Institut numerique

3.1 Exploration de l’état de l’intégration des marchés financiers : Réplication du modèle Akdogan (1996)

Dans la partie introductive, nous avons avancé l’idée selon laquelle l’intégration financière s’est intensifiée grâce au phénomène de la globalisation. La réplication de l’article d’Akdogan (1996) nous permettra de faire formellement l’état des lieux sur l’intégration financière. Rigueur empirique oblige, nous partirons de ce modèle simple pour ensuite utiliser le modèle robuste BEKK-GARCH multivarié asymétrique. Ce dernier nous permettra de confirmer ou d’infirmer le pragmatisme actuel de la stratégie de la diversification internationale.

3.1.1 Sources des données

Nos données proviennent de la base de données Compustat. Nous y avons extrait le niveau d’indice boursiers de vingt pays dont les données étaient complètes et l`indice MSCI World que nous avons pris comme portefeuille mondial. La plage temporelle va de janvier 1991 jusqu’au décembre 2007 en fréquence mensuelle. Pour la capitalisation boursière de chaque pays nous avons fait appel aux statistiques de la Banque Mondiale (Word Development Indicators).

3.1.2 La réplication

Les rendements des différents indices mensuels ont été déterminés par le logarithme de la première différence des niveaux des indices. Par la suite, nous avons estimé la fraction du risque systématique et non systématique de chacun du marché par rapport au marché mondial en calculant le bêta de chaque marché.

Intuitivement il nous est apparu judicieux de subdiviser notre champ temporel en deux sous période, soit avant et après 1998. Ce choix s’explique par le fait que cette année constitue une démarcation nette à cause des crises qui ont frappé les pays du Sud-est Asiatique, l’Amérique Latine et la Russie.

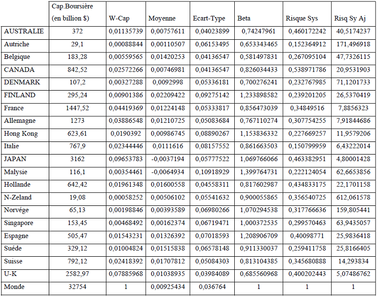
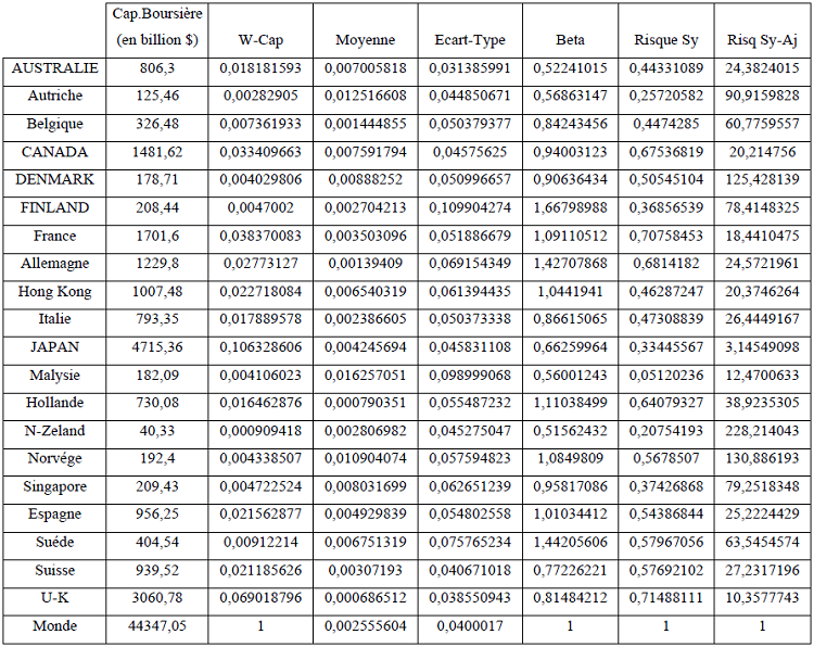
Les tableaux 1 et 2 récapitulent les statistiques de rendement et de risque des marchés de notre échantillon et pour les deux sous périodes. En effet, nous retrouvons dans ces tableaux les rendements moyens, les écarts types ainsi que les βi des différents pays. Les capitalisations boursières des pays ainsi que leurs poids respectifs y sont inscrits à coté de la fraction du risque systématique Pi.

La dernière colonne des tableaux 1 et 2 retrace une autre mesure de la segmentation. Cette mesure ajuste la fraction du risque systématique par la contribution relative du pays à la valeur totale du marché mondial et ce, en divisant le risque systématique par le poids respectif du pays.

Tableau 1 : Résultats de la réplication du modèle d’Akdogan : Première sous période : 1991-1999

Tableau 2 : Résultats de la réplication du modèle d’Akdogan : Deuxième sous période : 1999-2007

Il y a lieu de préciser, à ce niveau, qu’à l’instar de notre article de référence les capitalisations boursières retenues pour les besoins de calculs dans les précédents tableaux sont celles correspondant à l’an 2000 pour la première période et celle de 2005 pour la deuxième période vu et le manque d’information pour l’an 2006.

