Le recensement démographique réalisé nous a permis de repartir les différents membres des ménages dans le tableau ci –dessous.
Tableau 15 : Catégorisation de la population des ménages suivis
Le dépouillement des résultats du recensement démographique des 15 ménages suivis donne un effectif total de 63 habitants dont 36 femmes et 27 hommes soit un % respectif de 57% des femmes et 43% des hommes.
Pour 14 ménages recensés, nous avons dénombré 62 habitants c’est-à-dire en moyenne 63/15=4, Individus / ménage. Or lors de notre étude, nous avons dénombré 67ménages pour tout le village.
En extrapolant cette moyenne sur l’ensemble des ménages du village, nous avons environ 281 habitants. La répartition de cette population montre une forte proportion des adolescents suivie de celle des jeunes et cette population est dominée par les femmes.
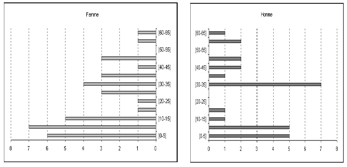
Pour bien examiner la répartition de la dite population ; nous avons établi la pyramide des âges de ces ménages (Figure N°..) où les 63 personnes de notre échantillon sont classées en fonction de leur âge et sexe.
C’est une pyramide à base large qui montre que cette population est jeune constituée majoritairement des adolescents et l’on note également une très faible proportion des populations dont la tranche d’âge comprise entre [15-30[ (surtout les hommes) due aux déplacements vers les zones diamantifères les plus actives pour y trouver leurs comptes et les centres urbains à la recherche d’emplois d’une part et d’autre part le phénomène de mysticisme qui bloquent les jeunes à s’émanciper.
Figure 10: Pyramides des âges des ménages suivis
Les ménages suivis représentent 22% de l’effectif total des ménages du village


