La théorie micro-économique traditionnelle a été développée à la suite de travaux de théoriciens de la fin du XIXème siècle. La plupart de ses concepts sont nés des oeuvres de A. Smith(12), A. Cournot(13), W.S. Jevons(14), C. Menger(15), L. Walras(16) ou A. Marshall(17). Ces modèles tentent d’analyser les problèmes de production et d’échanges de biens entre différents acteurs. On estime qu’il y a d’un côté les producteurs, offreurs d’un bien, et de l’autre côté les consommateurs. Suivant le nombre, la taille et l’importance des acteurs, la théorie micro-économique propose des analyses différentes. Ainsi Il existe la concurrence pure – pour laquelle le nombre d’offreurs et de demandeurs est très important -, l’oligopole – dans lequel il y a un petit nombre de producteurs – avec pour cas particulier le duopole – où il ne coexiste que deux offreurs -, le monopole – où un seul offreur subsiste – et enfin le monopsone -caractérisé par un seul demandeur.
Nous verrons ici deux grands cadres d’analyse, la concurrence pure et parfaite et le monopole. Ceux-ci ne traitent pas le phénomène de la différenciation des produits, nonobstant, ils sont une base de concepts et d’études de comparaison avec d’autres modèles qui, eux, développent ces cas, et entre autres le cas de la concurrence monopolistique de Chamberlin(18).
I – LA CONCURRENCE PURE ET PARFAITE.
A – Hypothèses du modèle.
Ce modèle se base sur sept hypothèses regroupées selon deux critères. Les premières hypothèses portent sur la perfection du marché. On parle en premier lieu des acteurs, c’est l’hypothèse d’atomicité: le nombre d’acteurs sur le marché doit – des deux côtés – être important; De plus, quel qu’il soit, un acteur sur le marché doit avoir un volume de transaction trop faible pour pouvoir influencer celui-ci. Vient ensuite le produit, qui est caractérisé par son homogénéité, chaque produit étant normé. On peut alors parler du marché, dont la libre entrée est la règle, ce qui empêche une quelconque collusion entre vendeurs. Pour faire fonctionner ce petit monde, il faut une transparence du marché, l’information doit être gratuite et sa transmission instantanée.
On peut maintenant aborder la pureté de ce marché. On ajoute donc une mobilité des facteurs de production, une indépendance entre les produits et une rationalité absolue des agents.
B – L’équilibre entre l’offre et le demande.
Une fois posées les règles du jeu, on peut examiner les résultats obtenus. Chaque acteur veut réaliser un certain nombre de buts. Un consommateur voudra maximiser sa courbe d’utilité selon son budget. Pour cela, il se crée une courbe de demande. Le producteur quant-à-lui, veut maximiser son profit en prenant en considération le prix du produit et son coût de fabrication. En considérant ces contraintes, chaque demandeur décidera d’un prix maximum pour se procurer un bien, et chaque offreur optera pour un prix minimum pour proposer son produit.
Dans le cas de la demande, plus le prix augmente, moins de consommateurs sont capables de s’offrir ce bien ou moins de consommateur acceptent de dépenser cette somme, ce qui entraîne le caractère décroissant de la courbe – exception faite de certains biens de luxe. Au niveau de l’offre, plus le prix est élevé et plus la rentabilité du bien est élevée, donc plus de producteurs sont prêts à se présenter sur le marché, ce qui entraîne une courbe d’offre croissante.
figure 2(19)Equilibre en concurrence pure et parfaite
Il y a équilibre sur le marché lorsqu’il y a égalité entre offre et demande. Dans le cas général, on admet que la courbe de demande est décroissante alors que la courbe d’offre est croissante.
Cet équilibre est cependant une considération statique du marché. Il existe un mécanisme d’ajustement entre l’offre et la demande qui permet d’obtenir ce point à partir d’un départ autre que le point d’équilibre. Ce principe montre qu’il existe deux structures des courbes d’offre et de demande. La première est un équilibre stable qui permet un retour automatique vers le point d’équilibre, alors que la deuxième est un système instable qui éloigne les acteurs de l’équilibre.
figure 3(20)Mécanismes de rajustement
C – Le comportement individuel.
