Cette enquête sur terrain a été réalisée à Alger du 27 janvier au 07 février 2012.
Pendant cette période, j’ai distribué un questionnaire que j’avais préparé auparavant aux passants qui devaient le remplir en place et me le remettre.
En raison de la courte durée de mon séjour à Alger, la distribution du questionnaire a été localisée essentiellement dans deux zones : à proximité de la mosquée Ketchaoua, et à l’école polytechnique d’architecture et d’urbanisme à Alger.
Ce qui fait que l’échantillon des personnes qui ont répondu au questionnaire ne peut être représentatif de la diversité des habitants de la ville, en plus de ça, le nombre limité de cet échantillon ne me permet pas de tiré aucune conclusion de cette enquête. Par conséquent, les résultats de cette enquête ne sont présents en annexe du mémoire qu’a titre informatif.
Le questionnaire a été préparé dans les deux langues (arabe et française) et été précédé par cette introduction :
Dans le cadre de la préparation de mon mémoire de master recherche patrimoine et conservation restauration à l’Université Paris I Sorbonne-Panthéon au sujet de :
« La conversion des lieux de culte en Algérie du 19ème-20ème siècle, cas de la mosquée de Ketchaoua –ancienne cathédrale Saint Philipe- »
Je vous prie de remplir ce questionnaire anonyme qui ne servira que pour l’élaboration de ce mémoire dans lequel seront publié les résultats.
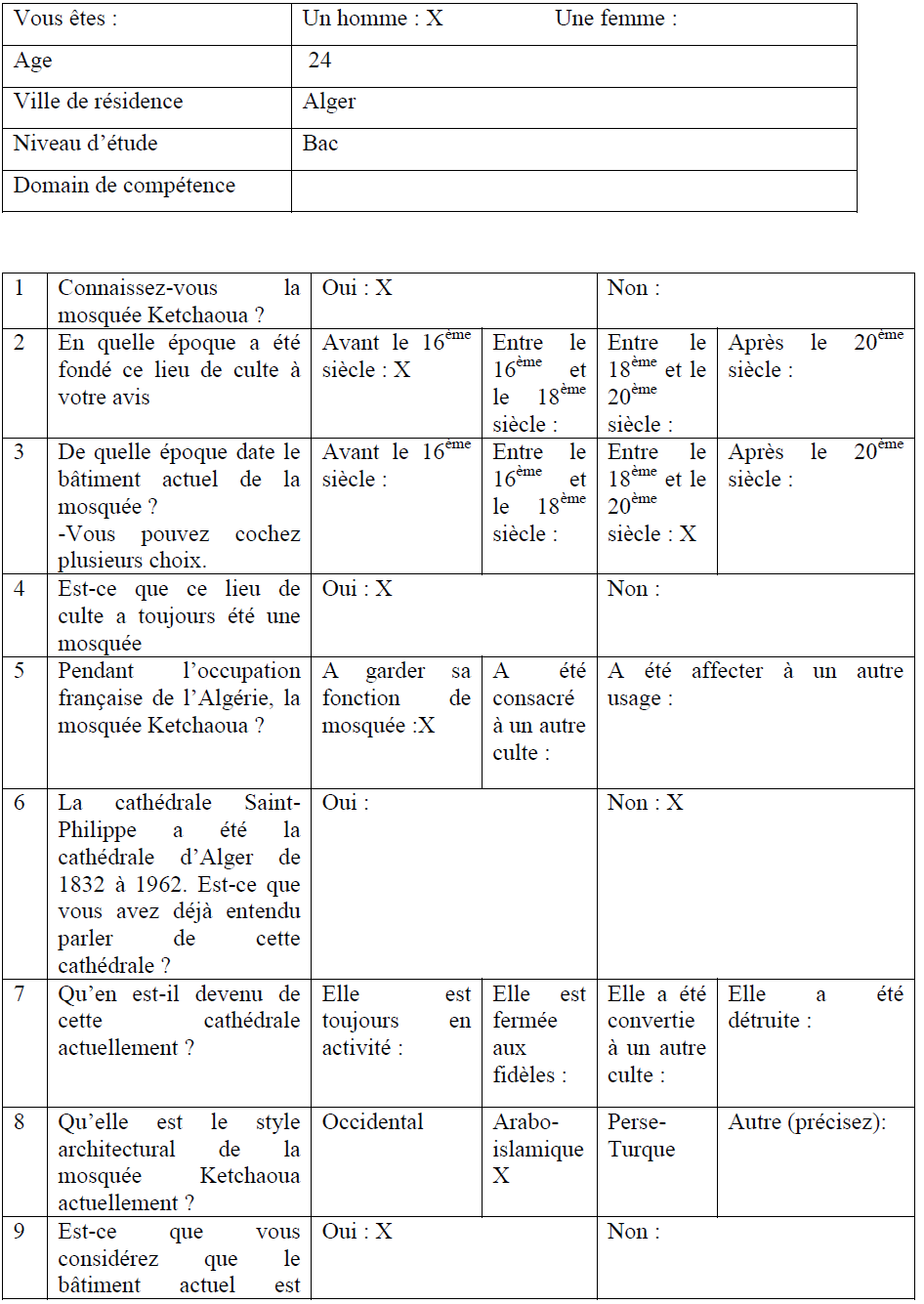
Questionnaire N°01
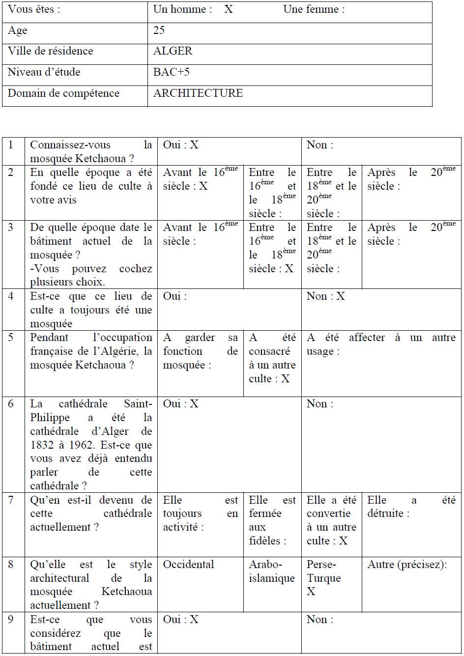
Questionnaire N°02
Questionnaire N°03
Questionnaire N°04
Questionnaire N°05
Questionnaire N°06
Questionnaire N°07
Questionnaire N°08
Questionnaire N°09
Questionnaire N°10
Questionnaire N°11
Questionnaire N°12
Questionnaire N°13
Questionnaire N°14
Questionnaire N°15
Questionnaire N°16
Questionnaire N°17
Questionnaire N°18
Questionnaire N°19
Questionnaire N°20
Questionnaire N°21
Questionnaire N°22
Questionnaire N°23
Questionnaire N°24
















































