables au fonctionnement des réseaux intelligents.
– Les pouvoirs publics soutiennent et encadrent le développement des réseaux intelligents notamment par la définition de normes de communication et la protection des systèmes contre les intrusions ou détournements.
Tous ces efforts de développement ont été possible grâce aux progrès de l’électronique de puissance qui ont donné naissance aux dispositifs FACTS qui permettent de mieux maîtriser le transfert d’énergie dans les lignes et matériels électriques, tels que les transformateurs. Les plus simples de ces composants sont le condensateur à thyristors et le compensateur statique d’énergie réactive SVC (Static Var Compensator), qui équipent en grand nombre des points stratégiques du réseau de transport. De même, le TCSC (Thyristor Controlled Series Capacitor) conjugue compensation de puissance réactive et amortissement des oscillations de puissance. Le fleuron des FACTS est le compensateur statique synchrone STATCOM (STATic COMpensator), qui injecte et absorbe de la puissance réactive sur le réseau, en fonction des fluctuations de tension du système électrique.
Enfin, le nec plus ultra de la technologie est le régulateur universel UPFC (Unified Power Flow Controller), qui peut agir sur la puissance active et la puissance réactive de la ligne indépendamment l’une de l’autre, soutenir rapidement la tension et gérer le flux d’énergie. Toutes variantes confondues, les FACTS sont susceptibles d’augmenter de 20 % à 40 % la capacité de transit des lignes jusqu’ici bridées par des contraintes de tension ou de stabilité.
Différents modules de cet outils d’analyse en ligne existent, une brève présentation est faite en dessous (Figure 4.9 ) :
– Module de mesure
Le système informatique de conduite, connu dans la littérature technique anglo-saxonne sous le nom de SCADA (Supervisory Control and Data Acquisition), est conçu pour assurer une très haute disponibilité des fonctions de supervision et de décision. En effet, les réseaux de télécommunication sécurisés de ce système acheminent, jusqu’au centre de conduite, les informations captées via les concentrateurs distants (RTUs, Remote Terminal Units en anglais) localisés dans les postes et les centrales. Puis, au centre de conduite, ces informations sont filtrées et traitées pour être présentées en temps réel à l’opérateur et pour être utilisées par l’estimateur d’état dans le but de construire un modèle d’aide à la décision.
Le deuxième principal rôle du SCADA consiste à réacheminer les ordres de contrôle vers les matériels télécommandés existants dans les postes et les centrales électriques en utilisant les mêmes réseaux de télécommunication sécurisés.
– Module de modélisation
Puisque la fonction d’analyse de la sécurité en ligne est effectuée d’une manière cyclique.
Il faut donc disposer à intervalles réguliers de quelques minutes d’un modèle détaillé du réseau, obtenu à partir de mesures faites dans le réseau, sur lequel l’analyse de sécurité peut s’effectuer. Dans ce contexte, l’estimateur d’état joue un rôle essentiel, car il est parfaitement capable d’exploiter les télémesures et les télésignalisations acquises à un instant donné par le biais du système SCADA, et après en avoir vérifié l’observabilité, pour construire le modèle qui correspond le mieux avec les mesures prises à cet instant.
Selon le type d’analyse de sécurité effectuée (statique ou dynamique) le modèle obtenu de l’estimateur d’état doit être complété par :
– Les modèles statiques réduits des systèmes électriques voisins pour l’analyse statique de sécurité.
– Les données dynamiques concernant les générateurs, les charges, les dispositifs de contrôle, etc, et les modèles dynamiques réduits des systèmes électriques voisins pour l’analyse de sécurité dynamique.
– Module de calcul
L’analyse de sécurité statique/dynamique se fait normalement d’une manière déterministe en utilisant les outils analytiques comme le calcul de répartition de charge la simulation dynamique, etc. En effet, ces outils utilisent un modèle détaillé du système électrique pour déterminer la réponse statique/dynamique de système à l’égard de chacune des contingences analysées. Ainsi, étant donné le temps de calcul considérable des outils analytiques, l’analyse de sécurité en ligne cherche à compléter ces outils analytiques par des outils synthétiques. Les outils synthétiques sont basés sur des techniques d’apprentissage automatique dont le but principal est d’accélérer la procédure d’analyse des contingences en déterminant uniquement les contingences dangereuses pour une analyse détaillée effectuée par les outils analytiques.
– Module de contrôle
Si le module d’analyse de sécurité en ligne détermine que les marges de sécurité évaluées par rapport à des incidents plausibles ne sont pas suffisantes pour garantir que le système électrique continue de fonctionner en état normal si l’un ou l’autre de ces incidents plausibles a lieu alors des actions préventives doivent être prises pour augmenter ces marges de sorte que la vulnérabilité du système soit éliminée à l’égard de toutes les contingences plausibles.
