Institut numerique

Chapitre IV : Résultats et Discussions

IV.1 INTRODUCTION

Dans cette étude, on essaye de mettre en évidence un problème d’échauffement excessif du disque, et de visualiser les résultats pour pouvoir en tirer les modifications qui s’imposent sur la conception du disque de frein du point de vue des matériaux et du profile.

Notre travail consiste à étudier le comportement thermique d’un disque de frein en trois dimensions, lequel inclut le flux de chaleur généré à l’intérieur de celui-ci, les températures maximales et minimales etc. Le scénario analysé est un freinage d’arrêt. En pratique, le système de freinage baigne dans un flux d’air, plus ou moins forcée selon le système, qui participe au refroidissement du disque et des plaquettes. Ce flux d’air est régi par les lois de l’aérodynamique. A l’aide du code ANSYS CFX, on calcule alors les valeurs du coefficient d’échange thermique h en fonction du temps .Ces valeurs seront utilisés pour déterminer le comportement thermique du disque en régime transitoire.

Dans cette modélisation, seul le disque est pris en compte, les plaquettes sont remplacées par leur effet, représenté par un flux de chaleur généré à l’interface disque-plaquette qui est l’aire totale de contact (les deux côtés du disque) (Fig.IV.2).

Fig.IV.1 : Ensemble disque-plaquette

Fig.IV.2 : Application du flux de chaleur

L’exemple traité est un disque de frein d’un véhicule particulier (Fig.IV.1). Le mode de freinage choisi est du type 0 imposé par les normes européennes (ECE-13).

IV.2 FICHE TECHNIQUE DU VEHICULE CHOISI

Dans cette étude, on a choisi le véhicule Citroën de type CX GTi Turbo 2 dont les caractéristiques techniques sont indiquées dans le tableau IV.1 :

Tableau. IV.1 : Fiche technique du véhicule Citroën CX GTi Turbo 2.

IV.3 DESCRIPTION DU DISQUE DE FREIN VENTILE ET PLEIN ET DES PLAQUETTES

L’étude porte sur un disque de frein ventilé en fonte grise FG à haute teneur en carbone ; il s’agit du disque (262 X 29 mm) qui équipe certaines versions des véhicules Citroën CX GTi Turbo 2 (Fig.IV.3).

– Disque ventilé :

Diamètre extérieur A = 262 mm
Diamètre intérieur B = 66 mm
Epaisseur TH = 29 mm
Hauteur totale C = 51 mm
Nombre de trous = 06
Nombre d’ailette = 36
Matériaux/Composition = Fonte Grise
Type de disque = Ventilé à l’intérieur

Fig.IV.3 : Disque ventilé (vue en contour).

Fig.IV.4 : Caractéristiques géométriques du disque ventilé.

– Disque plein :

Pour faciliter la comparaison des résultats de simulation, les dimensions géométriques des deux variantes de disques, disque plein et disque ventilé sont les mêmes (Fig.IV.5).

Fig.IV.5 : Disque plein.

– Plaquettes de frein :

Épaisseur : 15 mm
Largeur : 61 mm
Hauteur : 139 mm
Largeur de la rainure : 3 mm
Profondeur de rainure : 6 mm

Fig.IV.6 : Plaquettes de frein pour Citroën.

Fig.IV.7 : Caractéristiques géométriques des plaquettes de frein.

IV.4 DETERMINATION DU COEFFICIENT D’ECHANGE PAR CONVECTION (H)

IV.4.1 Introduction

L’analyse thermique du système de freinage exige une détermination précise de la chaleur totale de friction produite ainsi que la distribution de cette énergie entre le disque et les garnitures. Lors d’un freinage d’urgence, toute la chaleur produite à l’interface est égale à la chaleur absorbée par le disque et les garnitures.

Lorsqu’un véhicule freine, une partie de la température de friction s’échappe dans l’air grâce à la convection et au rayonnement. Par conséquent, la détermination des coefficients de transfert de chaleur est très importante. Il est, cependant, très difficile de les calculer avec précision, car ils dépendent de la forme du système de freinage, de la vitesse de déplacement du véhicule et par conséquent de la circulation de l’air [39]. Ici la modélisation de la convection se révèle être le problème principal car elle est liée aux conditions aérodynamiques du disque. On s’intéresse dans cette partie au calcul du coefficient d’échange thermique (h). Ce paramètre doit être exploité pour visualiser la distribution tridimensionnelle de la température du disque.

IV.4.2 Modélisation en ANSYS CFX

La première étape de l’étude consiste à créer le modèle CFD qui contient les domaines à étudier en Ansys Worbench. Dans notre cas, on a pris seulement un quart du disque puis on a définit le domaine de l’air entourant ce disque .Dans cette étape, l’ANSYS ICEM CFD va préparer les différentes surfaces pour les deux domaines afin de faciliter le maillage, lesquelles seront exportée vers cfx à l’aide de la commande « Output to cfx ». Après avoir obtenu le modèle sur CFX Pre et avoir spécifié les conditions aux limites à l’aide de l’option « boundary conditions », on définit ses paramètres principaux sur CFX. Le disque est attaché à quatre surfaces adiabatiques et deux surfaces de symétrie dans le domaine fluide dont la température ambiante de l’air est égale à 20 °C [40].

La figure (IV.8) montre le modèle CFD élaboré qui sera utilisé dans ANSYS cfx Pre.

Fig.IV.8 : Modèle de CFD de disque de frein.

IV.4.3 Préparation de la géométrie et du maillage

IV.4.3.1 Domaine fluide :

Vu la symétrie dans le disque, on a pris uniquement le quart de la géométrie du domaine fluide (Fig.IV.09, Fig.IV.10, Fig.IV.11) en utilisant le logiciel ANSYS ICEM CFD.

Fig.IV.9 : Définition des surfaces du domaine fluide.

Fig.IV.10 : Domaine fluide (Vue de surface solide)

Fig.IV.11 : Domaine fluide (Vue de surface transparente)

IV.4.3.1.1 Préparation du Maillage :

Cette étape consiste à préparer le maillage du domaine fluide. Dans notre cas, on a utilisé un élément tétraédrique linéaire avec 30717 nœuds et 179798 éléments (Fig.IV.12).

Fig.IV.12 : Maillage du domaine fluide.

IV.4.3.2 Disque de frein

Pour des raisons de symétrie du disque , on a pris uniquement le quart de la géométrie dans le cas du disque ventilé et plein ; on a gardé la forme tétraédrique pour générer le maillage des disques (Fig.IV.17 , Fig.IV.18) .

Fig.IV.13 : Définition des surfaces du disque plein.

Fig.IV.14 : Définition des surfaces du disque ventilé.

Fig.IV.15 : Disque plein

Fig.IV.16 : Disque ventilé

Fig.IV.17 : Maillage du disque plein (Nombre d’éléments 272392)

Fig.IV.18 : Maillage du disque ventilé (Nombre d’éléments 27691)

IV.4.3.3 Etude du maillage

On a exécuté un raffinement sur le disque et sur le domaine fluide. Le tableau IV.2 donne le nombre d’éléments pour le maillage grossier et raffiné pour les types de disque de frein. Plus le maillage est raffiné, plus la qualité de la solution est meilleure.

Tableau.IV.2 : Nombre d’éléments des différents maillage

IV.4.4 Flux d’air en mécanique des fluides

L’écoulement dans le sillage des véhicules automobiles peut-être séparé en deux structures ; la première issue d’une ligne de séparation bidimensionnelle génère un écoulement de base avec une pression statique constante et une vitesse de transport voisine de zéro et la seconde est issue d’une séparation tridimensionnelle de l’écoulement et engendre des zones tourbillonnaires [39].

Ces deux effets produisent la traînée de forme à laquelle s’ajoute une traînée de pression résultant de la distribution de pression sur la géométrie du véhicule et une traînée de frottement due au cisaillement du fluide dans la couche limite. L’ensemble constitue la traînée aérodynamique globale du véhicule.

En aérodynamique automobile, les écoulements fluides sont de nature turbulente et dans les conditions courantes d’utilisation, le déplacement du véhicule s’effectue à un nombre de Mach inférieur à 0,3.

