La dernière équation exige l’estimation concomitante de la covariance de chacun des N-1 actifs et de la variance conditionnelle du marché mondial. Récemment, on commence à accorder de l’importance à la spécification GARCH(1,1) étant donné qu’elle capte le mieux les propriétés des séries chronologiques financières [voir Engle et Kroner (1995), De Santis et Gérard (1997,1998) et Nilsson (2002)]. Puisque nous voulons mesurer l’incidence de l’intégration grandissante des marchés financiers sur les gains susceptibles d’être générés par les stratégies de la diversification internationale, l’adoption de la spécification de la spécification GARCH(1,1) à paramètres variables est vivement souhaitable.
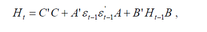
Comme nous l’avons vu le modèle BEKK GARCH est formalisé comme suit :
Avec C est une matrice (N x N) symétrique, A et B sont deux matrices (N x N) de paramètres constants.
Plusieurs travaux empiriques ont eu recours à la modélisation BEKK. L’un de ses avantages est l’assurance d’une matrice variance – covariance définie et positive. Néanmoins, comme le précise Arouri Mohamed El Hedi ” le nombre de paramètres à estimer pour la matrice des variances -covariances est très élevé. La plupart des études utilisant la spécification GARCH multivarié limitent le nombre des actifs étudiés et/ou imposent des restrictions sur le processus générant Ht.
Bollerslev (19910) et Ng (1991) supposent que les corrélations sont constantes. Ce qui est très restrictif. Login et Solnik (1995) et Stulz (1996) montrent que les corrélations entres les actifs financiers varient avec les conditions de marché, ce que le modèle avec corrélations constantes ne peut prendre en compte.
Bollerslev, Engle et Wooldridge (1988) imposent la diagonalité des matrices A et B. Cela implique que les variances dans Ht ne dépendent que du carré des résidus passés et un terme autorégressif. Cette spécification paraîtrait très restrictive car elle ne permet pas de prendre en compte la dépendance des volatilités conditionnelles entre les marchés mise en évidence notamment par Hamao, Nasulis et Ng (1990) et Chan, Karolyi et Stulz (1992) sur des données avec des fréquences élevées.”
Puisque nos données sont de fréquence mensuelle nous jugeons comme l’a fait Arouri Mohamed El Hedi qu’il y a une faible transmissibilité de la volatilité entre les marchés. Nous démontrerons par la suite que les carrés des résidus sont très faibles pour nos données mensuelles.
Comme le soulignent plusieurs auteurs, dans la plupart du temps, l’effet d’un choc négatif sur la variance conditionnelle est plus important que celui d’un choc positif. C’est ce qu’on appelle l’effet d’asymétrie. Raison pour laquelle le modèle économétrique que nous adoptons permettra par le truchement des variables dichotomiques de répondre différemment suivant le signe du choc.
En définitive le modèle qui nous servira à élucider notre problématique est bel et bien l’extension du modèle BEKK qui capte les réactions asymétriques des variances et covariances conditionnelles aux innovations des rentabilités. Ce modèle est formalisé comme suit :
Page suivante : 2.9 Processus de la moyenne conditionnelle
Retour au menu : INTEGRATION FINANCIÈRE ET DIVERSIFICATION INTERNATIONALE


