Les modèles économiques de la différenciation des produits basés sur une demande de caractéristiques prennent le contre-pied de la théorie de la concurrence monopolistique, pour laquelle le consommateur était un concept éludé et le producteur le concept central. La nouvelle théorie de la demande du consommateur propose une démarche opposée : la différenciation des produits est due au choix de caractéristiques de consommateurs. Les consommateurs ont à choisir un certain nombre de produits sur un marché, les producteurs n’ont qu’à s’adapter aux conditions du marché. Il n’est donc plus question, comme auparavant, du pouvoir de marché du producteur, mais de pouvoir de choix du consommateur. Il n’est pas pour autant question de prétendre à inutilité de ce type de modèles pour les producteurs, comme nous pourrons le voir dans la deuxième partie.
Nous verrons donc dans ce chapitre en premier lieu le modèle de différenciation spatiale de Hotelling (paragraphe I), puis nous développerons le modèle de Lancaster de 1966 (paragraphe II).
I – LE DUOPOLE DE HOTELLING
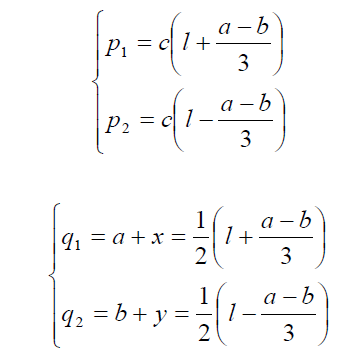
Hotelling(54) part, comme Chamberlin, de travaux de Sraffa. Sraffa décrit(55) le marché comme un ensemble de monopoles géographiquement restreints où chaque offreur peut être considéré comme étant un monopoleur sur une zone précise. Hotelling renforce cette idée en présentant un système de duopole : deux offreurs se situent sur une droite, pouvant être aussi bien une ruelle que le chemin de fer de l’orient-express(56). L’auteur suppose un coût de production identique chez les deux offreurs et chaque vendeur émet son prix pour son bien. Hotelling considère c comme le coût de transport par unité de distance identique pour tous les demandeurs. Une nouveauté de Hotelling est qu’il suppose que le choix du consommateur n’est pas influencé que par le prix du bien tel qu’il est proposé par l’offreur, mais il faut y ajouter le coût de transport par unité de distance qu’il a défini. Dans le cas de ce type de duopole, chaque vendeur (A et B) propose un prix (p1 et p2) et vend une quantité (q1 et q2).
figure 16(57)
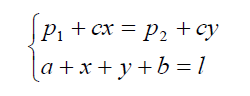
La figure 16 montre un segment de longueur l, où a représente la distance entre l’offreur A et l’extrémité gauche du segment, où b représente la distance entre l’offreur B et l’autre extrémité, x est la part de marché de A et y celle de B. Hotelling aboutit au résultat de dépendance des prix des offreurs :
Hotelling explique que si un offreur, ici B, augmente son prix de telle sorte que celui-ci soit supérieur à celui de A majoré de son coût de transport entre A et B, alors A emporte la totalité du marché. D’après cette relation, on peut démontrer que la part de marché x de A diminue lorsque le différentiel de coûts p1-p2 augmente. Au point de jonction entre x et y, on obtient le système d’équation suivant :
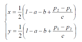
Dans ce système, on combine les contraintes de prix (égalité des prix totaux des biens au point de jonction) et de taille du marché. On peut en déduire les parts de marché des offreurs :
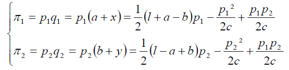
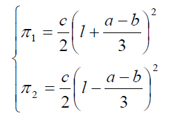
Puis évaluer les profits respectifs de A et B(58) :
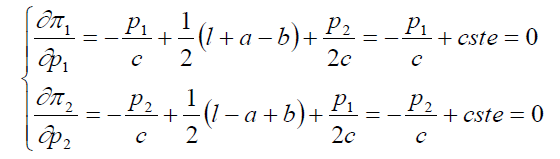
Une fois obtenus les profits des offreurs, on peut calculer leur dérivées afin de maximiser le système :
On obtient de ce système les résultats suivants(59) :
De ces résultats, l’auteur présente un graphique, ayant pour repère les prix des deux marchandises. Pour chaque offreur, les équations de courbe de profits représentent une famille d’hyperboles ayant une même asymptote oblique, les deux droites qui se croisent en E représentent les droites qui annulent les dérivées premières des équations de profit. Ainsi, la courbe qui croise l’axe des abscisses est celle qui maximise le profit de A; par exemple, si A se trouve dans la situation Q, où B a fixé son prix, il sera préférable pour A de fixer son prix en R, le point qui maximise son profit, en lui faisant obtenir un profit p1. A son tour, B réajustera son prix afin de maximiser son profit en fonction du prix de A pour atteindre S, et ainsi de suite. On aboutit à un équilibre en E où les deux offreurs obtiennent un profit maximum en fonction du prix de l’autre offreur (p1 et p2).