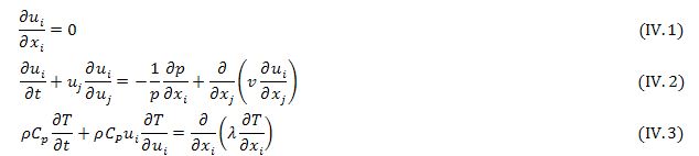
IV.4.5 Equations caractérisant un domaine fluide

Les équations qui régissent un domaine d’écoulement sont comme suit [39]:

La première équation est l’équation de continuité pour un fluide incompressible, la seconde représente l’équation de Navier-Stockes pour un fluide Newtonien et la troisième est l’équation de l’énergie pour un nombre de Mach petit .

Dans notre cas, l’écoulement d’air (inflow) est laminaire jusqu’au moment où il rencontre le disque. Une partie de ce flux devient turbulente.

IV.4.6 Modèle physique

Après le maillage, on définit dans cette étape les paramètres des différents modèles afin de commencer l’analyse. Pour notre cas, on définit le domaine fluide qui est l’air à 20 ° C et le domaine solide.

IV.4.6.1 Etat stationnaire

Dans un premier temps, on valide les modèles choisis et on procède à une analyse en régime stationnaire (Steady State). On doit activer le calcul du transfert de chaleur : « Heat Transfer » dans Thermal Energy Options. Dans le domaine de l’air, on prend la pression de référence égale à 1 atmosphère et la pression relative à la sortie est nulle.

IV.4.6.1.1 Initialisation de la turbulence

On choisit un écoulement turbulent de type k-E. Ceci nous permet d’observer la turbulence autour du disque. Pour entamer l’analyse du comportement thermique, on ajoute les paramètres suivants pour produire et éditer les expressions en ANSYS CFX PRE :

– Domaine fluide
Vitesse de l’air à l’entrée : V ent = 28 [m/s],
– Domaine disque
Flux entrant : FLUX ent = 4197027.47 [W/m2].
FLUX ent : Flux entrant stationnaire.
Ve : Vitesse d’entrée de l’air stationnaire.

IV.4.6.1.2 Définition du modèle matériau

On introduit les matériaux nécessaires au modèle. Ainsi pour le disque, nous avons introduit dans la bibliothèque les 03 sortes de fontes (FG 25 AL, FG 20, FG 15) en spécifiant leurs caractéristiques physiques.

IV.4.6.1.3 Définition du modèle Conditions Limites

La première étape consiste à sélectionner les faces d’entrée et de sortie du flux de la boîte. Ces options se trouvent dans le menu insert « Boundary condition » dans le CFX Pre.

La face d’entrée du flux (Inlet).
La face de sortie du flux (Outlet).

Des conditions aux limites sont également nécessaires sur les deux domaines. On utilise les conditions « Wall » et « Symmetry ». Ceci est obligatoire, car on peut régler un certain nombre de paramètres sur ces C.L., tels que le flux entrant dans le disque, ou une source de chaleur.

IV.4.6.1.4 Application des interfaces de domaine

Les domaines interfaces sont utilisés généralement pour la connexion ou l’assemblage des domaines. Les surfaces situées entre la région d’interaction (air-disque) sont déclarées comme interface fluide-solide.

IV.4.6.1.5 Méthode de résolution transient

Pour résoudre le problème, la méthode dite transitoire ou du « transient » est appliquée. Pendant la simulation de freinage, les différentes valeurs du flux thermique sont assignées aux éléments dépendants de la zone de contact à chaque pas de temps dans le modèle. Le problème de convection peut être considéré comme un problème tridimensionnel de transfert thermique à plusieurs reprises, en utilisant un incrément de temps plus petit tout en incluant la distribution initiale de la température. Le pas de temps est régi par la variation de la vitesse de rotation de disque. La méthode du transient en éléments finis permet de simuler le transfert thermique dans un disque tridimensionnel avec une vitesse variable et un flux variable .

IV.4.6.2 Etat instationnaire

D’une manière analogue, on ajoute les paramètres suivants pour produire et éditer les expressions en ANSYS CFX PRE afin d’entamer l’analyse thermique:

– Domaine fluide

Vitesse à l’entrée : V ent inst = Vent – Va t,

– Domaine disque

Flux entrant : FLUX inst = (CF) (V ent inst),
CF = 149893,838.
V ent inst = Vent – Va t
FLUX inst : Flux entrant instationnaire.
V ent inst : Vitesse d’entrant de l’air instationnaire.

IV.4.7 Conditions temporelles

Pour les deux régimes (stationnaire et instationnaire), on a pris les mêmes conditions temporelles :

Temps total = 3,5 [s],
Pas du temps = 0,01 [s],
Temps initial = 0 [s],

Avant de lancer le calcul et l’analyse en ANSYS CFX PRE , on doit vérifier tout le modèle pour s’assurer que le modèle ne contient pas d’erreurs.

IV.4.8 Lancement du calcul et affichage écran des données

Après vérification du modèle et des conditions aux limites, on démarre le calcul en ouvrant le menu File puis en cliquant sur Write solver file [41] . Les résultats sont stockés dans un fichier.

IV.5 ANALYSE DES RESULTATS

IV.5.1 Cas stationnaire

a. Disque plein

Dans ce régime, on considère que le comportement du disque ne varie pas avec le temps. La figure IV.19 montre la distribution du coefficient de transfert (h) dans un disque plein.

Fig.IV.19: Répartition de coefficient de transfert de chaleur sur un disque plein dans le cas stationnaire (FG 15).

Tableau IV.3 : Valeur du coefficient de transfert de chaleur de différentes surfaces dans le cas stationnaire pour un disque plein (FG 15).

b. Disque ventilé

Fig.IV.20 : Répartition de coefficient de transfert de chaleur sur un disque ventilé dans le cas stationnaire (FG 25 AL)

Fig. IV.21 : Répartition de coefficient de transfert de chaleur sur un disque ventilé dans le cas stationnaire (FG 20).

Fig.IV.22 : Répartition de coefficient de transfert de chaleur sur un disque ventilé dans le cas stationnaire (FG 15).

Les figures (IV.20, IV.21, IV.22) montrent les champs de distribution du coefficient d’échange (h) pour les trois types de matériaux. On constate que le comportement de (h) dans le disque ne dépend pas du matériau choisi. La distribution de (h) dans le disque n’est pas la même que celle existante dans la littérature.

Tableau IV.4: Valeur du coefficient de transfert de chaleur de Différentes surfaces dans le cas stationnaire pour un disque ventilé (FG 25 AL, FG 20 et FG15).

Le tableau (IV.4) montre les valeurs moyennes du coefficient d’échange de chaleur (h) calculées par les valeurs minimales et maximales des différentes surfaces du disque ventilé. On constate que le type du matériau n’a pas une grande influence sur la variation du coefficient d’échange thermique (h). Contrairement au premier cas, on constate que la valeur du coefficient d’échange thermique (h) est fortement influencée par le système de ventilation pour le même matériau (FG 15).

IV.5.2 Cas instationnaire

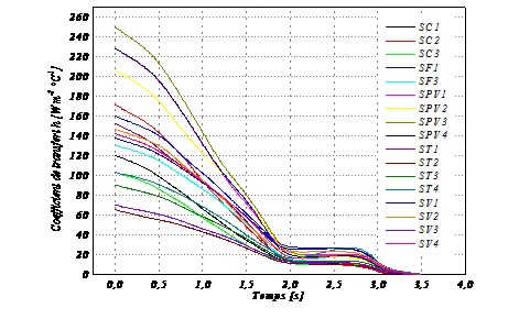
Les figures IV.23 et 24 montrent respectivement la variation du coefficient ( h) en régime transitoire des différences faces du disque plein et ventilé.

Fig.IV.23: Variation du coefficient de transfert de chaleur (h) des différentes surfaces pour un disque plein dans le cas instationnaire (FG 15).

Fig. IV.24 : Variation du coefficient de transfert de chaleur (h) des différentes surfaces pour un disque ventilé dans le cas instationnaire (FG 25 AL).

Fig. IV.25 : Variation du coefficient de transfert de chaleur (h) des différentes surfaces pour un disque ventilé dans le cas instationnaire (FG 20).

Fig. IV.26: Variation du coefficient de transfert de chaleur (h) des différentes surfaces pour un disque ventilé dans le cas instationnaire (FG 15).

Les figures IV.24 , 25 , 26 montrent la variation du coefficient de transfert de chaleur (h) en régime transitoire des différences faces du disque ventilé avec un matériau différent.

