Sur le plan mathématique, le coefficient de corrélation (ρ) entre le rendement de deux titres ri et rj s’exprime par :
Le coefficient de corrélation est outil qui permet de mesurer le degré de dépendance pouvant exister entre les rendements de deux titres. Il présente l’avantage d’être facile à interpréter, puisqu’il varie entre -1 et +1. Un coefficient de +1 ou – 1 signifie que les rendements des deux titres i et j sont parfaitement corrélés et fluctuent dans le même sens ou dans le sens opposé selon l’occurrence. Un coefficient de corrélation nul renseigne que les deux titres sont indépendants.
En général, la non corrélation n’implique pas l’indépendance des rendements, sauf dans le cas où ceux-ci sont normalement distribués, car toute distribution normale est complètement définie par ses deux premiers moments.
La corrélation, comme nous l’avons précisé dans la partie introductive est un élément incontournable de la diversification internationale d’actifs. Son utilité s’étend à toute une panoplie de décisions financières. Par exemple dans le contexte de constitution d’un portefeuille, l’ensemble des combinaisons possibles dans l’univers risque – rendement est fonction du coefficient de corrélation entre les rendements des actifs.
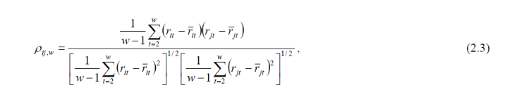
Concrètement, dans la pratique financière, les corrélations conditionnelles sont extraites du calcul sur la base des corrélations non conditionnelles. À partir de la technique de (rolling window) c’est à dire des fenêtres d’estimation qui se déplacent dans le temps, on calcule des corrélations non conditionnelles selon la formule suivantes :
Avec w la dernière ligne de la fenêtre d’estimation et ri et rj les rendements liées aux actifs i et j.
Cette technique présente l’inconvénient de donner un poids égal à toutes les observations w périodes après et un point zéro pour celles qui suivent cette fenêtre d’estimation. Nonobstant cela, elle persiste toujours dans le milieu des praticiens et des universitaires en raison de sa simplicité.
Il y a une autre technique basée sur le lissage exponentiel dont la formule s’exprime par :
Le lissage exponentiel accorde, en fonction de la valeur allouée au paramètre λ, des pondérations décroissantes aux observations. Les observations récentes ont plus de poids. Néanmoins, il n’y a pas de retour vers la moyenne qui se réalise suite à un choc par exemple et le choix du paramètre λ reste une question d’arbitrage, généralement on utilise celui donné par défaut du “package” RisksMetricsMT.
Page suivante : 2.2 Intérêt des moments conditionnels
Retour au menu : INTEGRATION FINANCIÈRE ET DIVERSIFICATION INTERNATIONALE



