Gagne de la cryptomonnaie GRATUITE en 5 clics et aide institut numérique à propager la connaissance universitaire >> CLIQUEZ ICI <<

3.3.3.2. Spécification du modèle asymétrique

Non classé

La procédure du test de la relation entre la confiance excessive et la volatilité
conditionnelle consiste à déterminer l’effet de la composante du volume de transaction
due aux échanges des investisseurs sur-confiants sur la volatilité conditionnelle des
rendements du marché.
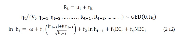
Nous nous proposons d’estimer le modèle asymétrique proposé par Nelson (1991) et
appliqué par Chuang et Lee (2006) : EGARCH (1,1) suivant :

(2.12)

Avec :
– Rt : Le rendement du marché à la date t,
– µt : La moyenne conditionnelle de ???? à la date t sur l’ensemble
d’informations passées,
– nt : Les résidus issus de l’équation de la moyenne conditionnelle à la date (t),
– ht : La volatilité conditionnelle à la date t,
– k : Le paramètre mesurant l’effet d’asymétrie dans le processus EGARCH,
– ECt : La partie du volume de transaction motivée par la sur confiance des
investisseurs à la date t,
– NECt : La composante du volume de transaction motivée par des facteurs
autres que l’excès de confiance à la date t,
– f1 : Le paramètre mesurant la volatilité de la période précédente déterminée
par le résidu carré retardé,
– f2 : Le paramètre mesurant la relation de récurrence entre la variance
conditionnelle à la date (t) à celle de la date précédente,
– f3 : Le paramètre mesurant l’effet de l’excès de confiance sur la variance
conditionnelle,
– f4 : Le paramètre captant l’effet des facteurs autres que l’excès de confiance
sur la variance conditionnelle.

La valeur positive (négative) du paramètre f?? implique que la volatilité
conditionnelle augmente (diminue) de manière synchrone avec le volume de transaction
lié à la confiance excessive des investisseurs. Ainsi, si le biais d’excès de confiance permet
d’expliquer la volatilité excessive conditionnelle des rendements du marché, alors on
s’attend à ce que f3 > f4 > 0 avec f3 est statistiquement significatif.

Tableau 2.11 : effet de l’excès de confiance sur la volatilité conditionnelle des rendements
mensuels du marché (Période : 01 Janvier 2005- 31Décembre 2008)

Tableau 2.11  effet de l’excès de confiance sur la volatilité conditionnelle des rendements mensuels du marché (Période  01 Janvier 2005- 31Décembre 2008)

***, **,* : niveaux de significativité respectivement de 1%, 5% et 10%

Les résultats reportés au niveau du tableau ci-dessus indique que le biais d’excès de
confiance n’as pas d’effet sur la volatilité des rendements mensuelles sur la BVMT. En
effet, la valeur négative du coefficient f3 témoigne que la volatilité conditionnelle diminue
de manière synchrone avec le volume de transactions lié à la confiance excessive des
investisseurs tunisiens. De plus, la significativité et la positivité du coefficient f?? au seuil
de 5% ( f4 = 0,494269) renforce l’absence d’un tel effet.
L’effet asymétrique du modèle E GARCH(1,1) est mis en évidence par le coefficient
(k). Les bonnes nouvelles ont un impact de (f1) alors que les mauvaises nouvelles ont un
impact de (f1+k), ainsi, étant donné que le coefficient (k) est significativement négatif (k=-
0,129758), alors l’hypothèse d’asymétrie selon laquelle l’effet d’un choc négatif sur les
rendements fait augmenter la volatilité plus que ne le fait un choc positif est rejetée.

Nos résultats semblent être en contradiction avec ceux de Harris et Raviv (1993),
Kandel et Pearson (1995), et Chuang et Lee (2006) qui ont affirmé l’existence d’une relation
positive entre le volume de transactions et la volatilité conditionnelle.

Retour au menu : L’énigme de volatilité excessive des cours boursiers : explication par la finance comportementale à travers l’excès de confiance et le comportement grégaire. Validation empirique sur la BVMT.