La comparaison des figues IV.23 et 26 pour les deux conceptions , disque ventilé et plein ayant le même matériau (FG 15 ) , montre une très nette diffférence due uniquement au système de ventilation.

Les figures IV.27 et 28 montrent à titre d’exemple l’évolution du coefficient d’échange (h) respectivement pour la surface SPV2 et SV1 pour chaque pas de temps

 

Figure IV.27: Variation du coefficient de transfert de chaleur (h) sur la surface ( SPV2) et en fonction du temps pour un disque ventilé (FG 15).

Figure IV.28: Variation du coefficient de transfert de chaleur (h) sur la surface (SV1) et en fonction du temps pour un disque ventilé (FG 15).

IV.6 EVOLUTION TRANSITOIRE DE LA TEMPERATURE DU DISQUE

IV.6.1 Introduction

Les gradients thermiques établis dans un disque de frein contribuent à sa déformation et à l’apparition de fissures. La perte d’efficacité du frein et l’usure accélérée sont à l’origine de la surchauffe du disque et des plaquettes [42].

Dans cette partie, une modélisation numérique en 3 D est développée pour déterminer le champs de température du disque de frein. La modélisation est effectuée en régime transitoire simulant un freinage d’arrêt.

IV.6.2 Description paramétrique du freinage

La vitesse de véhicule décroit linéairement avec le temps jusqu’à la valeur 0 (freinage d’arrêt), figure IV.29.

Fig. IV.29 : Vitesse de freinage en fonction du temps(Freinage du type 0).

La figure IV.30 représente la variation de flux de chaleur pendant le temps de simulation.

Fig. IV.30 : Flux de chaleur en fonction du temps.

IV.6.3 Maillage ou discrétisation

La méthode des éléments finis repose sur un découpage de l’espace selon un maillage. Plus ce maillage est resserré plus la solution par la MEF sera précise. Les deux types de disque sont modélisés par un maillage tridimensionnel à éléments tétraédriques (TE 10) à 10 nœuds. Ce dernier a été obtenu automatiquement à l’aide des options d’ANSYS WB. On note que ce maillage est raffiné dans la zone de contact disque – plaquettes. Les résultats du maillage sont présentés dans le tableau IV.5 et les figures IV.31, 32 et 33.

Fig. IV.31: Maillage d’un disque plein

Fig. IV.32 : Maillage d’un disque à faces mappées

Fig.IV.33 : Maillage d’un disque ventilé

Tableau.IV.5 : Statistiques de maillage calculées par le Multiphysics [Ansys WB]

IV.6.4 Chargement et conditions aux limites

Le calcul thermique avec ANSYS Workbench, sera effectué en choisissant le régime de simulation transitoire et en introduisant les conditions initiales et aux limites et les propriétés physiques des matériaux. Le chargement thermique est un flux de chaleur entrant dans le disque au niveau des plaquettes de frein sur la surface réelle de contact (les deux côtés du disque). La distribution du flux de chaleur due à la friction des plaquettes de frein sur les pistes de frottement est supposée uniforme.

Les conditions aux limites imposées au disque sont la convection sur toutes les surfaces libres du disque. Les valeurs imposées de (h) sur chaque surface sont importées à l’aide de code de calcul CFX.

– Régime transitoire. temps total de freinage = 45 [s]
– Pas du temps initial = 0,25 [s]
– Pas du temps initial minimal = 0,125 [s]
– Pas du temps initial maximal = 0,5 [s]
– Température initiale du disque = 60 [C °]
– Matériau : les trois types de Fonte (FG 25 AL, FG 20, FG 15).
– Application de convection de chaleur sur toutes les surfaces du disque en important les résultats du coefficient d’échange (h) obtenus en fonction du temps sous forme de courbe dans la simulation.
– Application du flux sur la surface de contact disque/ plaquettes et on introduit les valeurs obtenus dans le code CFX.

IV.6.5 Résultats et corrélation

IV.6.5.1 Disque plein

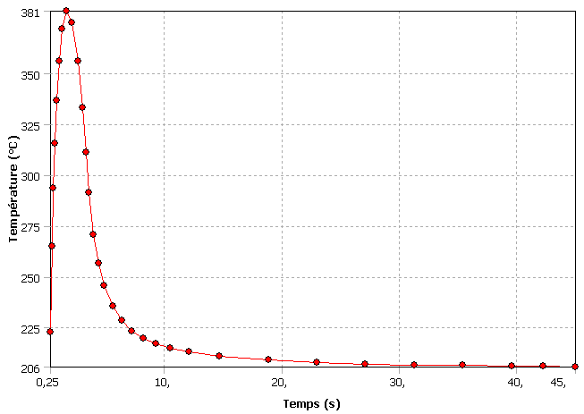
La courbe de la température en fonction du temps pour le disque se distingue par une élévation rapide de température jusqu’à l’instant t= 1,8839 s et atteint sa valeur maximale T= 401,55 °C puis elle chute rapidement jusqu’à t= 4,9293 s. Après cet instant, la variation de la température devient moins importante, Fig.IV.34.

Fig.IV.34 : Variation de la température du disque plein en fonction du temps (FG 15)

Fig.IV.35 : Répartition de la température pour un disque plein d’un matériau (FG 15)

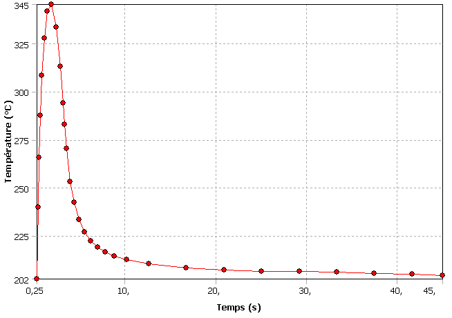
Fig.IV.36 : Variation de la température du disque ventilé en fonction du temps(FG 25 AL)

Fig.IV.37 : Répartition de la température pour un disque ventilé d’un matériau (FG 25 AL)

Fig. IV.38: Variation de la température du disque ventilé en fonction du temps (FG 20)

Fig. IV.39: Répartition de la température pour un disque ventilé d’un matériau (FG 20)

Fig. IV.40 : Variation de la température du disque ventilé en fonction du temps (FG 15)

Fig. IV.41 : Répartition de la température pour un disque ventilé d’un matériau (FG 15)

Les figures IV.36, 38, 40 donnent la variation de la température en fonction du temps pendant la simulation du freinage. Les valeurs les plus élevées de température sont sur la surface de contact entre le disque de frein et les plaquettes. Cette forte croissance est due à la rapidité du phénomène physique pendant le freinage à savoir frottement, microdéformation des surfaces de contact…etc. On note l’influence de la rotation du disque sur l’évolution de la température qui correspond à l’alternance échauffement/refroidissement au cours d’une rotation. Cette alternance échauffement/refroidissement est due au flux entrant décroissant. Il arrive un instant où le refroidissement prend le dessus et conduit à la diminution du niveau de température.

Pour le matériau FG 25 AL , la température atteint une valeur maximale de T= 380, 7 °C à l’instant t=1,6067 s, pour le matériau FG 20 Tmax= 351,56 °C à t= 1,8052 s, et pour FG 15 Tmax= 345,44 °C à t= 1,8506 s, puis elle décroît rapidement jusqu’à l’instant t= 4,8315 s pour FG 25 AL , pour FG 20 à t=4,9015 s et pour FG 15 à t= 4,8878 s , après lequel , l’écart de température dans le disque devient moins important jusqu’à l’instant t=10,446 s pour FG 25 AL , pour FG 20 à t=10,284 s et pour FG 15 à t=10 ,195 s. L’intervalle de temps [ 0-3,5] correspond à la phase de convection forcée. A partir de ce temps, on se trouve dans le champ de la convection naturelle jusqu’à la fin de la simulation.

IV.6.6 Comparaison et interprétation

IV.6.6.1 Comparaison entre les trois types de fonte

La figure IV.42 montre la comparaison de la variation de la température en fonction de l’épaisseur à l’instant où elle atteint sa valeur maximale. Pour les trois types de fonte, on remarque que l’allure des courbes est presque la même. On constate que plus on augmente l’épaisseur, plus la température diminue vers le plan médian du disque. Ceci est dû au stockage d’énergie au début de freinage qui augmente avec l’épaisseur. Suivant l’épaisseur du disque, on a une symétrie de couleurs sur les deux parties. Sur les côtés latéraux, on a une seule couleur rouge qui correspond au phénomène de la conduction ; par contre les dégradations des couleurs correspondent au phénomène de convection. La partie éloignée de la surface de contact en couleur bleu est complètement refroidi.

