Gagne de la cryptomonnaie GRATUITE en 5 clics et aide institut numérique à propager la connaissance universitaire >> CLIQUEZ ICI <<

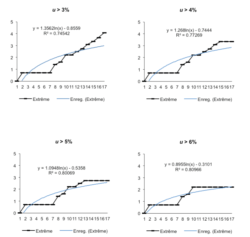
ANNEXE A. Graphiques : Sélection de seuil

Non classé

Sélection de seuil

Page suivante : ANNEXE B. Stratégie : Synthèse générale

Retour au menu : PEUT-ON EVITER LES CRISES ? MESURE DU RISQUE DE MARCHÉ ET THÉORIE DES VALEURS EXTRÊMES : UNE VISION QUANTITATIVE DU RISQUE EXTRÊME APPLIQUÉE À LA CRISE DES SUBPRIMES