Basé sur les mêmes données statistiques que celle du point précédant, ce point comporte une présentation générale et une constitution du modèle, des traitements statistiques, des intervalles de prédiction et la prévision par la tendance.
Ainsi, nous procédons à différents tests statistiques.
II.2.2.1. Test Global du modèle à quatre variables
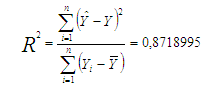
Ce test nous permet de vérifier si l’explication du prix par les variables quantités importées d’essence, prix du baril de pétrole et taux de change du dollar américain est globalement valide. Il importe d’abord de déterminer le degré d’explication à l’aide de la formule :
Tel que fourni par l’utilitaire d’analyse Ms Excel 2003.
Ce qui révèle que le prix du litre d’essence s’explique à 87,19% par les variables quantités importées d’essence, prix du baril de pétrole et taux de change du dollar américain pris concomitamment ; les autres variables restant inchangés, comme par ailleurs. D’où le test aux étapes suivantes :
D’une manière synthèse, cela se résume dans le tableau ci-après :
Tableau 9 Test Global du Modèle Multifactoriel
Source : Nos Calculs sur Ms Excel dans l’Utilitaire d’Analyse-Régression
5°) Décision et Conclusion : Nous constatons que F cal= 36,3006455 est supérieur à Fth= 3,24. Nous concluons que le modèle est globalement valide ; d’où le coefficient de détermination est significativement non nul.
II.2.2.2. Test Individuel et Intervalles de prédiction des paramètres
Dans ce point nous testons la validité des paramètres de régression multiple en essayant de les situer dans des intervalles par inférence à un modèle global de détermination du prix du litre d’essence à la pompe sur base des variables quantités, prix du baril de pétrole et taux de change du dollar américain.
Par rapport au test des paramètres de régression, nous procédons par les étapes suivantes :
Tableau 10 Test Individuel du Modèle Multifactoriel
6°) Conclusion : Comme les valeurs calculées de T pour les trois premières variables sont inférieures à la valeur théorique au seuil de 5%, nous concluons que les variables quantités importées d’essence et prix du baril de pétrole exercent des influences moins significatives sur le prix du litre d’essence en ville de Butembo.
Le taux de change du dollar américain affecte quant à lui significativement le prix de vente de l’essence à la pompe en ville de Butembo.
– Si les quantités importées de l’essence en ville de Butembo varie de 1%, le prix d’un litre de ce pro duit vendu à la pompe subira une variation de signe contraire équivalant à environ 0,112%. Ce qui soutient la théorie du prix par rapport aux quantités, selon laquelle quand les quantités augmentent le prix baisse dans une certaine proportion car les acteurs se recherchent et veulent être compétitifs sur le marché en usant d’une certaine domination sur le prix.
– Le prix du litre d’essence et le prix du baril de pétrole brut sont plus que proportionnellement liés à tel enseigne que quand le second varie d’1%, cette transformation se traduit par une autre d’environ 2,9% au premier. Cela s’explique par le fait que l’essence est un sous-produit du pétrole ; et ce l es mutations de leurs prix doivent être reliées, à la limite.
– Si le taux de change varie de 1%, le prix du litre d’essence vendu à la pompe en ville de Butembo varie pour le même signe d’environ 1,506 %. Cela traduit la phobie des investisseurs et opérateurs économiques intervenant dans le secteur de distribution des produits pétroliers qui craignent de faire subir leurs activités une large influence négative de la conjoncture suite à l’instabilité du taux de change.
Le terme constant aurait un sens économique si l’on peut estimer que les trois variables explicatives peuvent s’annuler au même moment et le prix continuer à exister ; pourtant on ne peut parler du prix d’un produit sans qu’il n’y ait une certaine quantité de ce produit, non moins à l’absence de la matière première principale à partir de laquelle cette denrée est produite, mais aussi tout en considérant que la monnaie servant d’unité de mesure du prix a aussi une valeur nulle. Cette clause coupe cours à toutes les spéculations qui tenteraient de remettre en cause la négativité du terme constant.
Il importe en outre de situer les différentes incidences des variables dans des intervalles de prédictions par la procédure ci-après :
Ainsi, par inférence au modèle global, nous sommes confiant à 95% que :
– Le terme constant se situe entre -419 et 126 ;
– L’incidence de la variation à 1% des quantités importées de l’essence sur le prix du litre de ce produit à la pompe se situe entre -0,26239728 % et 0,03904006 % ;
– L’influence de 1% de variation du prix de baril de pétrole sur le prix du litre d’essence à la pompe se situe entre -0,37889146 % et 6,12727892 % ;
– La variation d’1% du taux de change du dollar américain se traduira par une incidence située entre 1,16882131 % et 1,84383617 % au niveau du prix de vente du litre d’essence à la pompe en ville de Butembo.
Il sied par ailleurs de situe r la fourchette de variation du prix de vente du litre d’essence à la pompe tenant compte de ces trois variables explicatives.
II.2.2.3. Prévision par la tendance du modèle
Dans ce point nous procédons par une prévision à la tendance ; la finalité de toute analyse liée des facteurs étant de préciser l’intervalle approximé de variation de la variable étudiée. Nous faisons appel aux observations des variables explicatives à la première période après tendance.
Nous sommes confian ts à 95% que le prix du litre d’essence au premier trimestre 2011 est compris entre 1261,04 CDF et 1524,92 CDF. Il est clair que le prix trimestriel moyen du litre d’essence vendu à la pompe a augmenté dans l’intervalle de la prévision par la tendance car il a été 1433,33 CDF, valeur appartenant bien à l’intervalle allant de 1261,04 CDF jusqu’à 1524,92 CDF.
Page suivante : Conclusion Générale
Retour au menu : La vente des produits pétroliers par les stations-service en ville de Butembo