Plus la conductivité thermique du matériau est faible, plus la température est élevée. La fonte FG 15 a une température plus petite que les deux autres fontes FG 20 et FG AL 25.

Fig. IV.42: Variation de la température en fonction de l’épaisseur pour les trois type de fontes (FG 25 AL, FG 20 et FG 15).

Fig. IV.43 : Variation de la température en fonction de rayon pour les trois type de fontes (FG 25 AL, FG 20 et FG 15).

Sur la figure IV.43, qui représente le profil des températures en fonction du rayon pour les trois matériaux (FG 25 AL, FG 20, FG 15), on observe que l’allure est la même, la température maximale se trouve au rayon moyen ce qui correspondant aux résultats expérimentaux.

D’après les résultats des figures précédentes, on constate que le FG 15 possède un meilleur comportement thermique dans la conception des disques de frein.

IV.6.6.2 Comparaison entre disque plein et ventilé

Dans cette partie, on présente les cartographies de flux de chaleur total et directionnel ainsi que la distribution de la température dans un disque ventilé et plein en fonte FG 15 pour chaque instant de freinage. La distribution de la température du disque au début freinage (à t=0,25 s) est inhomogène.

Selon les essais expérimentaux effectués par [43], le freinage débute souvent par la formation de cercles chauds en surfaces du disque relativement uniformes dans la direction circonférentielle, se déplaçant radialement sur le disque et se transformant ensuite en points chauds ((hot spot)). L’apparition du phénomène des points chauds est due à la dissipation non uniforme de flux de chaleur.

Concernant le flux de chaleur, on constate d’après les figures IV.45 et IV.48 que la valeur maximale du flux de chaleur total se localise au niveau de la gorge calorifique à la fin du freinage (t=3,5 s) ; ceci s’explique par l’augmentation des gradients et les concentrations thermiques dans cette zone. La gorge calorifique est usinée de manière à limiter le flux de chaleur provenant des pistes de frottement et se dirigeant vers le bol du disque de frein afin d’éviter l’échauffement excessif de la jante et du pneumatique. Lors du l’échauffement, le disque se tend à se dilater dans les zones chaudes d’où naissance de contraintes de compression avec plastification. Par contre, lors du refroidissement, il y a apparition de contraintes résiduelles de traction. Le disque est donc soumis au cours de sa rotation à des contraintes traction /compression.

a. Disque plein

Fig. IV.44: Répartition de la température pour un disque plein d’un matériau FG 15

Fig. IV.45: Répartition de flux de chaleur total pour un disque plein d’un matériau FG 15

Fig. IV.46: Répartition de flux de chaleur directionnel à l’instant t= 1,8839 [s] selon les trois axes (X, Y, Z) pour un disque plein d’un matériau FG 15

b. Disque ventilé

Fig. IV.47: Répartition de la température pour un disque ventilé d’un matériau FG 15

Fig. IV.48: Répartition de flux de chaleur total pour un disque ventilé d’un matériau FG 15

Fig. IV.48: Répartition de flux de chaleur total pour un disque ventilé d’un matériau FG 15

Fig. IV.49: Répartition de flux de chaleur directionnel à l’instant t= 1,8506 [s] suivant les trois axes (X, Y, Z) pour un disque ventilé d’un matériau FG 15.

 

Fig. IV.50 : Variation de la température en fonction de l’épaisseur pourles deux conceptions avec le même matériau (FG15).


Fig. IV.51 : Variation de la température en fonction de rayon pour les deux conceptions avec le même matériau (FG15).

Les figures IV.50 et 51 représentent respectivement la variation de la température en fonction de l’épaisseur et du rayon. Au milieu du disque, la température est minimale ; au niveau du rayon moyen, elle est par contre maximale.

L’écart de température dans les deux conceptions (disque plein et disque ventilé) est important (ΔT = 60 °C). L’influence de la ventilation sur la répartition de la température apparaît clairement en fin freinage (à l’instant t=3,5).

IV.6.7 Influence du mode de freinage

Le disque de frein et la roue sont dimensionnés en fonction des performances et des impératifs économiques du véhicule. Ils doivent supporter des sollicitations mécaniques et thermiques de plus en plus grandes à des vitesses moyennes de marche en progression permanente.

Parmi les paramètres ayant une influence sur le comportement thermique des disques de frein, on a le mode de freinage qui dépend du conducteur et des conditions de circulation. Certains modes de freinage peuvent entrainer la destruction du disque et par conséquent causer des accidents graves de circulation. Un mode de freinage est représenté sous forme de cycles de freinage, lesquels décrivent la variation de la vitesse du véhicule en fonction du temps (v= f(t)). Ces cycles peuvent être constitués d’une série de freinages d’urgence ou de cycles comportant des phases de freinage suivies d’un temps d’arrêt.

IV.6.7.1 Freinage répété

Lors de l’exploitation des véhicules automobiles, le système de freinage est soumis à des actions répétées du conducteur. On a envisagé deux types de freinage dont la durée totale de simulation est égale à 135 [s]. La figure IV.52 montre un cycle de freinage de quatorze freinages successifs, sous forme de dents de scie.

Fig. IV.52 : Cycle avec quatorze freinages successifs (mode 1)

La figure IV.53 montre un autre mode de freinage où après chaque phase de freinage on dispose d’un temps d’arrêt ou de ralenti.

Fig. IV.53 : Cycle de freinage avec phase de ralenti après chaque freinage (mode 2)

Les figures IV.54 et 55 montrent la distribution tridimensionnelle de la température maximale atteinte dans le disque pour les deux modes de freinage, On observe une augmentation normale de température dans les pistes de frottement et la couronne extérieure. Les ailettes s’échauffent très violement et tendent à se dilater et se déformer jusqu’à la solidification complète du disque. Cette déformation provoquera la mise en parapluie du disque.

La figure IV.56 montre l’évolution de la température du disque pour un freinage cyclique respectivement selon le premier mode et le deuxième mode. Pour les deux modes de freinage, on constate que les températures dans le disque s’élèvent fortement après chaque freinage, puis elles commencent à décroitre d’une manière exponentielle. Plus le nombre de répétitions de freinage augmente, plus les températures maximales augmentent. L’état initial du disque change après chaque cycle, les temps d’arrêt ne permettent qu’un refroidissement partiel. Après chaque phase de refroidissement, le disque commence de nouveau à s’échauffer. Lors des freinages successifs la capacité de refroidissement du disque est insuffisante pour abaisser la température de surface à une valeur proche de la température initiale ; ceci entraîne un cumul d’énergie et donc une température de surface plus élevée. Ces résultats montrent que le comportement thermique transitoire d’un disque de frein dépend du cycle de freinage imposé, lequel est prépondérant car il dicte la durée de refroidissement du disque. Selon la figure IV.56, on remarque que dans le cas du cycle de freinage du mode 2, une réduction de la température d’environ 535°C, soit 45,19% par rapport au premier cycle. On conclût que le mode de freinage avec une phase de refroidissement influe très positivement sur les échanges de la chaleur dans le disque. Il en résulte une diminution de la température maximale d’interface. Cette chute de température permet d’éviter le phénomène de fissuration et de l’usure mécanique. Par ailleurs, cette tendance permettra d’assurer une sécurité et une durée de vie plus grande de l’organe de freinage. Enfin, il serait intéressant de réaliser ces modes de freinage sur un banc d’essais de frein pour pouvoir valider les résultats de cette simulation numérique.

Fig. IV.54 : Carte thermique du disque en mode de freinage 1 à l’instant t=131,72 [s]

Fig. IV.55 : Carte thermique du disque en mode de freinage 2 à l’instant t=130,45 [s]

Fig.IV.56 : Evolution de la température des deux modes de freinage en fonction du temps

IV.7 RESULTATS DE CALCUL MECANIQUE ET DISCUSSIONS

Le code de calcul ANSYS permet également la détermination et la visualisation des déformations de la structure dues au contact glissant entre le disque et les plaquettes. Les résultats des calculs de contact décrits dans cette partie concernent les déplacements ou bien la déformée totale au cours de la séquence de chargement, le champ des contraintes équivalentes de Von Mises sur le disque, les pressions de contact de la plaquette intérieure et extérieure à différents instants de la simulation. On procède ensuite l’influence de quelques paramètres sur les résultats de calcul.