En effet, le contrôle préventif de la sécurité peut conduire un gestionnaire de réseau à ajuster les capacités de transfert « Available Transfer Capabilities » annoncées, à modifier un schéma de production, à imposer le maintien en service d’un groupe (afin, par exemple, de disposer de son contrôle de la tension et de sa réserve de puissance réactive) voire, dans des situations extrêmes, de délester préventivement de la charge. Toutes ces actions ont un coût. De plus, dans le contexte de l’ouverture du marché de l’électricité, ces décisions doivent être prises de manière plus transparente en s’appuyant sur des critères et des outils de calcul appropriés.
Figure 3.9 : Différents modules du système de l’évaluation en ligne de la sécurité statique/dynamique des systèmes électriques [38]
3.1.2.2. Contraintes mathématiques d’interconnexion des réseaux électriques nationaux
Figure 3.10 : configuration du réseau électrique interconnecté de la CEMAC
L’exploitation dans le domaine de conduite en ligne des grands systèmes électriques interconnectés ainsi que la conduite des informations détaillées disponibles sont normalement limitées à une zone de réglage qui forme seulement une partie du système interconnecté, dénommée le système interne ou bien le système étudié. En effet, l’analyse de sécurité statique à l’égard du système interne doit prendre en compte l’influence et la réaction du système externe auquel le système interne est interconnecté via les lignes d’interconnexion.
Cette méthode de gestion de réseau de transport se ramène à une philosophie précédemment définie et dénommée décentralisation des réseaux interconnectés. En supposant que seulement un minimum d’informations sur le système externe est disponible, dans ce cas aussi les modèles statiques réduits apparaissent indispensables pour remplacer les modèles complets indisponibles des systèmes externes.
La connexion du modèle statique réduit des systèmes externes au modèle complet du système interne en vue de la construction d’un modèle compact, mais représentatif du système interconnecté pour l’étude du système interne, ne doit pas modifier l’état déjà connu du système interne. Cela veut dire que les puissances actives/réactives arrivant aux (ou sortant des) noeuds frontières des équivalents doivent correspondre exactement aux puissances circulant dans les lignes d’interconnexion.
Dans le cas où l’équivalent est déterminé à partir d’un état connu du système externe, certains modèles réduits peuvent être connectés directement aux noeuds frontières du système interne tout en préservant sans modification les puissances dans les lignes d’interconnexion. Autrement dit, lors de la connexion de certains types d’équivalents au système interne, la somme algébrique des puissances aux noeuds frontières est intrinsèquement nulle. Pour d’autres types d’équivalents, la connexion au système interne nécessite une procédure d’ajustement qui implique simplement l’addition des injections des puissances fictives aux noeuds frontières afin de préserver les valeurs connues des puissances dans les lignes d’interconnexion.
Dans un réseau électrique un meilleur écoulement de puissance permet d’optimiser le réseau tout entier et de pallier aux problèmes creux ou d’écroulement de puissances. Compte tenu de la croissance des besoins énergétique, des systèmes technologiques sont installés pour mesurer les différents problèmes inérants à un réseau et les études entreprises dans les bureaux d’études par les spécialistes pour résorber aux défaillances.
Les consommateurs étant dispersés et le plus souvent distant des centres de production, ceux-ci sont dans la majorité des cas installés prés de centres de consommation importante et pour pallier aux éventuelles défaillances sur le réseau local, des moyens locaux sont constitués le plus souvent par des centrales thermiques, groupes électrogènes ou autres. Dans le cas des réseaux très vastes on est contraint de les interconnecter afin de satisfaire les consommateurs.
Le système électrique d’un réseau haute tension peut être résumé par le schéma ci-dessous.
Figure 3.11: Grand système électrique interconnecté divisé en trois sous systèmes Interne-Frontière – Externe
Pour une analyse d’un cas de réseau interconnecté, nous considérons une interconnexion entre le Cameroun et la RCA à travers la centrale au fil de l’eau de Lom Pangar (Figure 3.12 ). Le schéma illustré ci-dessous est cas d’étude théorique qui pourrait illustrer un cas pratique sur le terrain.
Figure 3.12: Réseau électrique simple divisé en trois sous-systèmes (externe, interne, frontière) [38]
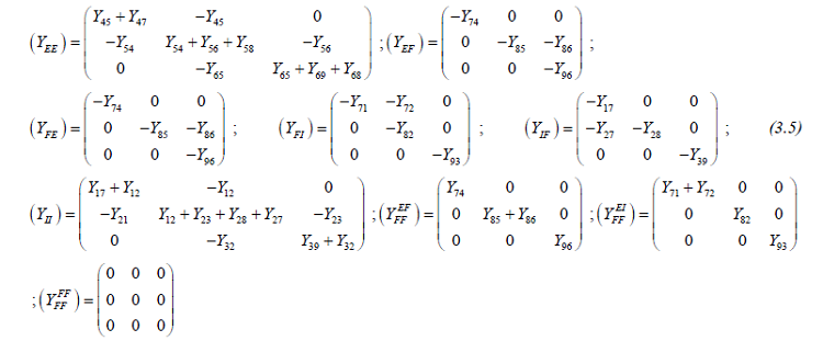
Pour cet exemple, on construit les sous matrices d’admittance du réseau ci-dessus, comme il suit :
Une présentation futuriste du réseau électrique sur le plan technique dans une perspective d’intégration à travers l’interconnexion des réseaux nationaux de la CEMAC, mérite un temps lieu d’être effectif afin de promouvoir la croissance des économie et la réduction de la pauvreté dans un contexte de promotion des
initiatives locales de développement au travers d’une gouvernance décentralisée des activités de développement.
