Institut numerique

Chapitre III : Mesures pour les applications d’actionneur

Pour être un actionneur performant, les fibres doivent tout d’abord, présenter une grande surface spécifique pour que les nanotubes puissent être exposés à un électrolyte et chargés dans le cas de solutions électrochimiques (voir figure 18).

Il faut aussi qu’elles aient une bonne conductivité pour le transfert des charges. Il est important aussi qu’elles aient une bonne résistance mécanique pour générer de grandes forces. En fait, selon la loi de Hooke, on a σ = ε. E avec σ contrainte (exprimée en Pa)

ε déformation ou allongement relatif (sans dimension)
et E Module d’ Young (en Pa)

Ainsi, pour générer de grande force, il faut que la contrainte à la rupture soit élevée, alors que le module d’Young soit faible.

Enfin, elles doivent résister à des déformations répétées afin d’éviter que l’actionneur ne se fatigue trop vite.

On s’intéressera le long de ce chapitre à la réalisation de mesures mécaniques, électriques ainsi que de capacité des fibres préparées à partir des solutions de nanotubes de carbone et ceci pour deux types de nanotubes.

Ceci est essentiel pour étudier toutes les propriétés susceptibles de fournir un bon actionneur à partir de ces fibres.

I. Préparation des fibres

Afin de disposer de fibres suffisamment grandes pour les caractérisations électromécaniques et électrochimiques, on a fabriqué des fibres brutes multibrins (3 brins) : on a fait sécher 3brins de fibres collés pour obtenir une seule fibre.

Ces fibres ont été préparées avec un débit de la seringue de 50mL/h et une vitesse de rotation du bain de 50trs/min.

Pourtant, d’après les mesures faites dans le chapitre précédent, à plus fort cisaillement, on a obtenus des fibres brutes de meilleures propriétés mécaniques. On a donc choisie de travailler à plus faible cisaillement car, on n’est pas arrivé à avoir des fibres assez longues avec les solutions Hipco à une vitesse de rotation du bain de 100trs/min. On a alors choisi de faire le filage pour toutes les autres fibres (préparées à partir des dispersions SWAN, solutions SWAN et solutions Hipco) avec un débit de la seringue de 50mL/h et une vitesse de rotation du bain de 50 trs/min.

Ces fibres ont été ensuite recuites (selon le procédé qui sera présenté ultérieurement) et observées au microscope électronique à balayage (Figures 19.a et 19.b) :

Figure 19 : (a) fibre SWA, (b) fibre Hipco

On voit que les fibres faites à partir des solutions SWAN ont une section de forme plus circulaire que celles obtenues à partir des solutions Hipco.

II. Traitement thermique des fibres : Le recuit

Pour les mesures de conductivité et les mesures électromécaniques et électrochimiques que nous allons présenter dans les paragraphes suivants, certaines de nos fibres vont subir un traitement thermique pour éliminer les espèces organiques comme le PVA qui limite la conductivité et la porosité des fibres.

En 2002, Vigolo [29] a proposé un procédé simple pour le traitement thermique des fibres qui consiste à les placer dans une atmosphère inerte et à effectuer une montée en température maîtrisée pour s’assurer que seul le PVA est détruit.

Au préalable, les fibres sont collées sur des cadres de carbone à l’aide de colle de carbone (Figure 20).

Figure 20 : Cadre de carbone avec fibres de nanotubes collées dessus. La longueur des fibres est d’environ 5cm

Puis elles sont traitées thermiquement à 600°C sous argon pour éliminer tout composant organique.

L’élimination du PVA, polymère isolant, permet d’accroître la conductivité de la fibre. Mais, c’est aussi un moyen de créer de la porosité qui est une propriété nécessaire pour les applications électromécaniques et électrochimiques décrites dans les paragraphes suivants.

III. Caractérisation mécaniques

Après avoir filé des fibres à partir des dispersions SWAN, des solutions SWAN et des solutions Hipco dans les conditions évoquées préalablement, on a recuits certaines d’entre elles et on a fait subir à l’ensemble des fibres l’essai de traction. Les résultats se trouvent dans le tableau suivant :

En comparaison avec les fibres brutes monobrins faites à partir des solutions SWAN et présenté dans le paragraphe précédent, les fibres multibrins faites dans les mêmes conditions présentent une légère amélioration des propriétés mécaniques.

Le traitement thermique subi par les différentes fibres a bien éliminé le PVA. En fait, la diminution de la section des fibres recuites ainsi que la diminution de leur capacité de s’allonger prouvent la disparition du PVA qui donnait à ces fibres une grande élasticité. Par conséquent leur rigidité a augmenté.

Les fibres recuites faites à partir des solutions SWAN et Hipco présentent des contraintes à la rupture ainsi que des allongements supérieurs à ceux des fibres recuites faites à partir des dispersions. Ces deux grandeurs sont importantes pour avoir un actionneur performant.

