I. ARCHITECTURE PHYSIQUE
I.1. CHOIX DE LA TOPOLOGIE PHYSIQUE
Après avoir conforté le choix du cahier de charge pour la technologie HYPERLAN2, une architecture d’interconnexion sans fils mettant en relation les infrastructures hyperfréquence de REZOLUTIONSYSTEM nous paraissait donc un passage obligé dans le choix de la topologie physique de notre réseau. Nous avions donc le choix entre deux liens sans fils possibles à savoir :
Vallon -> Alpha2000 -> immeuble Versus Bank
Vallon -> Abobo RTI -> immeuble Versus Bank
L’étude d’une liaison sans fils est une étape très importante dans la réalisation d’une interconnexion. Elle apporte une vision concrète et assez détaillée de ce que donne la liaison en situation réelle d’exploitation. Elle fait ainsi le lien entre la théorie et la réalité.
Une phase cruciale de cette étude est le SURVEY qui consiste à faire une sortie sur le terrain pour effectuer une prise des coordonnées des infrastructures à interconnecter et les coordonnées des obstacles éventuels et ce, à l’aide d’un récepteur GPS (Géo-Positionnement par Satellite est un outil utilisé pour déterminer les coordonnées géographique de l’endroit où l’on se trouve).
Les résultats du SURVEY vont nous permettre de déterminer les caractéristiques intrinsèques de la liaison Vallon -> Alpha2000 -> Versus Bank que nous avons jugé plus viable tous simplement pour des raisons de distance et de Trajet.
I.1.1. CARACTERISTIQUES GEOGRAPHIQUES DES DIFFERENTS SITES A INTERCONNECTER
Le récepteur GPS est l’outil idéal qui permet de recueillir les coordonnées géographiques exactes des sites. Cela s’explique par le fait qu’il reçoit en permanence, des signaux provenant du système GPS, système constitué d’au moins 24 satellites orbitant à 20 200 Km d’altitude.
Dans notre cas de figure, ne disposant pas de Récepteur GPS à notre disposition nous nous sommes baser sur un logiciel open Source jouant parfaitement le rôle de notre récepteur GPS (de Google Earth dans sa version 6.2.1.6014), et sur des visites sur terrain (avec Jumelles et boussoles) pour s’assurer d’une visibilité parfaite entre les liens.
Ainsi nous avons pu avoir sites par sites les informations telle que recueillies dans le tableau suivant :( Voir aussi en Annexe1 avec la fiche de Survey). Ces emplacements respectent les coordonnées suivantes qui nous seront fort utile dans la suite de nos travaux.
Tableau 5 : Coordonnées Géographiques des différents sites
• Le site du Siège de REZOLUTIONSYSTEM au Vallon
La photo ci-dessous montrer dans la zone colorée l’emplacement géographique du siège de REZOLUTIONSYSTEM au VALLON.
Figure 8 : Image Satellite du site de REZOLUTIONSYSTEM
• Le site Relais De l’immeuble Alpha 2000 au plateau
Pour ce qui est de ce site relais situé sur l’immeuble Alpha 2000 Au plateau La photo ci-dessous monter dans la zone colorée l’emplacement géographique de ce site.
Figure 9 : Image Satellite du site d’Alpha 2000 Plateau
• Le lieu d’exposition du Salon SIMBANK 2012 à L’immeuble Versus Bank Plateau
Ce site situé à l’immeuble versus Bank Au plateau comme La photo ci-dessous est celui qui devra accueillir le Salon SIMBANK 202.
Figure 10 : Image satellite du site de VERSUS BANK au Plateau
Après relevés topographiques et géographiques en termes de distance et de ligne de vue, nous avons opté pour le lien
Vallon -> Alpha 2000 -> Immeuble Versus Bank (6.9km) en L.O.S de deux bonds.
En effet une telle architecture nous permettra :
– d’assurer un débit minimum garanti à chaque utilisateur.
– d’optimiser l’utilisation des ressources du réseau.
– de profiter des avantages de l’existant en termes d’infrastructures hyperfréquences.
– une facilité d’extension du réseau.
Ceci dit voici ci-dessous la topologie physique du réseau.
Figure 11 : Image satellite des trois sites
Figure 12 : Architecture Hiérarchisée de l’Interconnexion des Services de REZOLUTIONSYSTEM
II. CHOIX DES EQUIPEMENTS DU RESEAU
Le choix des équipements dépend de la charge du réseau (nombre d’utilisateurs, débit minimum autorisé, types d’applications utilisées sur le réseau) mais aussi de l’étendue du réseau.
