S’agissant de la pratique financière, la plupart des décisions émanent d’un calcul fondé sur les moments non conditionnels. On peut évoquer le ratio de performance de Sharpe qui est une mesure ex-post.
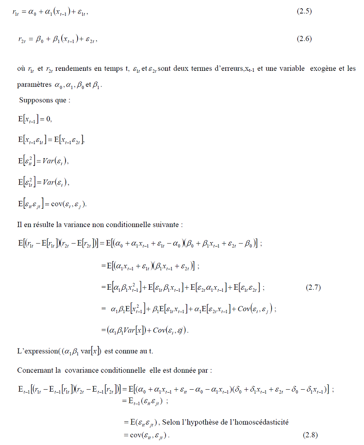
L’objection majeure adressée aux mesures ex-post est qu’elles captent indifféremment tous les comouvements, risqués et non risqués. Illustrons cela par le biais d’un exemple simple en se basant sur les processus suivants :
À la comparaison des deux résultats, on voit clairement que la mesure conditionnelle est plus judicieuse, car la mesure non conditionnelle, capte les fluctuations de la variable retardée xt-1 qui est connue en t et donc ne présente pas de risque. Le recours à la variance non conditionnelle fausse le niveau de risque effectif auquel le décideur est confronté en incluant des informations non pertinentes pour la prise de décisions.
Page suivante : 2.3 Propriétés des séries financières
Retour au menu : INTEGRATION FINANCIÈRE ET DIVERSIFICATION INTERNATIONALE