IV. Mesure de conductivité

Afin de mesurer cette grandeur, on doit d’abord mesurer la résistance R de la fibre. Pour cela, on dispose d’un montage composé de 2 fils d’or soudés sur un plot. On colle donc les deux extrémités de la fibre sur ces fils d’or à l’aide de la laque d’argent (figure 21).

La résistivité de la fibre est donnée par la formule suivante :

Avec ρ : Résistivité de la fibre (Ω.cm)
R : La résistance mesurée de la fibre (Ω)

S : La section de la fibre mesurée en microscopie optique à réflexion sur des coupes transversales de fibre et en analysant les images obtenues à l’aide d’un logiciel d’imagerie numérique (Scion) ; (cm2)
L : Longueur de la fibre comprise entre les deux soudures d’argent (cm)

La conductivité σ de la fibre est l’inverse de sa résistivité, elle est donnée par la formule :

Figure 21 : Dispositif de mesure de la résistance des fibres

Ces résultats montrent que le PVA imposait un caractère isolant aux fibres. Ainsi, après avoir être recuites, les conductivités des différentes fibres sont plus élevées.

On remarque que les fibres recuites faites à partir des solutions SWAN sont plus conductrices que celles faites à partir des dispersions SWAN. Cependant, ces valeurs de conductivité sont bien loin des valeurs de conductivité des nanotubes de carbone individuelles qui sont de l’ordre de 10 000 Ω(-1).cm(-1).

V. Mesures électromécaniques et électrochimiques

V.1 Dispositif expérimental

Le dispositif utilisé pour caractériser les propriétés électrochimiques et électromécaniques des fibres de nanotubes est présenté à la figure 22.

Les fibres de nanotubes de carbone sont utilisées comme électrode de travail au sein d’une cellule comportant une contre-électrode en platine renfermant un papier de nanotubes, et une électrode de référence de type Ag/Ag Cl.

Figure 22 : Dispositif expérimental mis en oeuvre pour la caractérisation des propriétés électromécaniques des fibres de nanotubes de carbone

Une des extrémités de la fibre est fixée à l’aide de silicone au bras du capteur de force, lui-même relié à une interface pour acquérir en temps réel la force générée. L’autre extrémité de la fibre est fixée à un support en résine et connectée électriquement au potentiostat. Elle est fixée à l’aide d’une pate de carbone recouverte de silicone pour isoler le dispositif de l’électrolyte (solution Na Cl, 1M).

Le logiciel contrôlant le potentiostat permet de faire de la voltamétrie cyclique, ce qui va nous permettre d’accéder à la capacitance des fibres d’une part, et à la contrainte générée par celle-ci à élongation imposée fixe (test isométrique), d’autre part, via le capteur de force.

Le potentiostat permet ainsi de mesurer la capacité électrique des fibres mais aussi d’imposer à celles-ci un signal créneau en potentiel induisant le phénomène électromécanique.

V.2 Mesure de la capacité

La capacité est donnée par la formule :

 avec Q la charge stockée sur la surface de la fibre et V la tension à ses bornes. Elle peut être définie comme la capacité qu’a la fibre à stocker les charges électriques en sa surface. Elle dépend donc de la surface de la fibre accessible aux ions de l’électrolyte pour un potentiel donné.

Pour obtenir une bonne capacitance, il est nécessaire que la fibre ait alors une grande porosité. Toutes les fibres, obtenues à partir des dispersions et solutions SWAN ainsi que les fibres obtenues à partir des solutions Hipco, ont été caractérisées en voltamétrie cyclique à différentes vitesses de
balayage.

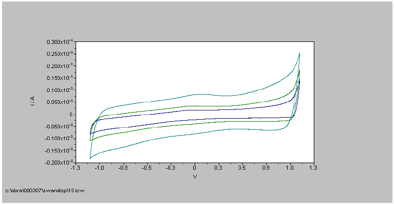
On a ainsi obtenu le voltamogramme cyclique (CV) de chaque fibre entre -1 et +1V en imposant des vitesses de balayage de 10, 20 et 50 Mv.s-1. Un exemple de CV obtenu pour chaque type de fibre est exposé sur les figures suivantes :

Figure 23 : CV d’une fibre de nanotubes obtenue à partir des dispersions SWAN. Vitesses de balayage (Scan Rate SR): SR=10 mV/s, 20 mV/s et 50 mV/s. Réf. Ag/Ag Cl

Figure 24 : CV d’une fibre de nanotubes obtenue à partir des solutions polyélectrolytes SWAN. Vitesses de balayage (Scan Rate SR): SR=10 mV/s, 20 mV/s et 50 mV/s. Réf. Ag/Ag Cl

Figure 25 : CV d’une fibre de nanotubes obtenue à partir des solutions polyélectrolytes Hipco. Vitesses de balayage (Scan Rate SR): SR=10 mV/s, 20 mV/s et 50 mV/s. Réf. Ag/Ag Cl

On mesure ΔI à potentiel fixe (ici 0V) pour chaque vitesse de balayage. On obtient ainsi une droite dont la pente donne la valeur de la capacité en F. Cette valeur est normalisé par le volume de la fibre pour obtenir une capacité volumétrique en F.cm(-3).