L’étude de l’existant nous a permis de relever que le siège de REZOLUTIONSYSTEM comporte en tout des services TRIPLE PLAY de VOIP-visioconférence, de télésurveillance et d’internet.
Aussi nous prévoyons, allouer en termes de débits une bande passante pour ces services fixés à 108 Mbps en full-duplex (Voir Chapitre précédent) :
Pour la réalisation de notre projet, voici la liste des équipements que nous avons jugé bon de retenir pour leurs performances respectives :
– Switch Root Gigabit Ethernet: Cisco Catalyst switch 3560 24 10/100/1000T + 4 SFP
– Switch de distribution: Cisco Small Business 300 series manageable
– CPE (Customer Premises Equipment) Airmax Duo Base station + Antenne sectorielle Airlive 5018 Pa
– Antenne CPE 802.11a sectorielle AirLive Wha-5500CPE
– Câble : Paire Torsadée (UTP ou FTP) Catégorie 6
Toutefois étant donné que l’accès internet sur les Lieux du Salon devra être assuré par nos services, nous avons opté pour deux solutions Wifi en 2,4GHZ :
• Des Access Point omnidirectionnels pour des couvertures nous épargnant une solution de câblage plus complexe et onéreuse.
Pour plus de détails sur les équipements voir (l’annexe 1)
Les données typiques de l’architecture ci-dessus sont résumées dans le tableau suivant :
Tableau 6 : Données Techniques de l’Architecture
Après les résultats du SURVEY qui nous ont permit de déterminer les caractéristiques intrinsèques de la liaison VallonèAlpha2000èVersus Bank que nous avons jugé plus viable tous simplement pour des raisons de distance et de trajet.
Il nous faut maintenant nous rassurer de la fiabilité de cette liaison en relevant un ensemble de paramètres intrinsèques à une liaison Radio sans fils fiable.
III. BILAN DES LIAISONS ET PLANIFICATION DES LIENS.
III.1. DEGAGEMENT DU RAYON L’ELLIPSOÏDE DE FRESNEL
Pour les liaisons en plein air, nous obtiendrons un signal fort tant que la visibilité sera parfaite (champ de vision clair) entre les deux antennes et qu’un espace suffisant est aménagé pour la zone de Fresnel (l’obstruction de cette zone ne doit pas dépasser 20%).
Néanmoins dans le cas d’une obstruction partielle ou totale il peut s’avérer possible de compenser la perte de signal par des antennes directionnelles à fort gain (si la distance est courte et que les obstacles sont des arbres).
De façon générale, lorsque la zone de Fresnel est obstruée à plus de 20%, il en résulte une baisse du débit de la liaison radio et un risque de perte de la communication de façon intermittente.
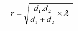
Il nous faut dans cette partie, trouver une règle donnant le dégagement minimum de l’Ellipsoïde de FRESNEL nécessaire sur une liaison hertzienne pour que la diffraction du rayon de celui-ci sur les obstacles éventuels soit négligeable.
L’Ellipsoïde de FRESNEL délimite la région de l’espace où est véhiculée la plus grande partie de l’énergie du signal (60% environ).
Se situer dans cet ellipsoïde revient à se retrouver dans les conditions de la propagation en espace libre, c’est-à-dire que le signal se propage sans diffraction.
Dans cette formule où toutes les dimensions sont exprimées en mètres. La grandeur r correspond à la valeur strictement minimale pour laquelle l’espace Entourant le rayon direct joignant les deux antennes sont dégagées de tout obstacle.
Remarque : r est maximum pour d1 = d2
L’application FRESNEL ZONE CALCULATOR de ACKSYS SYSTEM
Prenant en compte en entrée , les paramètre de fréquences et de distance entre les antennes pour nous donner en sortie le rayon de la zone de FRESNEL à 100% et à 80% de la distance totale du lien depuis le point d’émission jusqu’au point de réception.
Ainsi nous savons eu pour les différents liens les caractéristiques suivantes:
Tableau 7 : Données Caractéristiques de la Zone de FRESNEL à 80% et à 100%
Ces résultats donnants la valeur du rayon de FRESNEL à 80% et à 100% de la distance totale des liens radio ; signifient que pour les liaisons :
– SIEGE>>> ALPHA2000 fixée à 5490M en terme de distance totale, nous ne devrons pas avoir d’obstacles majeur dans la zone ayant un rayon de 7.13m pour une distance de 4392m depuis le point d’émission(Rayon de Fresnel à 80%) et un rayon de 8.92m pour une distance de 5490m depuis le point d’émission(Rayon de Fresnel à 100%)
ALPHA2000-VERSUS BANK fixée à 600 M en termes de distance totale, nous ne devrons pas avoir d’obstacles majeur dans la zone ayant un rayon de2 .36m pour une distance de 480m depuis le point d’émission (Rayon de Fresnel à 80%) et un rayon de 2.96m pour une distance de 600m depuis le point d’émission (Rayon de Fresnel à 100%).
