Gagne de la cryptomonnaie GRATUITE en 5 clics et aide institut numérique à propager la connaissance universitaire >> CLIQUEZ ICI <<

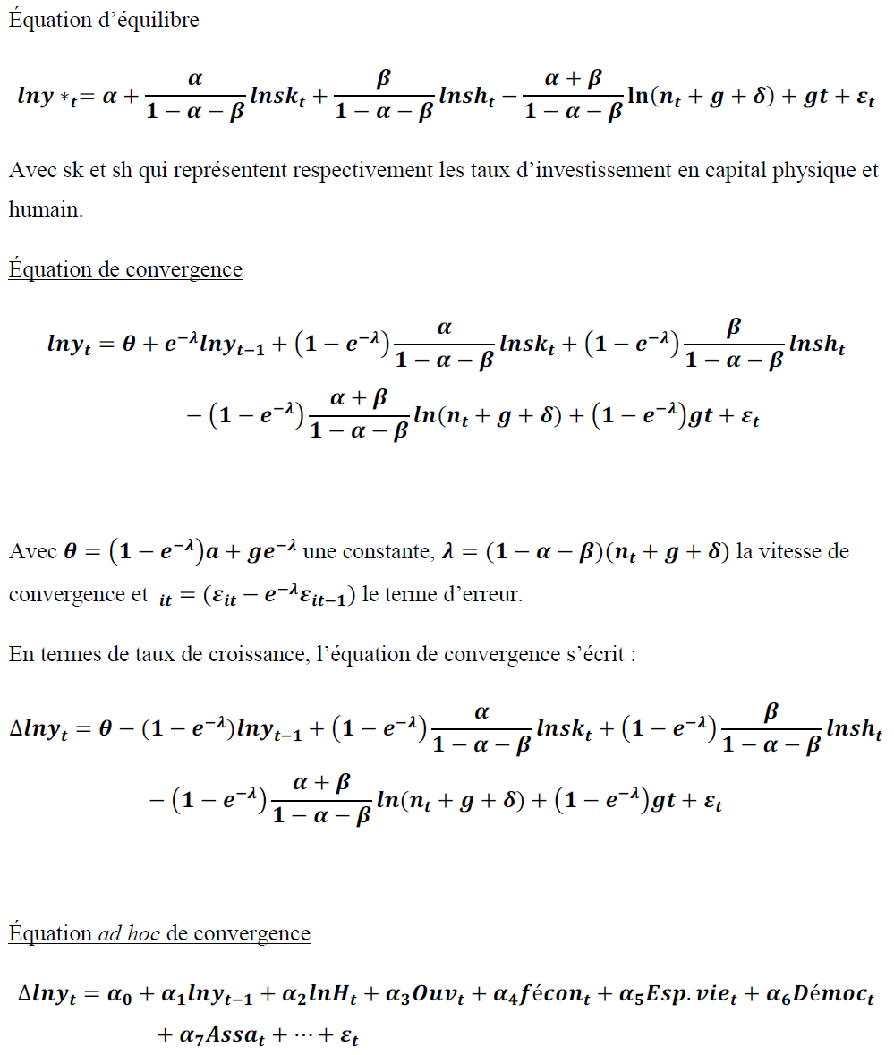
Annexe 4 : les fonctions de production

Non classé

les fonctions de production

Retour au menu : REGIMES DE CHANGE ET CROISSANCE ECONOMIQUE DANS LA COMMUNAUTE ECONOMIQUE DES ETATS DE L’AFRIQUE DE L’OUEST (CEDEAO)