3.1.3 Analyse des résultats

Pour pouvoir analyser les résultats nous ferons appel aux critères suivants :

– Un marché avec une fraction moindre (plus petite) du risque systématique est réputé être plus segmenté du marché mondial;
– Une autre manière d’analyser les choses est de d’observer la fraction systématique ajustée au poids du pays. Ainsi si la valeur du pays change à travers le temps la fraction du risque systématique par rapport au marché mondial devrait être pondérée par le poids de ce pays dans la capitalisation mondiale;
– La mesure appropriée de la segmentation du marché est alors la contribution d’un pays donné au risque systématique du monde relativement à sa contribution aux valeurs du marché mondial;
– Un marché dont la contribution au risque systématique mondial est plus petite que sa contribution à la valeur du marché mondial est réputé segmenté.

En utilisant la fraction du risque systématique ajustée au poids telle qu’elle ressort dans la dernière colonne des tableaux 1 et 2, nous remarquons que certains marchés sont devenus plus intégrés durant la deuxième phase c’est-à-dire après 1998. Parmi ces pays on trouve la Suisse, l’Italie, Allemagne, la Hollande, le Suède et la Fillande alors que d’autres marchés ont connu un recul dans leurs niveaux d’intégration comme, le Canada, l’Australie, l’Autriche et la Malysie.

Mais ces résultats doivent s’interpréter avec prudence car le reclassement ou le déclassement dans l’échelle de l’intégration peut être attribuable au fait que les variations de la capitalisation de chaque pays par rapport au reste du monde ne sont pas accompagnées d’une variation proportionnelle de la sa sensibilité β ou éventuellement aux fluctuations des facteurs de cointegration tels que les politiques économiques, monétaires et du commerce extérieur propres à chaque pays.

Tableau 3 : classification des pays selon le degré de segmentation

3.1.4 Comparaison avec les résultats de Akdogan (1996)

Dans ce qui suit, nous procédons à la confrontation de nos résultats avec obtenus par Akdogan (1996). En effet, la comparaison de ces résultats nous donne une idée claire sur la dynamique dans le temps du degré de segmentation des différents pays pris en commun dans les deux études. D’après le tableau suivant, nous remarquons que plusieurs pays ont réalisé des degrés de segmentation très variables à travers le temps. En guise d’exemple, l`Italie a passé de moyennement intégré (1970-1980/1980-1990) a moyennement segmenté (1991-1999/1999-2000). L`Autriche est passé de fortement segmenté sur la période (1970-1980/1980-1990) à fortement intégré durant la période de notre étude (1991-1999/1999-2007).

De même, ce phénomène de variabilité du degré de segmentation pourrait être expliqué par la variabilité du niveau de la corrélation entre les mouvements des rendements domestiques des pays et les rendements du marché mondial Le tableau suivant retrace cette évolution.

Tableau 4 : Comparaison de nos résultats avec ceux de l’article de Akdogan (1996)

Encore, le graphique suivant nous illustre les constats de la forte variabilité à travers le temps du degré de segmentation des pays.

Figure 1 : Évolution de la segmentation des pays

3.1.5 Autres évidences :

Pour rédiger cette partie nous nous inspirons des publications de la Banque Mondiale concernant l’évolution des mouvements des capitaux à travers le monde sous forme de dettes directes, de dettes syndiquées, d’émissions d`obligations gouvernementales et corporatives et sous forme d’émission d`actions. C`est à cette dernière composante des flux de capitaux internationaux que nous allons nous intéresser. Observons et interprétons les graphiques suivants :

Figure 2 : Évolution des mouvements des flux de capitaux dans le monde

Ce graphique illustre bien l’augmentation remarquable des flux de capitaux sous forme d’actions privées durant la période de 1990-2006 ce qui démontre des niveaux d’intégrations grandissants, Là encore, on retrouve consolidation de notre intuition de départ concernant la tendance mondiale vers plus d’intégration.

Encore, observons cette figure :

Figure 3 : Évolution des flux en actions dans le monde

La figure 3 démontre à coté du volume grandissant des flux de capitaux sous forme d’action, un autre aspect de ces mouvements qui est leur variabilité a travers le temps. En effet, ces flux étaient assez dérisoires vers la période de 1990-1992 puis, ils ont pris du volume durant la période de 1992-1997 suite aux différentes mesures réglementaires et institutionnelles prises par la majorité des pays à l’occasion des Rounds de l’Organisation Mondiale du Commerce (OMC). Par la suite, c’est la période des vaches maigres causées essentiellement par les crises successives au Sud-Est Asiatique, l’Amérique Latine et la crise de la Russie sans oublier l’effet du 11 Septembre 2001 qui a prolongé la faiblesse des flux des capitaux au niveau mondial.

Ainsi, nous y retrouvons une confirmation à notre constat déjà évoqué concernant la variabilité du degré de segmentation des pays à travers le temps.

La figure suivante retrace l’évolution de la corrélation des indices MSCI des marchés émergents avec les indices MSCI des USA, du monde et du MSCI de l’Europe et de l’Asie.

Figure 4 : Évolution de la corrélation des marchés émergents à travers le temps

Cette figure confirme elle aussi notre constat concernant la variabilité des degrés de segmentations causées par la variabilité du niveau de corrélation entre les marchés émergents et le reste du monde.

Page suivante : 3.2 Le modèle robuste BEKK GARCH multivarié asymétrique

Retour au menu : INTEGRATION FINANCIÈRE ET DIVERSIFICATION INTERNATIONALE