Ainsi donc ces différentes contraintes liées à l’identification du rayon des zones de Fresnel de nos liens radio ont été vérifiées grâce à des relevés topographiques (voir les figures 11 et 12) des différents bonds radios à exécutés.
Ces relevés topographiques présentant la non-obstruction des différentes zones de Fresnel à 80% et à 100% des distances respectives des liens radios nous assurent d’une viabilité de nos interconnexions.
Figure 13 : Présentation du profil d’élévation du lien ALPHA 2000>> VERSUS BANK
Figure 14 : Présentation du profil d’élévation du lien REZOLUTIONSYSTEM>>ALPHA2000
III.2. BILAN DE LIAISON
Notre système de transmission de base se compose de 3 radios (CPE), Chacune avec son antenne intégrée.
A fin d’avoir une communication entre, les radios il est nécessaire qu’une puissance minimum de signal provenant des antennes lors de l’émission soit reçue par la radio distante.
Le fait que les signaux puissent passer entre les radios dépend de la qualité de l’équipement employé et de l’affaiblissement du signal dû à la distance Que l’on appelle: perte de trajet (path loss en anglais).
Le processus pour déterminer si un lien est fiable se nomme calcul du potentiel de puissance.
Nous avons jugé bon de relever un ensemble de paramètres selon le modèle Free space model qui nous permettras de mieux simuler le comportement des liaisons hertziennes dans la bande des 5Ghz en environnement outdoor ou les visibilités entre sites sont directes :
– Puissance d’émission des CPE en dbm :( Cf. fiche technique des équipements en Annexe 1)
Il est caractérisé par sa puissance émise PE.
Ici PE sera exprimée en dBm .
– Liaison émetteur- antenne émission :
Elle est caractérisée par son atténuation LE, exprimée en dB. Dans les petits systèmes, où tout est intégré (Wifi, téléphone mobile, etc..) cette liaison n’existe pas (LE = 0dB).
Dans notre cas de figure, il faut préciser que l’antenne étant intégrer à l’équipement, les pertes du au câble sont de l’ordre du Nano watt donc très négligeable.
– Antenne émission :
Elle est caractérisée par son Gain d’antenne GE, exprimé en dBi. (Cf. fiche technique des équipements)
– Distance d :
C’est la distance entre l’émetteur et le récepteur. On peut montrer (à partir du calcul de la sphère de l’antenne isotrope et de la définition du gain d’antenne), que la distance entre l’émetteur et le récepteur, introduit une atténuation AEL (pour atténuation en espace libre) égale à :
– Antenne réception :
Elle est caractérisée par son gain d’antenne GR, exprimé en dBi.
– Récepteur :
Le paramètre qui nous intéresse ici est PR, puissance reçue par le récepteur. Elle est généralement exprimée en dBm.
Niveau minimum de signal reçu (Cf. fiche technique des équipements Annexe 1)
Le bilan de liaison théorique est le calcul de toute la chaîne de transmission (transmission sans obstacles) à savoir :
• Emission [dBm]: Emetteur [dBm] -perte dans le câble [dB] + gain d’antenne [dBi]
• Propagation [dB]: Affaiblissement en espace libre [dB].
• Réception [dBm]: Gain d’antenne [dBi]- perte dans le câble [dB]- sensibilité du récepteur [dB]
Le total: Total Emission + Total Propagation + Total Réception doit être plus grand que zéro pour que le système fonctionne. Le reste donnera la marge de sécurité que l’on aura.
De ce qui précède nous pouvons retenir que :
Tableau 9 : Récapitulatif du Bilan de Liaison
INTERPRETATION DES RESULTATS :
La marge de liaison qui sera l’écart positif entre le bilan calculé et la qualité minimale demandée.
Si le bilan incluait tous les paramètres avec exactitude, cette marge pourrait théoriquement être nulle. Une marge est cependant toujours nécessaire et dépend du type de liaison.
Ainsi dans une liaison spatiale, les calculs peuvent inclure toutes sources de bruits et pertes.
La propagation peut être stable, la marge peut donc être réduite à, par exemple, 3 dB ,si au contraire le bilan n’est fait qu’en situation nominale, sans défaut de pointage, sans tenir compte des imperfections, la marge doit être élevée, par exemple 10 dB.
Dans notre cas de figure sont définies une Marge de 8.21 dB pour le premier lien (SIEGE -> ALPHA2000) et 13.44dB pour le second lien (ALPHA 2000 -> VERSUS BANK).
