Institut numerique

3.1 Cas des températures moyennes mensuelles à Douala période 1971-2003

– Détection des données aberrantes

Pour notre travail, nous avons utilisé les méthodes graphiques, il s’agit de la boîte à moustache et du graphique des quantiles (figure 3.1). La figure 3.1 nous montre la présence de deux valeurs aberrantes, il s’agit des valeurs qui dévient fortement de la moyenne observée régulièrement. Visuellement nous pouvons estimer que ces valeurs sont comprises entre 30.4C et 31.0C. La question que l’on se pose est la suivante . ces valeurs sont-elles vraiment fausses ou sont-elles tous simplement les valeurs extrêmes (pics de températures) observées à Douala durant ces 33 ans ? Douala étant une ville côtière au climat équatoriale humide et caractérisée par une saison pluvieuse avec des températures moyennes mensuelles pouvant variées entre 24.5C et 26.5C et une saison sèche avec des températures moyennes mensuelles pouvant dépasser 30C. Par conséquent les valeurs détectées précédemment ne sont donc pas fausses, il s’agit tout simplement des pics moyens de températures mensuelles sur les 33 ans.

Figure 3.1 La boîte à moustache (à gauche) et le graphique des quantiles (à droite) pour la détection des valeurs aberrantes

– Analyse descriptive

Le calcul du coefficient de corrélation entre les températures et le temps donne r = 0.26, ce qui est largement inférieur à 1. Il n’y’a donc pas de lien direct entre ces deux variables ou bien le lien est faible. On peut conclure que ces données sont pratiquement indépendantes du temps.

Les résultats de l’analyse descriptive sont consignés dans le tableau 3.1. Il s’agit de la taille des données, les cinq quartiles (minimum, premier quartile, médiane, troisième quartile et le maximum), de la moyenne, de l’écart-type, des coefficients d’asymétrie et d’aplatissement. L’histogramme des données et la courbe de densité représentative des cinq quartiles sont représenté par la figure 3.2. Les coefficient s d’asymétrie et d’aplatissement étant négatifs, la distribution des températures dévie fortement de celle de la loi normale (figure 3.2). Le minimum et maximum étant respectivement 24.5C et 30.7C, ils sont situés au niveau des queues de distribution, c’est-à-dire des parties extrêmes de la courbe de densité (figure 3.2 . queue gauche (couleur rouge) pour la valeur minimale et droite pour la valeur maximale (couleur jaune)), ces valeurs surviennent avec des probabilités très faibles, elles peuvent donc être considérées comme extrêmes. Une voie est ainsi ouverte pour l’analyse de ces valeurs extrêmes et la mise en application des modèles permettant une meilleure description des températures extrêmes.

Table 3.1 Résultats de l’analyse descriptive des températures moyennes mensuelles à Douala période 1971-2003

Figure 3.2 Histogramme de la distribution des températures moyennes (à gauche) et la courbe de la densité de probabilité de la distribution représentatif des cinq quartiles (à droite)

3.1.2 Modélisation par la méthode des Maxima par Blocs

Pour appliquer ce modèle, nous procédons d’abord à la sélection de la taille des blocs. Nous disposons d’un échantillon de taille N = 396 dont les observations sont mensuelles, nous ferons un regroupement des données en blocs de 12 mois (taille des blocs k = 12), soit un nombre de blocs n = 33 et ce qui permet de vérifier la relation N = nk.

Le travail précédent étant réalisé, l’échantillon de températures moyennes maximales annuelles est constitué à partir des maximums issus de chaque bloc. L’échantillon ainsi constitué est un échantillon de températures maximales annuelle issue des observations moyennes mensuelles à Douala pendant la période de 1971 à 2003 (voir tableau 3.2 et figure 3.3).

Figure 3.3 Distribution des moyennes mensuelles (gauche) et des maximums annuels (droite) de températures à Douala 1971-2003

Il s’agit d’un échantillon de 33 pics annuels, donc la valeur la plus élevée est 30.7°C, observée en Février 1998, le mois le plus chaud des 33 années d’observations. La valeur la plus basse des valeurs extrêmes est de 27.3°C en Avril 1976. Les valeurs des paramètres du modèle sont estimées par la méthode du maximum de vraisemblance et les résultats sont consignés dans le tableau 3.3.