figure 17(60)
Comme l’auteur l’indique, une collusion peut apparaître entre les offreurs afin d’obtenir des profits supérieurs en maintenant des prix artificiellement élevés. Cependant, ce type de collusions tombe dès lors qu’un concurrent se trouve face à un problème – tel qu’un besoin de trésorerie. L’auteur en déduit donc que les frémissements d’activités assurent à l’économie un équilibre stable dans ce type de situations(61).
Après avoir obtenu des résultats cohérents, l’auteur tente de pousser l’analyse pour étudier les comportements des offreurs lorsqu’ils sont confrontés à un cas de concurrence.
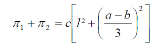
Si on remplace donc maintenant dans les équations de profit les valeurs des prix et des quantités par celles qui sont obtenues à l’équilibre, on obtient(62) :
Si on suppose maintenant que A est fixe, on voit que B se placera de telle façon que son profit p2 soit maximum. Dans ce cas-là, B devra faire de telle sorte que b soit le plus élevé possible. Il devra donc se tenir aussi proche de A que possible en faisant attention de se trouver du côté lui procurant la plus grande part de marché. Une autre analyse faite par Hotelling(63) passe par la considération du profit total des deux offreurs :
Dans ce cas, si un offreur possède deux points de ventes dans un même espace, il aura intérêt à maximiser (a-b)², donc à éloigner le plus possible les deux points de ventes dans cet espace(64).
L’analyse exposée ici s’effectue sur un critère spatial. Cependant, comme le précise l’auteur, ceci ne s’est fait qu’en raison de la simplicité des raisonnements et des démonstrations qui en découlaient. On peut néanmoins étendre l’analyse à d’autres paramètres plus qualitatifs(65). Nous pouvons cependant extrapoler cette démonstration vers l’étude du comportement du consommateur envers des caractéristiques. Si on suppose maintenant qu’un acheteur se trouve en un lieu et qu’il doit choisir entre deux biens, en prenant l’hypothèse de rationalité de l’agent, nous pouvons présenter une échelle sur laquelle se situent tous les besoins des acheteurs. Si on considère chaque extrémité comme étant une caractéristique d’un produit, alors l’emplacement du produit sur cette échelle représentera l’importance relative de cette caractéristique inclue dans le bien. De cette manière, si on prend pour exemple l’automobile, on peut imaginer une échelle entre la vitesse et la consommation. On peut alors placer une voiture de sport plus proche de l’extrémité “vitesse” et une voiture de ville plus proche de l’extrémité “consommation”. Dans ce type de présentation, on peut prendre c comme un coût de préférence, c’est-à-dire le différentiel de coût que l’acheteur est prêt à payer afin d’obtenir la caractéristique voulue. On peut aussi considérer c comme étant alors le degré de substituabilité entre les produits d’un même groupe.
II – LE MODELE DE LANCASTER.
K. Lancaster propose(66), une nouvelle analyse de la différenciation des produits. Contrairement à E. Chamberlin(67), il ne cherche pas à décrire un nouveau concept de marché puis à en observer les conséquences sur la théorie de la valeur. Sa théorie se fonde plus sur une explication de l’origine de la différenciation du point de vue du consommateur. Il est évident que la différenciation des produits n’existerait pas si les producteurs n’avaient pas intérêt à agir de telle manière. Mais il est aussi évident qu’il ne serait pas profitable de produire des biens différenciés si les consommateurs ne voulaient que des produits identiques et normés, ce qui fait l’intérêt de ce type de modèle, dont l’objet est d’étudier ce même problème.
