II.II.1.1 ANALOGIE STATISTIQUE DE LA DISTRIBUTION DES RENDEMENTS
II.II.1.1.1 Comportement limite de la loi exponentielle
II.II.1.1.2 Comportement limite de la loi de Pareto
II.II.1.1.3 Comportement limite de la loi normale
II.II.1.2 MAXIMUM DE VRAISEMBLANCE
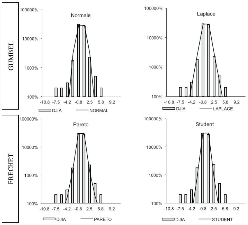
Supposons que notre échantillon des excès X = (X1, X2,…, XNu) est indépendante et identiquement identifiée avec comme fonction de distribution la GPD. Nous obtenons les équations de maximisation à partir desquelles nous calculons les estimateurs du maximum de vraisemblance. Nous avons donc la log-vraisemblance de chaque loi estimée à partir de la distribution réelle. Ces données sont présentées dans le tableau suivant :
Le maximum de vraisemblance le plus proche est celui de la loi de Pareto avec 86.54. Le domaine d’attraction maximum est donc celui de la loi de Fréchet.