Au niveau des acteurs, on observe d’une part le consommateur et d’autre part le producteur.
a – Le consommateur.
Du côté du consommateur, l’hypothèse de rationalité permet de supposer que le consommateur est apte à faire correspondre à chaque bien une valeur objective lui permettant de classer les biens suivant l’utilité que celui-ci donne au bien.
On obtient donc une fonction d’utilité :
U( x1,x2,…,xn)
sous la contrainte budgétaire :
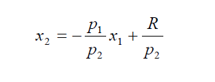
p1x1+p2x2+pnxn=R
Cette même contrainte peut être simplifiée en prenant un modèle à deux biens : p1x1+p2x2=R
ce qui permet de réécrire l’équation sous la forme :
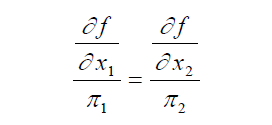
On définit le taux marginal de substitution comme le rapport de l’utilité marginale de deux biens, on considère alors que l’optimum pour le consommateur est obtenu lorsque le taux marginal de substitution est égal au rapport des prix des produits.
figure 4(21)
Les courbes (1), (2) et (3) sont les fonctions d’utilité du consommateur, et D la droite de budget. L’équilibre se trouve donc au point de tangence entre la courbe d’utilité et la contrainte de budget.
b – Le producteur.
Le producteur, quant-à-lui, a pour but de maximiser son profit :
Maximiser py-(p1z1+p2z2+…+pnzn)
sous la contrainte y=f(z1,z2,…,zn)
Ici, le producteur possède une fonction d’isoquante qui représente les combinaisons de facteurs lui permettant de produire un bien en quantité y. On définit un taux marginal de substitution technique comme étant le rapport des productivités marginales des facteurs, on peut obtenir le résultat suivant :
Une courbe d’isocoût est la droite pour laquelle les combinaisons de produits se font à un coût C.
Au niveau géométrique, l’ajustement se fait par déplacement de la courbe d’isocoût jusqu’à ce qu’elle devienne la tangente à la courbe d’isoquante :
figure 5(22)
Si on réfléchit en terme de coûts, trois types de coûts sont à considérer: le coût total, le coût moyen et le coût marginal. Dans ce cas-là, on peut démontrer que le profit est maximum lorsque le coût marginal et le prix du bien sont égaux. En fait, on estime que le prix est évalué par l’échange sur le marché lors de l’équilibre général. A l’équilibre, on a obtenu une valeur Pe du prix du bien. Comme, par hypothèse, on estime qu’un producteur ne peut influencer le prix du bien, celui-ci lui est donc donné comme une valeur fixe :
figure 6(23)
Etant donné ces hypothèses, au niveau de l’entrepreneur individuel, la courbe de demande est une droite horizontale : à un prix donné, le producteur peut écouler la quantité de biens qu’il a à offrir sans faire varier le prix de ce bien. On se rend compte que dans ce cas-là, le producteur maximise son profit en A, c’est à dire au point où le coût moyen de long terme est au plus bas, donc où les économies d’échelle sont les plus élevées.
Pour estimer un équilibre général, on peut évaluer l’équilibre statique : il existe une offre globale et une demande globale, la valeur qui égalise l’offre et la demande est l’équilibre. Si on n’est pas immédiatement en ce point, un ajustement a lieu – le système cobweb.
A long terme, la fonction d’offre a une forme coudée : horizontale jusqu’à l’égalité entre coût marginal et coût moyen puis suivant la courbe de coût moyen.
L’ajustement se fait ici par entrée ou sortie de producteurs sur le marché :
figure 7(24)
La conclusion est donc que le coût moyen de long terme doit être à son minimum afin de maximiser son profit.
II – LE MONOPOLE(25).