Nous avons obtenu un paramètre de forme négatif (ɛ = 0.1430.089), ce qui signifie que la distribution des valeurs extrêmes vers la quelle converge les températures maximales à Douala est celle d’une distribution de Weibull (voir courbe de densité figure 3.4 et l’équation 3.6 Annexe II). Ce qui est en accord avec les hypothèses théoriques (distribution adaptée aux températures).

Les diagnostiques d’ajustement à une loi de GEV (Generalized Extremes Values) de ces pics annuels, sont donnés à la figure 3.4. Ce sont les tests d’ajustement du modèle aux données, dans lequel les fonctions de distribution attendues (prévues par le modèle) sont comparées avec celles obtenues empiriquement. Dans la figure 3.4, nous avons représenté le graphe des probabilités, des quantiles, des niveaux de retour de températures extrêmes et de la fonction de densité de GEV correspondant à l’histogramme des données. Les courbes de probabilité, de quantile et de densité, montrent que les ajustements obtenus sont acceptables, puisque les nuages de points suivent la courbe théorique (figure 3.4). Ce qui confirme le caractère raisonnable du choix de notre modèle.

Table 3.2 Températures maximales annuelles issues des moyennes mensuelles à Douala 1971-2003

Table 3.3 Températures maximales annuelles issues des moyennes mensuelles à Douala 1971-2003 (suite)


Table 3.4 Paramètres de GEV estimés à partir de l’ajustement des températures maximales annuelles à Douala

 

Figure 3.4 Méthode des maxima par blocs (BM) . Tracé du diagnostic d’ajustement des températures maximales annuelles à Douala à une distribution de GEV. Du haut à gauche en bas à droite il s’agit de la courbe des probabilités, des quantiles, du niveau de retour et de l’histogramme avec un ajustement à une densité de GEV.

Les résultats du calcul des niveaux de retour (températures extrêmes) auxquels sont associés les intervalles de confiance calculés par la méthode Delta pour différents périodes de retour ont été reportés dans le tableau 3.4. La courbe des niveaux de retour est représentée par la figure 3.5. Nous remarquons que les valeurs empiriques suivent le modèle. De même les niveaux de retour pour les valeurs maximales des températures augmentent graduellement pour des longues périodes de retour. Les intervalles de confiance associés à ces niveaux de retour deviennent plus larges et asymétriques pour des durées de retour élevées.

Il est possible avec ces résultats d’estimer les intensités de probables niveaux de retour de températures extrêmes (mois les plus chauds) dans 5, 10, 25, 50, voir même 100 ans et plus. Nous pouvons ainsi estimer la période de retour associée au pic mensuel de température moyenne de 30.7°C observé en Février 1998. Elle serait de l’ordre du bicentenaire (200 ans), c’est-à-dire en Février l’an 2198.

Table 3.5 Niveaux de retour estimés et intervalles de confiances à 95% calculés par la méthode Delta pour différentes périodes de retour à partir de l’ajustement des températures maximales annuelles à Douala à la distribution de GEV.

Figure 3.5 Graphe des niveaux de retour pour les températures maximales annuelles à Douala, calculés à partir de la distribution de GEV (courbe en trait noir) avec des intervalles de confiances (courbes en traits bleus) à 95% calculés par la méthode Delta.

3.1.3 Modélisation par la méthode de dépassement de seuil

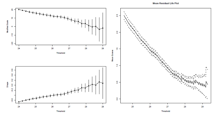
Pour la mise en application de cette technique récente, nous nous intéressons à l’échantillon entier, de taille N = 396 (températures moyennes mensuelle à Douala période 1971 -2003), non plus aux maximums annuels comme précédemment. Les observations sont faites suivant une fréquence de 12 mesures par ans. L’ajustement des données au modèle a été réalisé en prenant 28.0C comme seuil, ce qui permet donc de détecter le nombre de données extrêmes (nombre des excès) de l’échantillon à partir duquel l’ajustement sera fait suivant une loi de GPD (Generalized Pareto Distribution). Ce seuil a été choisi en utilisant la fonction moyenne des excès et des graphes des paramètres d’échelle et de forme en fonction des différents seuils.

L’illustration est faite par la gure 3.6. Le nombre d’excès obtenu ici étant de 78, représente ainsi les températures moyennes extrêmes de l’échantillon.

Figure 3.6 Graphes des paramètres d’échelle et de forme en fonction des différents seuils (courbes gauche) et la fonction moyenne des excès (courbe droite) pour la détermination du seuil, le seul retenu ici est u = 28.0C.