III.3 LE PLAN DE FREQUENCE
La croissance continue de la demande de spectre, aussi bien pour les services existants que pour les nouveaux services radio, exerce des contraintes de plus en plus fortes sur cette ressource notamment en ce qui concerne l’équilibre entre l’offre et la demande ; Cette ressource doit être gérée d’une manière efficace et efficiente afin que l’on puisse en retirer un maximum d’avantages sur les plans économiques et social. Plus le spectre radioélectrique est encombré, plus il est difficile à gérer, et plus l’outil nécessaire pour bien le gérer doit être performant.
Il faut donc des méthodes novatrices pour le gérer de manière dynamique afin qu’elle puisse être disponible pour les nouveaux services. Sa gestion permet également d’éviter les brouillages de signaux (interférences).
Chaque constructeur fournit des équipements de transmission à même de fonctionner dans une gamme de fréquence. Le spectre de fréquence étant une ressource rare et précieuse, il convient donc d’effectuer une gestion rationnelle de ce dernier.
En Cote d’ivoire, l’ATCI (Agence des Télécommunication de Cote d’Ivoire) est la structure chargée de la gestion du spectre de fréquence sur toute l’étendue du territoire. Aussi, à ce titre elle définit dans un document appelé TANARES (Tableau National du spectre de répartition des Fréquences) à respecter, afin d’éviter d’éventuelles interférences.
Les bandes de fréquence Qu’utiliseront nos services seront: celles allant de 5,150 à 5,350 GHZ réparties sur 8 Canaux non-chevauchant de 20MHZ chacun.
Nous utiliserons en termes de fréquences émises :
– En Sous-bande « aller » (Pour le lien Vallon=> Alpha2000) : le canal 30 allant de 5150 à 5200 MHz
– En Sous-bande « retour » (Pour le lien Alpha 2000=> Versus Bank): le canal 48 allant de 5220 à 5260 MHz,
– Espacement entre canaux : 20 MHz
Il faudra retenir qu’en fonction donc de ces paramètres, le constructeur fournit des fréquences d’émission et de réception à même de fournir une meilleure qualité d’émission et de réception. Ces fréquences sont définies et testées depuis l’usine
Figure 15 : Représentation des Canaux dans la norme Hyperlan2
IV. DETERMINATION DES CARACTERISTIQUES DE POINTAGE DES CPE.
La détermination des caractéristiques de fixation des CPE passe par les paramètres de profil d’élévation du terrain précédemment étudiés. Ce qui fournira donc les hauteurs d’antennes (Infrastructures hyperfréquences surmontés des CPE) puis les caractéristiques en termes d’élévation(Tilt), d’azimut, et de zone de Fresnel.
L’utilitaire de dimensionnement utilisé pour l’ingénierie de transmission est un logiciel nommé ANTENNA DOWNTILT CALCULATOR de ACKSYSCOM dans sa version 4.0.
ANTENNA DOWNTILT CALCULATOR est un logiciel élaboré pour la détermination des caractéristiques de TILT et d’azimut et de zone de Fresnel de la liaison l’antenne afin de palier le mieux possible aux problèmes de propagation du signal en espace libre et de prévoir les caractéristiques d’équipements et les techniques à déployer pour s’assurer que le signal est reçu avec une fiabilité fixée par l’opérateur.
Il intègre plusieurs paramètres tels que les données géographiques du terrain de l’ensemble du globe :
Base antenna height (Hb) Hauteur Antenne D’émission= Hauteur du pylône+Elévation
Remote antenna height (Hr) Hauteur Antenne Réception= Hauteur du pylône+Elévation
Distance beetween antenna(d) Distance entre les antennes Vertical beamwidthd Angle de Couverture Vertical du CPE (Cf. fiches techniques des équipements).
Le dimensionnement revient donc à introduire les coordonnées GPS requises et obtenues plus haut grâce à Google earth , afin d’avoir une vue approximative des paramètres d’élévation et de couverture du CPE.
Figure 16 : Affichage du Logiciel ANTENNA DOWNTILT CALCULATOR de ACKSYSCOM dans sa version 4.0.
Ainsi nous savons eu de tout ce qui précède pour les différents liens les caractéristiques suivantes:
Le tableau ci-dessous Montre les paramètres de saisie en entrée du logiciel et les résultats obtenus.
RESULTATS :
Tableau 10: Données Caractéristiques de Fixation des CPE
Ces différents résultats obtenus définiront les caractéristiques physiques de fixation de nos Radio CPE.
Page suivante : CHAPITRE IV : ADMINISTRATION ET SECURITE RESEAU



