A – Le modèle de base.
Lancaster estime que l’utilité d’un bien ne lui est pas intrinsèque. Chaque bien contient un certain nombre de caractéristiques qui, elles, peuvent être utiles au consommateur(68). Un bien peut évidemment posséder plus d’une caractéristique, et la combinaison de plusieurs biens peuvent aboutir à l’apparition de nouvelles caractéristiques qui n’existaient pas auparavant au sein des biens combinés(69). Une telle analyse est basée sur une conception précise de la notion de caractéristiques(70).
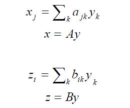
En fait, l’auteur, pour expliquer le choix du consommateur, propose un modèle vectoriel. Il se compose de trois vecteurs (x : vecteur d’activités; y : vecteur de biens consommés; z : vecteur de caractéristiques) et de deux matrices (A matrice des propriétés intrinsèques des biens et B matrice de coefficients objectifs de montants de caractéristiques)(71).
On note par r, m et n le nombre respectivement de caractéristiques, d’activités et de biens. On appelle U(z) la fonction d’utilité des caractéristiques, supposée convexe. On peut donc déjà indiquer que le choix du consommateur se résume à maximiser sous contrainte sa fonction d’utilité de caractéristiques(72).
Mais, au vue de la complexité de ce modèle, Lancaster a développé un modèle simplifié(73) :
Dans cette relation, Lancaster appelle la matrice B la “technologie de consommation”(74), en raison de son rôle d’outil d’aide à la décision dans le choix de consommation d’un agent(75). Cette relation est en fait une transformation d’un espace G (biens) vers un espace C (caractéristiques) afin de pouvoir effectuer une comparaison entre des données d’espaces différents(76).
B – Technologie de consommation, diagrammes et choix du consommateur.
Lancaster se propose donc pour faire une analyse structurelle (relations entre les lignes et les colonnes de la matrice, et si celle-ci est décomposable) plutôt que qualitative (signe des éléments de la matrice)(77). On suppose dès maintenant que la matrice que nous allons étudier est incompressible : aucune ligne ni aucune colonne n’est linéairement dépendante des autres lignes ou colonnes.
Si le nombre de caractéristiques et celui des biens sont égaux, alors il y a une relation univoque entre biens et caractéristiques. Il y a donc une et une seule solution permettant de maximiser U(z) sous contrainte. Si le nombre de caractéristiques est supérieur au nombre de biens, nous nous trouvons dans un cas de sociétés primitives. Si le nombre de caractéristiques est inférieur au nombre de biens, ce qui représente le type de modèles que nous étudierons par la suite, nous nous trouvons dans le cas d’une économie complexe dans laquelle doit s’exercer un choix avec optimum(78).
Si on considère les coefficients de la matrice comme fixes, nous pouvons alors résoudre le problème – même si tel n’est pas le but – sous la forme d’un programme linéaire. En prenant un modèle à deux caractéristiques et plusieurs biens, il est possible de conceptualiser plus clairement le système grâce à la figure suivante :
figure 18(79)
Les axes représentent les caractéristiques, chacune des droites (B1 à B5) représente un bien possédant les caractéristiques en rapport constant. Pour chaque bien est fixé un point, qui représente le rapport entre le revenu de l’individu et le prix du bien. La liaison de deux points (biens) entre eux est la frontière de caractéristiques(80).
Chaque individu possède sa propre courbe d’indifférence, U(z), qui représente la même utilité – en tout point – donnée par les caractéristiques proposées. La courbe d’indifférence ne donne plus le choix entre deux biens mais entre des caractéristiques.
figure 19(81)
Le choix s’effectue alors à deux niveaux. Il y a d’abord un choix d’efficience (objectif), qui est l’intersection entre la courbe d’indifférence et une frontière de caractéristiques. Il y a ensuite un choix privé (subjectif) qui est celui du point précis sur la frontière. Sur chaque frontière de caractéristique, le consommateur peut choisir entre les deux biens qui lui sont proches(82). Le diagramme ci-dessous montre le système de choix du consommateur.