IV.7.1 Maillage du modèle

Le modèle d’éléments finis du rotor est réalisé avec un maillage de 20351 éléments pour un total de 39208 nœuds. Le maillage du disque et plaquette issu du logiciel ANSYS est présenté sur la figure IV.57.

Fig. IV.57 : Maillage volumique du disque et plaquettes (Nœuds 39208, Eléments 20351)

IV.7.2 La déformée totale

La figure IV.58 montre différentes configurations des déplacements de l’ordre du modèle en fonction du temps, tout en gardant la forme symétrique par rapport au plan médian vertical. La déformée totale est atteinte à la fin du freinage et elle varie entre 0 µm à 52,829 µm. Sur le modèle de la plaquette intérieure non-déformée on a une dégradation des couleurs allant du jaune et vert vers la rouge où la valeur critique se situe sur le bord radial supérieure de la plaquette déformée, représentée sur la figure IV.59 par la couleur rouge. Ceci est du au module d’élasticité de plaquette qui est inférieur à celui du disque. Pour le disque, on constate que les déplacements se localisent uniquement sur les pistes de frottement et sa couronne extérieure ; ils atteignent une valeur maximale égale à 19,108 µm à l’instant t= 45 [s] soit 36 % de la déformée totale de la plaquette intérieure, Fig. IV.60. Sur la figure IV.61 on remarque que la plaquette extérieure a le même comportement que la plaquette intérieure au niveau de la zone de contact, mais sa déformée totale chute de 67,43 %, soit l’équivalent de 35,62 µm.

Fig.IV.58 : Variation de la déformée totale du modèle ( échelle réelle)

Fig.IV.59 : La déformée totale de la plaquette intérieure à la fin de freinage t=45 [s]

Fig.IV.60 : La déformée totale du disque à la fin de freinage t=45 [s]

Fig.IV.61 : La déformée totale de la plaquette extérieure à la fin de freinage t=45 [s]

Fig.IV.62: Variation de la déformée totale en fonction du temps

Sur la figure IV.62 on a la variation de la déformée totale en fonction du temps respectivement du disque, des plaquettes intérieures et extérieures. On constate que la partie la plus sollicitée en chargement donne des déplacements plus importants que les autres régions . La plaquette intérieure soumise à la pression hydraulique a une déformation plus grande que le disque . Ce comportement est valable également pour le disque et la plaquette extérieure.

IV.7.3 Contraintes équivalentes de Von Mises

La figure IV.65 présente la répartition de la contrainte équivalente de Von Mises en fonction du temps de simulation. Les valeurs de la contrainte équivalente de Von Mises varient de 0 MPa à 31.441 MPa. La valeur maximale enregistrée lors de cette simulation se situe au niveau du bol (du côté interne ou externe du disque). Les concentrations de contraintes les plus importantes naissent dans la zone du bol du disque au début de freinage à l’instant t= 0,25 [s] et elles se propagent vers la piste de frottement intérieure avec des niveaux faibles au cours du freinage .Ce comportement est dû à l’application de pression de contact qui en présente de la rotation du disque produisent des efforts de torsion et de cisaillements .Notons que, le disque comporte des perçages de fixation constituant des zones de concentration de contraintes lesquelles peuvent provoquer une rupture du bol, Fig.IV.64.

Fig.IV.63 : Concentration des contraintes de Von Mises dans les trous de fixation

Fig.IV.64 : Détail de concentration des Contraintes

Fig.IV.65 : Distribution des contraintes de Von Mises dans le modèle disque-plaquette

Fig. IV.66 : Évolution des contraintes de Von Mises selon le temps de simulation

La figure IV.66 représente les contraintes de Von Mises en fonction du temps. Les contraintes pour les trois éléments du couple disque-plaquettes croît avec le temps et se stabilisent à partir de t= 3.5s. Ce résultat est d’autant plus satisfaisant, lorsqu’on le compare à ceux trouvés dans la littérature.

IV.7.4 Champ de contraintes sur les plaquettes de frein

IV.7.4.1 Plaquette intérieure

IV.7.4.1.1 Répartition du champ des contraintes équivalentes de Von Mises

Dans la figure IV.67, on constate que la contrainte équivalente de Von Mises atteint à l’instant t= 45 [s] une valeur maximale à l’extrémité gauche du contact (à la sortie du contact) .Elle varie de 0,3682 MPa à 5,2839 MPa ; la plus faible valeur se situe sur le bord intérieur de la plaquette intérieure. La distribution du champ des contraintes reste symétrique par rapport à la rainure indépendamment du temps de simulation.

Fig.IV.67 : Distribution des contraintes de Von Mises dans la plaquette intérieure

La figure IV.68 montre l’évolution des contraintes de Von Mises de la plaquette intérieure suivant la position angulaire à l’instant t=45 [s]. Les trois courbes comportent des points extrémaux, car le contact frottant génère localement des instabilités de type adhérence-glissement-décollement résultant des vibrations du disque. Ces zones d’instabilités se déplacent de la sortie vers l’entrée de contact. On observe aussi qu’il ya presque une symétrie par rapport à l’angle ( θ=30°) qui correspond à la position de la rainure de la plaquette. On note que la contrainte est maximale au niveau de la sortie du contact ce qui est conforme à la réalité.

Fig. IV.68 : Variation des contraintes Von Mises en fonction de l’angle circulaire dans la plaquette intérieure

IV.7.4.1.2 Répartition du champ de pression de contact

La figure IV.69 donne la répartition de la pression de contact de la plaquette intérieure pour différents temps de simulation. La pression de contact augmente progressivement et atteint sa valeur maximale pmax = 1,7927 MPa à la fin du freinage. La répartition de la pression n’est pas homogène au sein de chaque partie de la plaquette, elle a symétrique par rapport à la rainure. Cette élévation de la pression sur la surface de contact provoque une élévation de la température du disque et également l’usure des plaquettes. A l’entrée de contact, la répartition de la pression de contact tend vers des valeurs maximales au niveau du bord inférieur de la plaquette, alors qu’à la sortie de contact à des pressions basses. Cette augmentation est due à la diminution de l’aire de contact. Ce phénomène perdure tant que la vitesse de rotation du disque et la force appliquée resteront constantes.

Fig. IV.69 : Distribution des pressions de contact dans la plaquette intérieure

La figure IV.70 représente l’évolution des pressions de contact en fonction de l’angle de rotation respectivement au bord inférieur, au bord extérieur et au milieu de la plaquette. La valeur maximale de la pression de contact se situe au niveau du bord inférieur à l’entrée en contact. Au-delà de la rainure vers la sortie de contact (la partie droite de la plaquette), les trois zones ont le même comportement mécanique (mêmes pressions). Ceci est dû au serrage des plaquettes et à la présence des forces centrifuges qui agissent sur le disque lors de la rotation.

Fig. IV.70 : Variation des pressions de contact en fonction de l’angle circulaire dans la plaquette intérieure

Les figures IV.71 et IV.72 représentent respectivement la répartition des contraintes de frottement et la répartition de la distance de glissement en fin de simulation. On remarque une symétrie de distribution par rapport à la rainure ; les valeurs maximales se localisent toujours dans le bord supérieur de la plaquette.

Fig.IV.71: Répartition de la contrainte de frottement

.

Fig.IV.72: Répartition de la distance de glissement

IV.7.4.2 Plaquette extérieure

IV.7.4.2.1 Répartition du champ des contraintes équivalentes de Von Mises

La figure IV.73 montre la répartition des pressions de contact dans les plaquettes (face extérieure) pour différents instants de simulation. On remarque une distribution régulière des contraintes et symétrique par rapport la rainure le long du temps de freinage. La valeur maximale de la contrainte égale à 1,77 MPa est atteinte à l’instant t=45[s] ; elle est plus petite que celle obtenue dans la plaquette intérieure. La plaquette extérieure a tendance à engendrer des pressions locales élevées sur le bord supérieur dans la zone proche de la rainure.

Fig.IV.73 : Distribution des contraintes de Von Mises dans la plaquette extérieure

IV.7.4.2.2 Répartition du champ de pression de contact

La figure IV.74 donne la répartition de pression de contact obtenue pour différentes instants de simulation dans le cas d’une plaquette extérieure. On constate que la pression de contact maximale est atteinte sur le milieu de la plaquette (1,33 MPa) et elle est bien inférieure à celle obtenue pour la plaquette inférieure.