Figure 26 : droite ΔI=f(V) pour une fibre obtenue à partir des solutions polyélectrolytes SWAN

Les fibres réalisées à partir des solutions polyélectrolytes présentent des valeurs de capacité multipliée par un facteur de 1,5 à 2 en comparaison aux valeurs de capacité données par les fibres faites à partir des dispersions.

Ces résultats suggèrent que les fibres fabriquées à l’aide des solutions disposent d’une surface spécifique plus grande. En effet, la préparation des solutions se fait sans apport d’énergie, contrairement aux dispersions qui nécessitent une sonication qui dégrade les propriétés des nanotubes de carbone. On peut alors penser que l’emploi des solutions nous permet non seulement de bénéficier de nanotubes de carbones non dénaturés et non raccourcis mais aussi très longs et exfoliés ce qui peut se traduire par une surface spécifique des fibres plus importante que dans le cas des fibres faites à partir des dispersions [Alain Pénicaud, résultats non publiés].

VI. Mesure de la contrainte générée par la fibre

IV.1 Procédé expérimental

Le procédé expérimental consiste à appliquer à la fibre, à longueur fixe, un potentiel périodique en créneau entre -1 et +1V à l’aide du potentiostat, et à mesurer sa réponse isométrique à l’aide du capteur.

Cependant, avant d’appliquer un potentiel périodique et de mesurer la réponse des fibres, chaque fibre est prétendue à une certaine précontrainte σ* à l’aide du bras mobile du capteur. Nous mesurons donc, pour chaque précontrainte appliquée, la contrainte générée par la fibre sur le bras du capteur de force.

IV.2 Résultats

Quelques exemples de graphes observés pour les différentes fibres sont donnés ci-dessous :

En analysant ces graphes, on obtient les résultats suivants:

Résumons d’abord les propriétés de toutes les fibres dont on dispose :

La réponse à un potentiel périodique des fibres faites à partir des dispersions SWAN (50 ml/h et 50 trs/min) n’est pas carrée. On fait, on observe une sorte de relâchement du signal au niveau du début chaque période (Fig. (a)). Ce phénomène peut être expliqué par un glissement des nanotubes de carbone au sein de la fibre.

Par contre, on n’observe pas ce phénomène avec des fibres faites à partir des dispersions SWAN optimisées (50 ml/h et 100 trs/min) (Fig. (b)).

On peut donc penser que ce sont les conditions de filage des dispersions SWAN qui sont à l’origine de ce type de signal.

Ces deux fibres génèrent, pour la même précontrainte, des forces du même ordre de grandeur, bien que leurs mesures de capacitance et de conductivité soient très différentes.

Le même phénomène observé avec les fibres faites à partir des dispersions SWAN (50 ml/h et 50 trs/min) est observé avec les fibres faites à partir des solutions SWAN obtenues dans les mêmes conditions de filage. Il serait peut être intéressant de tester la contrainte générée par des fibres faites à partir des solutions SWAN dans les conditions de filage suivants : 100trs/min et 50ml/h, pour pouvoir confirmer que ce sont les conditions de filage qui sont à l’origine de ce type de signal.

Remarquons quand même que, pour les mêmes précontraintes (~2,6 MPa), on a des contraintes générées plus importantes avec les fibres faites à partir des solutions SWAN (=0,87 MPa), qu’avec les fibres faites à partir des dispersions SWAN (=0,20 MPa) filées dans les mêmes conditions.
Remarquons aussi que les mesures de capacitance et de résistivité sont plus élevés dans le cas des fibres faites à partir des solutions SWAN que dans le cas fibres faites à partir des dispersions SWAN.

Le signal donné par les fibres faites à partir des solutions Hipco est à priori un signal carré, mais on remarque qu’il est bruité. Ceci serait induit par le petit diamètre des fibres.

On ne peut pas cependant comparer les contraintes générées par ces fibres avec les fibres des solutions SWAN, car ces fibres présentent des précontraintes assez élevées.

Conclusion

Les fibres monobrins faites selon le procédé Vigolo et al. à partir des solutions polyélectrolytes de nanotubes de carbone n’ont pas présenté une réelle amélioration des caractéristiques mécaniques par rapport aux fibres faites à partir des dispersions de nanotubes de carbone filées dans les mêmes conditions.
Cependant, une véritable amélioration a été observée avec ces fibres en mesure de capacitance, grandeur clé pour l’obtention d’actionneur performant à partir de ces fibres.

Les mesures de contraintes générées avec ces fibres sont assez encourageantes mais des efforts restent encore à faire pour obtenir des signaux corrects, notamment l’emploi de fibres à plus gros diamètre et ceci pour minimiser les bruits et obtenir des signaux carrées.

Page suivante : CONCLUSION GENERALE

Retour au menu : Fibres de nanotubes de carbone exfoliés par voie polyélectrolyte