C – Caractéristiques du produit et diagramme de Lancaster
Sur le diagramme ci-dessous, le consommateur fait son choix sur la droite z*, en E*. Ceci représente un choix entre les deux bien (1) et (2). Lorsque le prix du bien (2) augmente suffisamment, le point E2 disparaît et est replacé sur la droite (2) au point E’2, qui représente un nouveau rapport entre le budget et le prix ajusté de ce bien. Le résultat se fait ressentir sur la droite de choix z*.
figure 20(83)
Alors qu’auparavant le consommateur faisait un choix entre le bien (1) et le bien (2) au point E*, le changement de prix du bien (2), qui le fait passer sous le seuil de “rentabilité” de la fonction d’utilité de caractéristiques, entraîne un nouveau choix du consommateur qui se place sur une autre droite z*, et cette fois-ci sur la frontière de caractéristique E1E3. Cette substitution a donc lieu d’un choix entre les biens (1) et (2) vers un nouveau choix entre les biens (1) et (3)(84). Il peut exister deux types d’effets de substitution : un changement des prix relatifs des biens peut entraîner, comme nous venons de le voir, le glissement d’un ensemble de biens vers un autre groupe, avec pour conséquence l’élimination totale d’un des biens du choix du consommateur (dans ce cas-là, le groupe de caractéristiques reste constant), ou bien un changement des prix relatifs peut entraîner le changement de la pente de la frontière de caractéristiques. A ce moment-là, la substitution a lieu entre un groupe de caractéristiques et un autre groupe. Il faut cependant savoir que si le choix du consommateur se porte sur un des angles du polyèdre, alors le choix du consommateur reste insensible à ce changement de pente, il n’y a donc pas, dans ce cas, d’effet de substitution. La question qui se pose alors, c’est la réaction du consommateur face à l’introduction d’un nouveau bien dans le groupe d’activité. Pour traiter ce problème, nous pouvons reprendre le diagramme de base du modèle :
figure 21(85)
Comme le montre la figure, l’introduction d’un nouveau bien(86) peut avoir plusieurs effets, selon son prix relatif. On considère un groupe d’activités ayant deux caractéristiques (z1 et z2), trois biens au départ – les biens (1), (2) et (3) – et l’introduction d’un nouveau bien – le bien (n).
Il peut d’abord se trouver sous la frontière de caractéristique des deux biens qui l’entourent (ou même sur celle-ci), ce qui ne change rien à l’ordre de choix définit avant son arrivée. Que ce bien soit introduit ou pas n’a aucun résultat sur le marché.
Ce cas correspond au segment de la droite (n) allant de l’origine au point D. Si le prix est suffisamment bas pour atteindre le point D’, un nouveau type de choix a lieu. Le nouveau bien grignote une partie de la part de marché des deux biens qui l’entourent. Le choix s’est élargi, on est passé d’un choix entre trois biens à un choix entre quatre biens.
Si le prix baisse encore, jusqu’à atteindre le point D”, le bien (2) disparaît des opportunités de choix de consommations, puisque celui-ci se situe sous la frontière de caractéristiques des biens (3) et (n). Dans ce cas, le bien (1) perd une partie de sa part de marché alors que le bien (3) peut très bien en gagner. Le nouveau type de consommation tourne donc autour d’un choix de nouveau à trois biens, mais un des biens est différent.
Si le prix est tel que l’on se trouve au point D”’, le nouvel équilibre de choix verra disparaître non seulement le bien (2) mais encore le bien (1). A ce moment là, l’introduction d’un nouveau bien réduit le champ du choix du consommateur.
Lancaster aboutit à la conclusion de la nécessité d’une institution qui permet d’améliorer l’information liée à la connaissance des divers caractéristiques contenues dans les biens. Cette institution, la publicité d’après l’auteur, est d’autant plus impérieuse que le nombre de caractéristiques et de biens augmente, comme tel est le cas dans les sociétés développées.
D – Technologie de consommation et taxonomie des produits(87).
