Le point de départ de notre spécification empirique est la relation suivante :
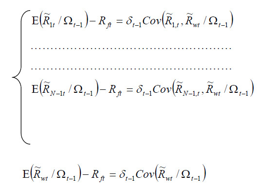
Cette formule est fréquemment utilisée dans la littérature financière pour tester le MEDAF. Elle traduit le fait que les anticipations de l’investisseur calculées par l’excèdent de rentabilité des différents actifs financiers et ce, conditionnellement à l’ensemble des informations disponibles en (t-1). Son application pour N actifs risqués ainsi que pour le portefeuille du marché mondial se traduit par un système d’équations valable à chaque repère du temps :
En traduisant ce système d’équations sous une forme matricielle on a :
τ est un vecteur unitaire de dimension (N,1). H est une matrice (N x N) de variance–covariance conditionnelle des excès de rentabilités et enfin t h est la Niéme colonne de Ht qui n’est autre que la covariance conditionnelle de chaque actif avec le portefeuille de marché mondial.
Page suivante : 2.8 Processus de la variance et la covariance conditionnelles
Retour au menu : INTEGRATION FINANCIÈRE ET DIVERSIFICATION INTERNATIONALE