L’estimation des paramètres du modèle a été réalisée en utilisant la méthode du maximum de vraisemblance. Les résultats sont consignés dans le tableau 3.5. Le paramètre de forme étant négatif ( ɛ= 0.143 0.084), ce qui signie que pour ce modèle la distribution des températures moyennes extrêmes au dessus du seuil u = 28.0C, converge vers une distribution Beta bornée (Équation 3.13 Annexe II).

Table 3.6 Paramètres de la loi GPD estimés à partir de l’ajustement à une loi GPD des températures moyennes mensuelles à Douala, pour un seuil u = 28.0C et un nombre d’excès de 78

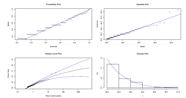
Les graphiques d’ajustement des données à une loi de GPD au-dessus du seuil choisi ci-dessus sont données à la figure 3.7. Des graphes de probabilité, de quantile et de densité, nous pouvons dire que les ajustements obtenus sont acceptables, puisque les nuages de points suivent la courbe théorique (figure 3.7).

Les niveaux de retour et les intervalles de confiance ont été calculés avec les méthodes similaires à celles utilisées précédemment. Les résultats sont consignés dans le tableau 3.6. La courbe des niveaux de retour en fonction des périodes de retour est représentée par la figure 3.8. Nous remarquons que les valeurs empiriques suivent le modèle et les niveaux de retour estimés pour différentes périodes de retour augmentent graduellement pour de longues périodes de retour. Nous remarquons également l’asymétrie des intervalles de confiance pour des durées de retour élevées.

Le pic moyen de température mensuelle de 30.7C observé en Février 1998, a une période retour de l’ordre du bicentenaire.

Figure 3.7 Méthode de dépassement de seuil (POT) . Tracé du diagnostic d’ajustement des températures moyennes mensuelles à Douala à une distribution de GPD au-dessus d’un seuil (u = 28.0C). Du haut à gauche en bas à droite il s’agit de la courbe des probabilités, des quantiles, des niveaux de retour et de l’histogramme avec un ajustement à une densité de GPD.

Table 3.7 Niveaux de retour estimés et intervalles de confiances à 95% pour différentes périodes de retour à partir de l’ajustement des températures moyennes mensuelles à Douala à la distribution de GPD

Figure 3.8 Graphe des niveaux de retour pour les températures moyennes mensuelles à Douala, calculés à partir de la distribution de GPD (courbe en trait noir) avec des intervalles de confiances à 95% calculées par la méthode Delta.

3.1.4 Comparaison des résultats issus des deux modèles et Discussions . Cas des températures moyennes mensuelles à Douala 1971-2003

On constate que, dans les deux cas les ajustements obtenus sont acceptables. Les valeurs estimées du paramètre de forme , sont égales, ce qui indique une bonne cohérence entre les deux méthodes. Nous avons obtenu les loi bornées (Weibull et Beta) pour les deux méthodes. L’approche POT conduit à des ajustements légèrement meilleurs que la méthode des maxima annuels, dès lors que l’on choisit un seuil adapté. Les niveaux de retour estimés par les deux méthodes sont proches, notamment ceux du modèle POT sont légèrement supérieurs à ceux du modèle BM.

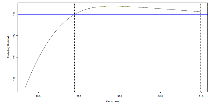
Il en est de même pour les intervalles de confiances qui sont caractérisés par une asymétrie pour des durées de retour élevées, contrairement à la théorie. Compte tenu de cette asymétrie il serait judicieux d’utiliser le prol de vraisemblance. Par exemple le niveau de retour centennale pour les températures moyennes extrêmes est l’ordre 30.41C pour le modèle BM et de 30.51C pour le modèle POT auxquels sont associés les intervalles de confiances [29.94; 31.49] et [30.18; 31.30], déterminés en utilisant le prol de vraisemblance (voir figure 3.9 pour le modèle GEV).

Figure 3.9 Prol de vraisemblance prole pour la détermination de l’intervalle de confiance associée au niveau de retour centennale (30.41C) de la température moyennes maximale extrême pour le modèle des maxima par blocs (GEV )

Page suivante : 3.2 Cas des cumuls mensuels de précipitations à Douala période 1960-2005

Retour au menu : Etude des Evénements Extrêmes : cas des Températures et Précipitations à Douala