A partir des matrices proposées dans son modèle complet, Lancaster propose une taxonomie fondée sur la structure de la matrice, et plus particulièrement sur les zéros présents dans la matrice et donc la possibilité de celle-ci d’être décomposée. Si la matrice B contient suffisamment d’éléments nuls afin d’être décomposée sous la forme :
Nous pouvons alors la séparer en deux jeux d’activités, chacun étant relié à un groupe de caractéristiques différent. Si les activités sont reliées à des biens utilisés que pour ce type d’activités, alors un bien de ce “groupe d’activités intrinsèques” ne sera affecté par le changement de prix relatif d’un autre bien que si cet autre bien est inclus dans le groupe, mais ne sera aucunement touché par des changements de prix relatifs de bien n’appartenant pas à ce groupe (des biens de groupes différents sont “intrinsèquement sans relation” alors que des biens d’un même groupe sont “intrinsèquement reliés”). Un groupe d’activités pour lequel chaque activité a une relation univoque avec un bien, les biens sont parfaitement substituables si les groupes de caractéristiques reliés a chacun des biens ne diffèrent que d’un scalaire; alors que si les groupes de caractéristiques sont similaires, il s’agit alors de substituts propres. Si une activité requière plus d’un bien et que ceux-ci ne sont pas utilisés dans d’autres activités, ces biens sont parfaitement complémentaires et consommés en proportions fixes(88).
III – CONCLUSION
Comme nous venons de le voir, les approches de Hotelling mais surtout de Lancaster complètent la théorie micro-économique standard sur le plan du comportement du consommateur. Nous pouvons retenir un certain nombre de propositions de l’auteur :
– La notion de caractéristiques intégrées dans les biens.
– Le diagramme explicatif du choix du consommateur, mais aussi de l’introduction de nouveaux produits.
– La nouvelle forme de la courbe d’utilité.
Outre ces différents points, l’analyse de Lancaster a été développée suivant deux courants distincts. Le premier s’est dirigé vers la différenciation internationale du travail, alors que la seconde a surtout permis de développer une nouvelle base théorique pour le marketing(89).
CONCLUSION PARTIE I
Les modèles de théories décrits précédemment présentent des approches diverses de la différenciation des produits. Les modèles de l’offre de produits sont opposés : pour l’un, les biens sont tous identiques et les producteurs sont anonymes alors que, pour l’autre, tous les biens sont différenciés et les vendeurs jouent un rôle de personnalisation des producteurs. La nouvelle approche de la demande n’entre pas dans le débat mais cherche plutôt à expliquer le comportement des consommateurs face à une offre de produits différenciés.
Dans la partie qui suit, nous verrons les liens qui unissent ces modèles de micro-économiques et le système dominant de production depuis le début du siècle et jusqu’aux années 80.
54 Hotelling H., 1929, “Stability in competition”, The Economic Journal, vol. XXXIX, Mars 1929, pp. 41-57.
55 Sraffa P., 1926, “The laws of returns under competitive conditions”, The Economic Journal, vol. XXXVI, Décembre 1926, pp. 535-40.
56 Hoteling H., Op. Cit., p. 45 : “Les acheteurs d’une marchandise sont supposé uniformément distribués le long d’une ligne de longueur l, qui pourrait être la grand rue d’une petite ville ou un chemin de fer transcontinental.”
57 Hoteling H., Op. Cit., p. 45, Fig. 1.
58 Hoteling H., Op. Cit., p. 46.
59 Hoteling H., Op. Cit., pp. 46-47.
60 Hoteling H., Op. Cit., p.47, Fig. 2.
61 Hoteling H., Op. Cit., p. 48 : “Quelque chose telle qu’une collusion tacite existera qui devra maintenir les prix au-delà du niveau immédiatement profitable à condition d’obtenir des profits supérieurs dans le long terme.
“Mais les ententes entre les concurrents sont notoirement fragiles. Si un des hommes d’affaires, disons B, a soudainement besoin d’argent. Il aura une ressource immédiatement disponible : s’il diminue légèrement son prix, il augmentera ses ventes.”
