Les diagrammes de Lancaster n’ont d’intérêt pour un producteur que si celui-ci est universel pour tous les consommateurs, en particulier en ce qui concerne la frontière de caractéristiques. On peut donc observer la réaction de la frontière de caractéristique lorsque le revenu d’un consommateur varie.
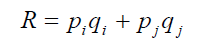
Une frontière de caractéristiques entre deux biens se fait en fonction du revenu, et des prix des biens. Le consommateur doit se procurer un certain nombre de caractéristiques inclues dans des produits et doit dépenser une certaine somme pour cela (que l’on appellera revenu par soucis de simplicité). Ainsi, le consommateur dépensera son revenu R, et se procurera des quantités qi de chaque bien i en fonction de leur prix pi. On obtient donc :
et, en particulier lorsque le consommateur doit choisir entre deux biens, on a :
qui doit être vérifiée en tout point de la frontière de caractéristiques des deux biens, ce qui revient à avoir une frontière de la forme :
Cette relation étant linéaire, nous pouvons déterminer la frontière comme la jonction des extrémités, donc les points sur les biens :
On voit immédiatement que lors d’un changement de revenu, on a :
Cette relation permet d’affirmer que le changement de revenu ou d’individu ne change que la taille et non la forme du diagramme, ce qui crée l’universalité de la forme.
figure inspirée de Lancaster (1971), p. 53.