Le monopole est une situation où il existe un seul offreur pour un certain type de produit, pour lequel il n’y a pas de substitut proche proposé sur le marché. Il existe trois types de monopoles : il peut être soit naturel, en ce sens que la taille optimale de production du bien ne permet pas à plusieurs offreurs de coexister sur le marché, soit institutionnel, c’est à dire qu’il ne peut légalement pas y avoir de concurrent pour un produit proposé – par exemple la SNCF en France -, ou bien le cas où un offreur possède un brevet d’exploitation ou la totalité des matières premières nécessaires à la production du bien… La situation de monopoleur permet à l’offreur, en l’absence de concurrents directs, de pouvoir faire varier à son aise le prix du produit, contrairement au cas précédent où le producteur était obligé de s’adapter au prix du marché.
La courbe de demande peut être définie comme avant, la demande étant fonction du prix :
Cependant, comme l’offreur est confronté à la totalité de la demande, celui-ci devra optimiser son profit en fonction du prix qu’il proposera sur le marché, ce qui permet de considérer la fonction inverse :
Le producteur considère trois types de recettes pour sa production, la recette totale – RT -, la recette marginale – Rm, qui représente la recette supplémentaire apportée par la dernière unité de bien produite – et la recette moyenne – RM – définis comme suit :
Comme nous pouvons le voir, la courbe de recette moyenne peut être assimilée à celle de la demande totale. De plus, en raison de la caractéristique de la courbe (décroissante) de demande totale, sa dérivée étant donc négative, la recette marginale sera forcement inférieure à la recette moyenne.
L’équilibre se fait comme ailleurs en maximisant le profit, c’est à dire la différence entre la recette totale et le coût total, où Y représente le niveau de production choisi par le producteur :
Le niveau de production choisi par le monopoleur est donc inférieur au niveau obtenu dans le cas de la concurrence pure et parfaite, pour laquelle l’équilibre se faisait à l’égalité entre prix et coût marginal. Une conclusion que l’on peut tirer de ce résultat est que la situation de monopole entraîne une baisse du surplus du consommateur.
III – CONCLUSION.
Ces modèles ont pour défaut l’hypothèse d’homogénéité des produits. Ce principe était déjà contredit en 1929 par Hotelling qui imaginait la possibilité de différencier les caractéristiques des biens. De plus, il y a un problème au niveau de la cohérence de la théorie. On peut résoudre cette incohérence en faisant comme Chamberlin qui, en 1933, a présenté un modèle dans lequel les produits pouvaient être différenciés et les producteurs pouvaient sortir de leur anonymat. Ce modèle sera présenté dans le chapitre suivant.
11 L’exposé de cet ensemble de théories est basé sur Picard P., 1992, Eléments de microéconomie, théorie et applications, Domat Economie, Editions Montchrétien, Paris.
12 Smith A., 1776, The wealth of nations, Londres; Tr. Fr. 1976, Recherches sur la nature et les causes de la richesse des nations, Gallimard, Paris.
13 Cournot A., 1838, Recherches sur les principes mathématiques de la théorie des richesses, Paris.
14 Jevons W.S., 1871, La théorie de l’économie politique, Londres.
15 Menger C., 1874, Fondements de l’économie politique pure, Paris.
16 Walras L., 1874, Eléments d’économie politique pure, Paris.
17 Marshall A., 1890, Principes d’économie politique.
18 Chamberlin E.H., 1933, The theory of monopolistic competition, Harvard University Press, Cambridge, Mass., U.S.A.; Tr. Fr. 1953, La théorie de la concurrence monopolistique, Presses Universitaires de France, Paris.
19 Picard P. Op. Cit. p. 289, Fig. 8.26.
20 Picard P. Op. Cit. p. 263 Fig. 8.3. (équilibre stable) et p. 264 Fig. 8.5. (équilibre instable).
21 Picard P. Op. Cit. p. 46 Fig. 2.16.
22 Picard P. Op. Cit. p. 171 Fig. 6.5.
23 Tiré de Chamberlin E.H. Op. Cit. chapitre II 3), pp. 20-25.
24 Picard P. Op. Cit. p. 268 Fig. 8.8 (équilibre de long terme avec libre entrée) et p. 269 Fig. 8.9 (cas où des entreprises sortent du marché)
25 Picard P. Op. Cit. chapitre 10.
Page suivante : CHAPITRE II : LA THEORIE DE LA CONCURRENCE MONOPOLISTIQUE.