Fig.IV.74: Distribution des pressions de contact dans la plaquette extérieure

Les courbes de la figure IV.75 qui donnent les pressions de contact en fonction de l’angle circulaire confirment les résultats précédents de la plaquette intérieure.

Fig. IV.75 : Variation des pressions de contact en fonction de l’angle circulaire dans la plaquette extérieure

Les figures IV.76, IV.77 donnent respectivement le champ de contraintes de frottement et la distance de glissement observées à la fin du freinage. Les deux plaquettes ont les mêmes valeurs maximales atteintes à l’instant t= 45 [s], la répartition des contraintes de frottement et de la distance de glissement sont différentes.

Fig.IV.76: Répartition de contrainte de frottement

Fig.IV.77: Répartition de la distance de glissement

IV.7.5 Contraintes de traction/compression et contraintes de cisaillement dans le disque

Les contraintes de traction/compression et les contraintes de cisaillement dans le disque sont présentées dans la figure IV.78. Lors de la rotation du disque, on remarque une concentration de contraintes au niveau des perçages de fixation et dans la zone de raccordement des pistes au bol. Les contraintes se propagent ensuite sur les pistes de frottement en fonction du temps. La valeur maximale des contraintes de compression est de l’ordre de 22,574 MPa et celle des contraintes de traction de 22,713 MPa. Les contraintes de cisaillement varient de 0,336 MPa à 5,71 MPa. Ce chargement a une influence sur les déformations globales du disque qui pourrait prendre la forme d’un cône.

Fig.IV.78: Contraintes normales et contraintes de cisaillement à t=45 [s]

IV.7.6 Cas d’un disque sans rotation

En supposant le cas d’un disque au repos, on remarque selon la figure IV.79 que la concentration de contraintes de Von Mises se localise uniquement au niveau du bol, mais elle ne se propage pas sur les pistes de frottement contrairement au cas du disque avec rotation. La déformée totale varie selon la figure IV.80 de 0 µm à 49,58 µm ; on a une différence de 3,24 µm par rapport à celle d’un disque mobile. Les déplacements sont situés généralement sur la couronne extérieure du disque et atteignent la valeur maximale de 17,68 µm au niveau de périphérie de la couronne.

Fig.IV.79: Contraintes de Von Mises

Fig.IV.80: Déformée totale

Les déplacements des nœuds situés sur le rayon extérieur moyen et sur la couronne extérieure du disque avec et sans rotation sont présentés dans la figure IV.81. On constate que les deux courbes suivent la même allure. La valeur maximale de déplacement est atteinte à l’angle θ = 90° qui correspond à la position de serrage du disque par les plaquettes. Le comportement des déplacements avec ou sans rotation est tout à fait conforme aux observations faites habituellement avec les disques de frein.

Fig.IV.81: Déplacements sur le rayon extérieur moyen et sur la couronne extérieure du disque en fonction de l’angle.

Fig.IV.82: Variation de l’effort de réaction sur le disque en fonction du temps

Sur la figure IV.82 sont représentés les efforts de réaction sur les deux parties qui se trouvent en vis-à-vis de la plaquette intérieure et extérieure respectivement pour le cas du disque avec et sans rotation. L’introduction de la rotation du disque engendre une augmentation de l’effort de frottement quelque que soit la piste de contact. Pour la piste extérieure, on constate que dans le cas du disque en rotation la force de réaction augmente de 2,1 KN à 5,1 KN et pour la piste intérieure de 2.1N à 5.9N. Les écarts des efforts de réaction (avec et sans rotation) sont très visibles ; ils atteignent une valeur maximale de l’ordre de 4 N. La figure IV.83 donne la répartition de l’effort de contact en trois dimensions pour les deux cas (avec et sans rotation).

Fig.IV.83: Forces de réaction sur la piste intérieure du disque

Fig.IV.84: Contraintes normales et contraintes de cisaillement à t=45[s]

Les contraintes de traction/compression et de cisaillement apparaissent aussi dans le modèle sans rotation. On obtient des contraintes de compression de 22,99 MPa (Fig. IV.84 –c). Les contraintes de cisaillement varient de 3,75 MPa à 16,357 MPa. La prise en compte de la rotation du disque est donc essentielle puisqu’elle a plusieurs effets :

- Les contraintes maximales sur les pistes du disques augmente de manière notable, mais elles concernent une zone dissymétrique.
- Les contraintes de cisaillement apparaissent au niveau du bol.

Le tableau IV.6 résume les résultats de la simulation, lorsqu’on élimine la rotation du disque. En comparaison avec les résultats obtenus pour le cas du disque en rotation,on constate une augmentation des contraintes et une diminution des déplacements , des pressions et des contraintes de frottement .

Tableau. IV.6 : Résultats de la simulation numérique

Les figures IV.85 et 86 montrent respectivement la déformée totale et les contraintes équivalentes de Von Mises pour les deux cas (avec et sans rotation) en fonction du temps de la simulation .On constate que l’allure des courbes est la même, mais les écarts augmentent avec le temps. La déformée du disque en rotation est plus grande que celle sans rotation et inversement pour le cas des contraintes de von mises.

Fig.IV.85: Effet de rotation du disque sur les déplacements

Fig.IV.86: Effet de rotation du disque sur le champ des contraintes

IV.7.7 Cas d’un étrier à double piston

Pour une étude comparative, on a choisi le cas d’un étrier fixe (disque à double pression) décrit précédemment dans l’étude bibliographique, mais tout en maintenant les mêmes conditions aux limites du cas d’un étrier à simple piston.

La figure IV.87 présente les niveaux de contraintes équivalentes de Von Mises dans une section dans un disque à la fin du freinage t=45 [s]. Contrairement au cas du disque avec étrier à simple piston, on remarque que les contraintes se propagent sur la totalité du disque et sur les pistes de frottement selon la dégradation en couleurs et que l’échelle des contraintes équivalentes de Von Mises varie de 0,048 MPa à 8,28 MPa. On obtient une chute de contraintes d’environ 73,66% par rapport au dispositif de freinage avec étrier à simple piston. La valeur la plus grande se situe au niveau de la partie extérieure des ailettes du disque où les plaquettes exercent le serrage, Fig.IV.88. Ces concentrations peuvent entrainer des endommagements, car elles s’additionnent aux contraintes thermiques. Ce phénomène dépend de la géométrie intérieure du disque, des conditions aux limites appliquées et du type de l’étrier.

Les résultats de la déformée totale du modèle sont illustrés par la figure IV.89. La distribution de la déformée totale se distingue par la forme symétrique indépendamment du temps de simulation ; elle atteint une valeur maximale égale à 38,09 µm qui se situe les bords des deux plaquettes (intérieure et extérieure). On a une diminution de 28 % de la déformée par rapport à celle trouvée précédemment. Les déplacements ont une distribution symétrique par rapport au plan médian vertical aux plaquettes, Fig.89-b.

En conclusion, la meilleure répartition des contraintes équivalentes de Von Mises a lieu pour un chargement appliqué aux plaquettes à double pression.

Fig.IV.87: Contraintes de Von Mises

Fig.IV.88 : Détail de concentration des contraintes

Fig.IV.89: Déformées totales

IV.7.8 Résultats des modèles maillés

Un test de convergence est prévu pour évaluer l’influence du maillage sur la précision de la simulation numérique. On a essayé quatre cas de maillage (grossier, fin, hexaédrique et quadrilatère) dont les caractéristiques sont présentés dans le tableau IV.7.

Tableau. IV.7: Résultats des différents cas de maillage

Les figures IV.90, 91, 92 et 93 montrent les modèles de maillage du couple disque-plaquettes.

Fig.IV.90 : Maillage volumique du disque (Nœuds 39208, Eléments 20351)

Fig.IV.91 : Maillage à éléments quadrilatères (Nœuds 90680, Eléments 31879)

Fig.IV.92 : Maillage à éléments hexaédriques (Nœuds 103098, Eléments 36901)

Fig.IV.93: Maillage fin (Nœuds160918, Eléments 88625)

D’après le tableau IV.8, on remarque que les contraintes maximales équivalentes de Von Mises augmentent en fonction du nombre d’éléments du maillage. La valeur maximale de la contrainte équivalente de Von Mises ainsi que la déformée totale atteintes correspondent au maximum d’éléments du maillage sont pratiquement celles qu’on rencontre dans la littérature. Il est donc judicieux de choisir un maillage raffiné, car la solution devient plus exacte en augmentant le nombre de nœuds du maillage.