Il importe de relever pour une bonne fonctionalité du réseau, un systéme de protection adéquat doit être mieux étudier puis installé. Mais il différe selon la configuration du réseau. Le système de protection des réseaux maillés (ou bouclés) est plus complexe que celui qui protège les réseaux en antenne, car en cas de défaut sur une ligne d’un réseau maillé, le courant se répartit sur les différentes branches du réseau.
Page suivante : III.2 Modernisation des équipements électriques pour une meilleure ERD



![Les différentes composantes de la fiabilité de système production-transport[38] Les différentes composantes de la fiabilité de système production-transport[38]](https://www.institut-numerique.org/wp-content/uploads/2013/08/Les-différentes-composantes-de-la-fiabilité-de-système-production-transport38.png)
![résultats RIS, RIN, RIE consommation d’énergie GWh et production d’énergie (MW) [25] résultats RIS, RIN, RIE consommation d’énergie GWh et production d’énergie (MW) [25]](https://www.institut-numerique.org/wp-content/uploads/2013/08/résultats-RIS-RIN-RIE-consommation-d’énergie-GWh-et-production-d’énergie-MW-25.png)
![Prévision d’accroissement de la production par rapport à 2005 [25] Prévision d’accroissement de la production par rapport à 2005 [25]](https://www.institut-numerique.org/wp-content/uploads/2013/08/Prévision-d’accroissement-de-la-production-par-rapport-à-2005-25.png)
![Potentiel hydroélectrique en fonction des bassins du Cameroun [24] Potentiel hydroélectrique en fonction des bassins du Cameroun [24]](https://www.institut-numerique.org/wp-content/uploads/2013/08/Potentiel-hydroélectrique-en-fonction-des-bassins-du-Cameroun-24.png)
![puissances équitables du Cameroun [24] puissances équitables du Cameroun [24]](https://www.institut-numerique.org/wp-content/uploads/2013/08/puissances-équitables-du-Cameroun-24.png)

![Débits naturels de la Sanaga de 1944 à 2003 [24] Débits naturels de la Sanaga de 1944 à 2003 [24]](https://www.institut-numerique.org/wp-content/uploads/2013/08/Débits-naturels-de-la-Sanaga-de-1944-à-2003-24.png)
![Ouvrages de production du Bassin de la Sanaga [24] Ouvrages de production du Bassin de la Sanaga [24]](https://www.institut-numerique.org/wp-content/uploads/2013/08/Ouvrages-de-production-du-Bassin-de-la-Sanaga-24.png)
![Sites de régularisation potentiels de la Sanaga [24] Sites de régularisation potentiels de la Sanaga [24]](https://www.institut-numerique.org/wp-content/uploads/2013/08/Sites-de-régularisation-potentiels-de-la-Sanaga-24.png)
![classement de différentes formes de stabilité de systèmes production-transport[38] classement de différentes formes de stabilité de systèmes production-transport[38]](https://www.institut-numerique.org/wp-content/uploads/2013/08/classement-de-différentes-formes-de-stabilité-de-systèmes-production-transport38.png)
![Evaluation hors – ligne, Evaluation en ligne de sécurité de système électrique[38] Evaluation hors – ligne, Evaluation en ligne de sécurité de système électrique[38]](https://www.institut-numerique.org/wp-content/uploads/2013/08/Evaluation-hors-–-ligne-Evaluation-en-ligne-de-sécurité-de-système-électrique38.png)


![Différents modules du système de l’évaluation en ligne de la sécurité statique dynamique des systèmes électriques [38] Différents modules du système de l’évaluation en ligne de la sécurité statique dynamique des systèmes électriques [38]](https://www.institut-numerique.org/wp-content/uploads/2013/08/Différents-modules-du-système-de-l’évaluation-en-ligne-de-la-sécurité-statique-dynamique-des-systèmes-électriques-38.png)



![Réseau électrique simple divisé en trois sous-systèmes (externe, interne, frontière) [38] Réseau électrique simple divisé en trois sous-systèmes (externe, interne, frontière) [38]](https://www.institut-numerique.org/wp-content/uploads/2013/08/Réseau-électrique-simple-divisé-en-trois-sous-systèmes-externe-interne-frontière-38.png)
