Afin de se donner des objectifs concrets de rééducation qui se basent sur la performance de la personne en terme de distance, il faut que je modélise la relation qu’il existe entre les valeurs métriques recueillies lors des tests de marche et le pourcentage de mise en charge du poids du corps. Toute extrapolation des performances des sujets pathologiques ne pourra se faire qu’à l’aide de ce genre d’outil. Les figures 16 présentent ces modélisations et les équations qui en découlent.

Figure 16.1 Modélisation de la performance du test de marche en fonction de la mise en charge corporelle et de la distance parcourue chez le groupe sain.
Connaissant les valeurs de distance au sec (100% de remise en charge), en immersion à l’ombilic (60% de remise en charge) et en immersion au niveau de l’appendice xiphoïde (40% de remise en charge), j’ai pu placer ces trois points sur le graphique et tracé une courbe polynomiale et trouver son équation du second degré. L’équation qui régie les performances lors du test de marche chez le sujet sain est : Y = 0,0195X2 + 0,1065X + 138,22. X correspond à la mise en charge du poids du corps et Y, la distance parcourue. De ce fait, nous avons la possibilité de calculer la distance moyenne qu’un sujet sain peut réaliser en moyenne lors de ce test de marche pendant 6 minutes, pour différentes valeurs de % de masse corporelle ressenti en immersion.

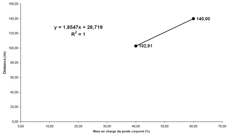
Figure 16.2 Modélisation de la performance du test de marche en fonction de la mise en charge corporelle et de la distance parcourue chez le groupe pathologique
Le graphique du groupe pathologique ne possède que deux points, ce qui me donne une relation linéaire Y = 1,8547X + 28,719. X correspond à la mise en charge du poids du corps et Y, la distance parcourue.
Les patients passent par plusieurs stades dans l’évolution de leur pathologie selon une échelle de temps qui est, soit défini par la prise en charge au sein des établissements de santé, soit par l’évolution de la pathologie elle-même. Dans le premier cas, il faut tester les patients en début de prise en charge, en milieu et en sortie, dans l’autre, il faut tester les patients lorsqu’ils passent d’une mise en charge du poids du corps minime, puis moyenne et enfin complète afin de considérer les évolutions, si évolutions il y a.
Dans le cas de cette relation linéaire établie en figure 16.2, entre la distance parcourue et la mise en charge du poids du corps les patients recrutés étaient soit en début, milieu ou fin de séjour. De ce fait l’équation en terme de temps, n’a pas sa place dans un suivi temporel. Même si les tests au sec n’ont pas été effectués, cette équation peut calculer des valeurs de Y (distance) qui sont moyennes vis-à-vis d’une pathologie donnée à un niveau d’immersion donné.
La figure 16.3 présente les équations de chaque sous groupe de pathologies. De plus, l’écart temporel qui sépare la date d’hospitalisation et la date des tests a été calculé (« date d’hospitalisation » ou « la date de survenue du handicap » – « date des tests de marche »). Cet écart est présenté en tableau 15, ces résultats devraient être plus parlant au regard d’une comparaison éventuelle entre les performances d’un patient et ces données. Cet écart n’a pas pu être calculé pour le sous groupe RFR à cause d’un manque de données.

Figure 16.3 Modélisation de la performance du test de marche en fonction de la mise en charge corporelle et de la distance parcourue chez les sous groupes de pathologies.
Je remarque que le coefficient directeur du groupe RFR est le plus important, conformément aux résultats des distances effectuées par ce groupe comparé aux résultats des autres groupes.
Tableau 15. Ecart temporel constaté entre les dates d’hospitalisation ou date de survenue du handicap et les dates des tests de marche pour les sous groupes pathologies. (M ± SD)

Malgré ce tableau, je ne peux pas dire si les tests de marche étaient en début, milieu ou fin de séjour au centre l’ESPOIR, mais cela donne une indication quant à la relation entre les performances des sujets et le nombre de jours moyen nécessaire à cette performance.