Tableau. IV.8 : Contraintes de Von Mises et déformées totales

IV.7.8.1 Influence de la finesse du maillage

Pour cela, on a considéré un second type de maillage, plus fin et raffiné dans les pistes de frottement, figure IV.94. L’élément utilisé dans ce maillage est SOLID 187 et le temps total de simulation est égal à 8 331.328 (s). Ce nouveau maillage (type M2) est constitué de 11 3367 éléments TE à 4 nœuds, soit 18 5901 nœuds. Il est donc bien plus fin que le maillage M1 (Fig. IV.93) utilisé jusque-là.

Fig.IV.94 : Maillage plus raffiné(Nœuds 185901, Eléments 113367)

Le tableau IV.9 présente les résultats numériques pour les deux types de maillage (grossier et fin). On observe que toutes les valeurs extrêmes de résultats augmentent en fonction du nombre des nœuds et du nombre d’éléments du maillage .On constate ainsi que l’effet de raffinement du maillage influence d’une manière importante sur la précision de la simulation numérique adoptée.

Tableau. IV.9 : Comparaison entre les résultats du maillage fin et maillage raffiné

IV.7.9 Influence du matériau des plaquettes

On étudie ici la sensibilité des résultats par rapport à deux paramètres, le module de Young des garnitures et le coefficient de frottement entre le disque et les plaquettes. Ce dernier paramètre varie fortement avec la pression, la vitesse de glissement, la température ce qui rend difficile de lui attribuer une valeur exacte. L’étude de sensibilité permettra d’évaluer la pertinence des calculs qui ne prennent pas en compte la variation du coefficient de frottement.

IV.7.9.1 Influence du module de Young des plaquettes

L’étude bibliographique montre que le module de Young du matériau des plaquettes actuelles varie généralement entre 0, 5 GPa et 1, 5 GPa. Dans cette partie, on a choisi deux matériaux dont les propriétés mécaniques et tribologiques sont données dans le tableau IV.10.

Tableau. IV.10 : Propriétés mécaniques des plaquettes de frein

Les figures IV.95 montrent l’état de contact, la pression de contact, les contraintes de frottement et la distance de glissement de la plaquette intérieure.

Fig.IV.95: Comportement de la plaquette intérieure

Les résultats de cette simulation sont récapitulés dans le tableau IV.11.

Tableau. IV.11 : Influence du matériau de plaquettes de frein (valeurs extrêmes)

Du tableau IV.11, on remarque que l’augmentation du module de Young des plaquettes de frein entraine une diminution de la déformée totale, des contraintes (Von Mises, normale et cisaillement), et de la distance de glissement, mais un accroissement des contraintes de frottement et des pressions de contact. La figure IV.96 montre la variation des contraintes en fonction du module de Young. On constate que les contraintes de Von Mises, les contraintes normales et les contraintes de cisaillement varient d’une manière linéaire décroissante avec le module de Young.

Fig. IV.96: Résultats des contraintes en fonction du module de Young

D’après le tableau IV.13, on peut conclure que :

• Dans le cas statique, plus les plaquettes sont souples et plus les déplacements sont élevés ;
• En présence de rotation, les déplacements du disque ne varient que légèrement (de 19,10 à 13,95 );
• Les contraintes normales, les contraintes de cisaillement et les contraintes Von Mises diminuent avec le module de Young.
• La pression de contact et les contraintes de frottement augmentent par contre avec le module de Young des plaquettes,

IV.7.9.2 Influence du coefficient de frottement

Nous allons maintenant, nous intéresser à l’étude de sensibilité des résultats par rapport au coefficient de frottement ; pour cette raison ; on faisant varier ce paramètre de 0,2 jusqu’à 0,4 au niveau de la zone de contact disque-plaquette à chaque simulation. La figure IV.97 montre différentes configurations de la déformée totale du modèle en phase finale du freinage. Nous pouvons clairement identifier l’effet du frottement dans cette nouvelle simulation.

En l’absence de rotation, les résultats varient très peu avec le coefficient de frottement. En revanche, avec la rotation du disque, les déplacements, la surface réelle de contact mais surtout les efforts tangentiels subissent une forte variation.

Fig.IV.97: Déformée totale à la fin de freinage

La figure IV.98 donne la répartition du champ des contraintes de Von mises à l’instant t=3,5 [s] pour deux valeurs du coefficient de friction. On constate que le coefficient de frottement n’exerce aucune influence sur la contrainte.

Fig.IV.98: Contraintes de Von Mises à l’instant t=3,5 [s]

Fig.IV.99: Champs de pression de contact d’interface à l’instant t = 2 [s]

La figure IV.99 montre que l’augmentation de coefficient de frottement s’accompagne par une diminution des pressions de contact des plaquettes.

Dans les figures IV.100 et 101, on a présenté respectivement l’évolution de la contrainte et la distance de glissement en fonction du temps pour différentes valeurs du coefficient de frottement. On note une augmentation de la contrainte de frottement avec l’accroissement du coefficient de frottement. La distance de glissement est par contre inversement proportionnelle au coefficient de frottement.

Fig. IV.100:Evolution de contrainte de frottement pour différentes valeurs de .

Fig. IV.101: Evolution de distance de glissement pour différentes valeurs de µ

IV.7.9.3 Influence de la vitesse de rotation du disque

La figure IV.102 représente le champ de pressions de contact à l’instant t=45 [s] où les pressions maximales sont atteintes pour ce type de freinage en fin de freinage. On constate que la répartition de la pression est quasiment identique dans les trois cas et elle augmente avec l’accroissement de la vitesse angulaire du disque [44], la localisation de cette dernière se situe sur le bord inférieur de la plaquette. On observe que cette augmentation peut créer l’usure des plaquettes où elles peuvent laisser des dépôts sur le disque, donnant lieu à ce qu’on appelle « le troisième corps ». On note que la pression maximale de contact dans la plaquette est produite à l’entrée et descend vers la sortie de la région de frottement.

Fig. IV.102: Distributions de pression de contact d’interface.

La figure IV.103 représente la distribution du champ de contraintes de frottement à l’instant t=45[s], on note qu’à mesure que la distribution de ce champ est symétrique par rapport à la rainure et sa valeur augmente légèrement quand la vitesse de rotation du disque augmente.

Fig. IV.103: Distributions de contrainte de frottement d’interface

La figure IV.104 donne la répartition du champ des contraintes équivalentes de Von Mises à la fin de freinage lorsqu’on varie la vitesse angulaire du disque. On observe que la densité de distribution des contraintes augmente au niveau des plaquettes intérieures avec l’accroissement de la vitesse du disque.

Fig. IV.104: Champs de contrainte Von Mises de frottement d’interface

L’évolution des contraintes de Von Mises de surface du disque pour différentes valeurs de vitesse de rotation est présentée par la figure IV.105. On note que la contrainte du disque reste quasi-identique et elle est inversement proportionnelle à la vitesse de rotation.

Fig. IV.105: Influence de la vitesse de rotation sur la distribution du champ de contrainte de Von Mises

IV.7.9.4 Cas d’un disque en acier inoxydable

Pour un but comparatif, on a choisi un autre matériau du disque en acier inoxydable tout en gardant le même matériau de la plaquette. Les caractéristiques mécaniques de deux pièces en contact sont résumées dans le tableau IV.12.

Tableau .IV.12 : Tableau des caractéristiques mécaniques des deux pièces.

IV.7.9.4.1 Comparaison entre le champ des déplacements

D’après la figure IV.106, on constate que les résultats des déplacements du modèle en Acier inoxydable coïncident exactement avec celui du Fonte Grise. On observe que la valeur maximale atteinte est diminue légèrement de 52,829 µm à 51 ,407 µm (un écart de déplacement négligeable).

Fig.IV.106: Déformée totale à la fin de simulation

IV.7.9.4.2 Comparaison entre le champ des contraintes

D’après la figure IV.107, on constate la répartition des contraintes sont très différentes avec des singularités au niveau du corps du disque et des pistes de frottement et du bol. Dans un disque en acier inoxydable, les contraintes varient de 0 MPa à 43,048 MPa, alors que dans le disque en fonte grise de 0 MPa à 31,441 MPa. L’écart est assez important soit de l’ordre de 12 MPa. La plus grande valeur de contrainte maximale équivalente apparaît dans le disque en acier inoxydable (Fig.IV.107-a), tandis que la plus faible est celle du disque en fonte grise (Fig.IV.107-b). C’est pour cette raison que la fonte grise est la plus couramment utilisée dans l’industrie automobile et qui assure d’ailleurs un bon comportement thermique et mécanique (une bonne résistance mécanique et une faible usure).