62 Hoteling H., Op. Cit., p. 50.
63 Hoteling H., Op. Cit., p. 52.
64 Hoteling H., Op. Cit., p. 52 : “Alors, un offreur pouvant déterminer la localisation d’un futur magasin, (…), possède un motif pour créer une situation aussi assymétrique que possible; pour celà, plus il y a manque de symétrie, plus grande sera la différence (a-b)², qui apparait dans l’expression de profit total.”
65 Hoteling H., Op. Cit., p. 44 : “Si un vendeur augmente trop son prix il perdra graduellement du terrain sur ses concurrents (…). De nombreux concurrents continueront à commercer de préférence avec lui parce qu’ils habitent plus prêt de son magasin, (…), ou parce que sa manière de traiter les affaires est plus à leur goût, ou parce qu’il vend d’autres produits dont ils ont besoin, (…)”
66 Lancaster K., 1966, “A new approach to consumer theory”, Journal of Political Economy, n° 74, pp. 132-57, et 1971, Consumer demand, a new approach, Columbia University Press, New-York et Londres.
67 Chamberlin E.H., Op. Cit.
68 Lancaster K., 1971, Op. Cit., se base sur deux hypothèses de travail, p. 7:
“(1) Tous les biens possèdent des caractéristiques objectives ayant à voir avec les choix que les gens font parmi différentes collections de biens. La relation entre une quantité donnée d’un bien (ou une collection de biens) et les caractéristiques qu’il possède est essentiellement technique, qui dépend des propriétés objectives du bien et, parfois, un context de “savoir-faire” tels que ce que peut faire le bien, et comment.
(2) Les individus diffèrent dans leurs réactions à différentes caractéristiques, plutôt que dans leur évaluation du contenu de caractéristiques de différentes collections de biens. Ce sont les caractéristiques auquelles les consommateurs sont attachés.”
69 Lancaster K., 1966, Op. Cit., p. 134 : troisième hypothèse du modèle “Des biens combinés peuvent posséder des caractéristiques différentes de celles possédées par les biens séparemment”.
70 Lancaster K., 1971, Op. Cit., p. 114 : “Il est essentiel qu’une caractéristiquesoit une propriété objective, universelle du bien (ou de l’activité). L’essence de toute l’analyse nécessite que les réactions personnelles soient des réactions aux caractéristiques, non pas des réactions sur ce qu’est la caractéristique. Ainsi la calorie contenue dans un bien ou la capacité de réfrigération d’un système d’air conditionné est une caractéritique – c’est une propriété objective – mais la “beauté”, qui est personnelle à chaque individu, ne l’est pas.”
71 Lancaster K., 1966, Op. Cit., p. 135.
72 Lancaster K., 1966, Op. Cit., p. 135 décrit la fonction d’utilité comme étant convexe.
73 Lancaster K., 1966, Op. Cit., pp. 136-7.
74 Lancaster K., 1971, Op. Cit., pp. 15-19.
75 Lancaster K., 1971, Op. Cit., ajoute, p. 16, “Notez que la relation z=Bx implique un unique vecteur de caractéristiques (z) associé à un vecteur donné de biens (x).”
76 Lancaster K., 1966, Op. Cit., p. 137.
77 Lancaster K., 1966, Op. Cit., pp. 137-40
78 Lancaster K., 1966, Op. Cit., p. 138, propositions 1, 2 et 3.
79 Inspiré de Lancaster K., 1966, Op. Cit. et Lancaster K., 1971, Op. Cit.
80 Lancaster K., 1966, Op. Cit.
81 Adapté de Lancaster K., 1966, Op. Cit.
82 Lancaster K., 1966, Op. Cit.
83 Adapté de Lancaster K., 1966, Op. Cit., p.141.
84 Lancaster K., 1966, Op. Cit.
85 Lancaster K., 1966, Op. Cit., p. 149.
86 Lancaster K., 1966, Op. Cit., pp. 149-51.
87 Lancaster K., 1966, Op. Cit., pp. 137-40.
88 Lancaster K., 1966, Op. Cit.
89 Voir les liens entre la nouvelle théorie du consommateur et le marketing dans la deuxième partie de ce mémoire.
Page suivante : PARTIE II : DIFFERENCIATION DES PRODUITS ET ORGANISATION DE LA PRODUCTION
