Fig.IV.107: Contraintes Von Mises à la fin de simulation

D’après les résultats obtenus de la simulation, on constate que l’acier inoxydable (module de Young supérieur à celui de la fonte grise) influe sur les valeurs de la déformée totales (inversement proportionnelle) et également sur les contraintes maximales équivalentes de Von Mises, figures IV.108 et IV.109.

Fig.IV.108: Variation de la déformée totale en fonction du temps pour les deux disques.

Fig.IV.109: Variation de la contrainte de Von Mises en fonction du temps pour les deux disques.

IV.7.9.5 Etude de l’influence de la rainure

Les plaquettes de frein automobile comportent généralement des rainures médianes. Outre leur rôle d’évacuation des poussières et de l’eau, ces rainures peuvent avoir une influence sur le comportement mécanique du système de freinage. Pour cela on a procédé à une comparaison des contraintes de Von Mises et de la déformée totale d’une plaquette avec et sans rainure, Fig.IV.110 et 111.

Fig. IV.110:Plaquette sans rainure

Fig.IV.111: Plaquette avec rainure

D’après les figures IV.112 et IV.113, on constate que la présence de la rainure influe positivement sur les déplacements de la plaquette et sur les contraintes équivalentes de Von Mises. Les variations ne sont néanmoins assez faibles.

Fig. IV.112: Influence de la rainure sur la variation du champ de contrainte de Von Mises

Fig. IV.113: Influence de la rainure sur la variation de la déformée totale

IV.8 RESULTATS DU CALCUL THERMOELASTIQUE

L’objectif de l’analyse thermoélastique à l’aide du code de calcul ANSYS Multiphysics est de déterminer les niveaux des contraintes et des déformations globales du modèle étudié (disque-plaquette) durant la phase de freinage sous l’effet de la température.

Le problème physique rencontré ici est un couplage de transfert de chaleur (problème thermique) et d’évolution mécanique. Le couplage thermoélastique peut être formulé par un système d’équations aux dérivées partielles et d’équations ordinaires dans un domaine en fonction du temps, en respectant les conditions aux limites.

Sur la figure IV.114 qui représente la distribution issue de code de calcul en 3 D de la température du modèle disque-plaquette, on a choisi l’instant qui correspond à la température maximale Tmax= 346,31 °C à t= 1,7271 [s]. On constate la montée rapide de la température du disque sur les deux pistes de frottement qui amène une augmentation de stockage de chaleur au niveau du zone de contact, on observe que la partie supérieure de la plaquette est totalement refroidie par l’effet de convection à l’air ambiant.

Fig. IV.114: Distribution de la température du disque et plaquettes à l’instant t=1,7271 [s].

IV.8.1 Déformée totale et contraintes de Von Mises du modèle

Dans cette .partie, on présente une deuxième modélisation mécanique du contact qui tient compte de la température. Le but est de mieux comprendre les déformations totales du disque lorsque celui-ci est soumis à la pression des plaquettes mais aussi aux dilatations induites par les élévations de température.

La figure IV.115 montre les déplacements des nœuds situés sur le rayon moyen et la couronne extérieure du disque. On a une nette différence entre les déformées pour la couronne extérieure et le rayon moyen du disque. Les courbes ont une allure identique (même comportement). Sous l’effet du serrage du disque, il apparait un phénomène de mise en parapluie qui résulte de l’échauffement des pistes de frottement non-parallèles par rapport à la position initiale.

Fig. IV.115: Déplacements du rayon moyen et la couronne extérieure du disque en fonction de la position angulaire à l’instant t=3,5 [s]

La variation de déformée totale maximale de la piste de frottement croit linéairement en fonction du rayon du disque comme le montre visiblement la figure IV.116

Fig.IV.116: Variation des déplacements de piste en fonction du rayon pour différentes positions angulaires à l’instant t=3,5 [s]

Les figures IV.117 et 118 montrent clairement l’écart important entre le modèle mécanique et thermoélastique. La température a une forte influence sur la réponse thermomécanique du modèle.

Fig. IV.117: Comparaison pour les résultats des déplacements entre les deux modèles traités

Fig. IV.118: Comparaison pour les résultats des contraintes Von Mises entre les deux modèles traités.

IV.8.2 Champ des contraintes de Von Mises dans la plaquette intérieure

Dans cette partie, on présente l’influence de la rainure dans les plaquettes de frein et le mode de chargement à double piston sur la distribution des contraintes équivalentes de Von Mises. La figure IV.119 montre que la contrainte de Von Mises atteinte par exemple à l’instant t= 3,5 [s] chute d’environ de 1%, lorsque la plaquette comporte une rainure. D’une manière analogue, on observe une diminution des contraintes de 5%, dans le cas du dispositif à double piston. La présence de la rainure et du mode à double piston influent donc positivement sur les contraintes en surface de la plaquette.

Fig.IV.119 : Distribution des contraintes de Von Mises dans la plaquette intérieure simple piston (à gauche et au centre), à double piston (à droite).

IV.8.3 Pression de contact

En procédant à des sondages le long des bords inférieurs, supérieurs et du rayon moyen de la plaquette à l’instant t= 1.7271 [s] où la température du modèle est maximale (T=346.46 °C), on obtient la variation de la pression de contact en fonction de l’angle de rotation représentée par la figure IV.120. On remarque une symétrie des pressions par rapport à la rainure.

Fig.IV.120 : Distribution de pression de contact le long des bords inférieur, supérieur et moyen de la plaquette à l’instant t= 1.7271 [s]

Fig.IV.121 : Variation de contrainte de Von Mises en fonction du temps dans le couplage thermomécanique

Sur la figure IV.121, on constate que la présence de la rainure influe négativement sur la contrainte sur la surface du disque, contrairement à l’utilisation du dispositif à double piston.

Fig.IV.122 : Contrainte de frottement et distance de glissement de la plaquette intérieure à l’instant t= 3.5 [s].

La figure IV.122 montre que les contraintes de frottement et des distances de glissement de la plaquette intérieure sont symétriques par rapport à la rainure et sont maximales sur les bords.

IV.8.4 Déformation du disque

Lors d’une manœuvre de freinage, le température maximale atteinte sur les pistes dépend de la capacité de stockage de l’énergie thermique dans le disque. On constate sur la figure IV.123 que le déplacement maximum se localise sur les pistes de frottement, les ailettes et la couronne extérieure. Ce phénomène s’explique par le fait que la déformation du disque est due à la chaleur (l’effet parapluie) qui peut engendrer un endommagement par fissuration. Dans ce cas, le couplage thermomécanique est assez important. Les gradients thermiques et les dilatations génèrent des contraintes thermiques qui s’ajoutent aux contraintes mécaniques.

Fig. IV.123: Déformée totale maximale en couplage thermomécanique

IV.8.5 Effet parapluie

L’échauffement d’un disque de frein provoque un déplacement des pistes de frottement par rapport à l’état initial. Cette déformation est appelée effet parapluie, figure IV.124.

Fig. IV.124: Effet parapluie d’un disque

La déformée totale maximale se trouve au niveau de la couronne extérieure du disque, elle atteint 284,55 µm à l’instant t =3,5 s. Une élévation de la pression et donc de la température sur une surface de contact réduite peut créer ce phénomène (déformation due à la chaleur), une fatigue locale du matériau et parfois une fissuration du disque. L’effet parapluie du disque n’est pas souhaité car il a une influence négative sur l’efficacité des freins.

Le fonctionnement correct d’un frein sous l’influence d’une charge thermique est limité par certains phénomènes thermomécaniques tels que :

– la fissuration due au gradient de température sur les pistes de frottement, pouvant causer la rupture du disque,
– la déformation du disque due à la chaleur (1’effet parapluie) qui influence la surface de contact, réduisant ainsi l’efficacité du frein,
– l’usure du disque et des plaquettes de frein,
– l’influence sur l’environnement du disque (les étriers, l’état de l’huile …).

Page suivante : Conclusion générale et perspectives

Retour au menu : ETUDE THERMOMECANIQUE DES DISQUES DE FREIN : Application du Code de Calcul ANSYS v11.0