3.3.1. Approche méthodologique
La caféiculture, aussi bien que d’autres activités agricoles, fait face aux changements importants qui viennent de sources différentes qui influencent les décisions du paysan.
Anticiper ces changements, les évaluer afin d’améliorer les processus de production constitue une tache critique et cruciale pour le décideur. Néanmoins, l’anticipation et l’exploration exigent une approche intégrée du système rural, et implique la collaboration entre disciplines distinctes y compris l’économie et l’agronomie. Les approches unidimensionnelles classiques telles que l’approche ”avantage-coût” ou l’analyse économétrique sont moins efficaces a cause de la multiplicité et la non monétarisation de beaucoup de paramètres de décisions touchant les systèmes ruraux de production (LOUHICHI et al, 2004). Plusieurs approches ont été développées pour analyser des interactions dans les systèmes ruraux. La plupart de celles-ci sont basées sur la connaissance de la fonction de production et sur la représentation d’ensembles disponibles de techniques dans un modèle. La fonction de production représente les combinaisons possibles de différents facteurs de production qui peuvent être utilisés pour produire. Les interactions entre intrants et produits rendent leur détermination difficile dans les systèmes ruraux. Ainsi, pour les raisons évoquées précédemment et pour celles présentées aux points sept et huit de la revue de la littérature, nous avons choisi pour cette étude l’approche de modélisation basée sur la programmation mathématique linéaire. La méthode de programmation linéaire repose sur la résolution des problèmes de maximisation ou de minimisation d’une fonction mathématique linéaire (fonction objective), subordonnés à certain nombre de contraintes qui sont aussi linéaires.
La modélisation repose sur un ensemble d’éléments dont la précision de définition et la fiabilité des informations véhiculées sont la garantie de la pertinence des résultats. Dans notre cas, ces éléments se rapportent aux différentes composantes de la caféiculture. Ces éléments sont résumés sous le vocable de variables, de contraintes, de paramètres et de fonction objective.
Les variables sont les éléments du système de production qui varient en fonction des questions que le paysan se pose sur les décisions à prendre. Les variables qui découlent directement de ces questions sont appelées des variables de décision (DJAGNI, 2007). Selon HOSSEIN (2006), ces variables de décision sont des variables contrôlables qui affectent la fonction objective. Les variables de décision sont exprimées en quantité (généralement non négative).
Les contraintes sont les éléments du système de production qui sont de nature à limiter les décisions de l’exploitation. Elles correspondent aux relations entre variables de décision et paramètres. Les seuils de facteurs de production (terre, main d’œuvre et intrants) indispensables pour une production donnée constituent les contraintes. Une contrainte résolue permet à quelques-uns des variables de décision de prendre certaines valeurs et d’exclure d’autres (HOSSEIN, 2006).
Selon HOSSEIN, les paramètres sont des variables non contrôlées. Les valeurs de ces variables peuvent être des valeurs fixes pour un problème particulier. Quant à la fonction objective, elle représente l’objectif du décideur. Selon SCHWEIGMAN (1993) cité par DJAGNI (2007), pour bien prendre en compte les objectifs, on définit une fonction mathématique appelée fonction objective qui permet de maximiser ou de minimiser l’objectif du décideur, (par exemple maximiser le revenu ou minimiser les coûts) sur l’ensemble des valeurs que peuvent prendre les variables.
Les avantages de cette approche sont sa parfaite correspondance avec la théorie microéconomique basée sur le principe d’optimisation; sa simplicité et sa capacité à représenter des systèmes ruraux complexes, par contraste avec un modèle économétrique qui se repose sur une fonction de production. Ses limites sont : son incapacité à reproduire exactement la réalité et la non flexibilité de sa structure (LOUHICHI, 2004). Un autre avantage de la PL est la qualité
améliorée des décisions qu’elle offre (ROBERT et al., 1970).
3.3.2. Modèle empirique
L’analyse sera donc basée sur un modèle de programmation linéaire intégrant la description des techniques de production de café. Ce modèle sera basé sur des parcelles types d’un système de culture donné. Notre modèle de programmation linéaire repose sur le principe que l’exploitant agricole cherche à minimiser son coût de production étant donné son niveau de production tout en satisfaisant une série de contraintes. Il s’agit ici de trouver l’allocation optimale des facteurs de production. Théoriquement le seuil optimal exprime l’utilisation efficiente des facteurs de production. Ainsi toute chose étant égale par ailleurs, ce seuil correspondrait au niveau de production qui rémunérerait mieux les facteurs de production. De ce fait, tout producteur opérant en dessous ou au-dessus de ce seuil, n’est pas rentable.
Une plantation de cultures pérennes vit pendant un certain nombre d’années. Ainsi pour le calcul de coût de production total (CPT), on s’est servi des concepts de charges variables (CV) et de charges fixes (CF). En effet, en caféiculture, le cycle de production (durée moyenne de vie de la plantation) peut être subdivisé à deux grandes phases :
¤ la phase d’installation de la plantation, elle englobe les activités de la première année à l’année d’entrée en production de la parcelle (année 1 à année 3), soit 3 ans pour le café robusta vulgarisé dans la zone d’étude. Les opérations de cette phase se composent des activités de pépinière, de mise en terre et d’entretien des jeunes plants.
¤ la phase d’exploitation, cette phase couvre l’année d’entrée en production à l’année où le renouvellement ou le remplacement de la plantation s’impose (année 4 à année 25). Elle se caractérise essentiellement par les activités d’entretien, de récolte et de postrécolte.
Ainsi, dans ce travail :
1 – les charges fixes correspondent au coût d’installation et l’amortissement du matériel. La méthode de calcul de l’amortissement, est la méthode linéaire.
2 – les charges variables ou coût variable ou encore coût d’exploitation correspondent aux dépenses liées aux intrants et à la main d’œuvre utilisée
3 – la main d’œuvre familiale est valorisée au même titre que la main d’œuvre salariale,
4 – l’effet des facteurs climatiques est supposé nul,
5 – les prix des différents facteurs sont supposés maintenus constants,
6 – les analyses reposeront essentiellement sur les facteurs main d’œuvre et intrants.
Dans le cas de l’évaluation de la rentabilité, on s’est servi des concepts suivants définis comme suit :
¤ La marge brute (MB) : Elle permet de mesurer ce qui reste au producteur après déduction de sa recette du coût des intrants et de la main d’œuvre utilisés au cours de l’année.
MB = Recette – Charges variables
¤ La valorisation de la journée de travail (VT) : Il s’agit du rapport de la marge brute par le nombre total de journées de travail pour la culture (JAGORET et al., 2006).
VT = MD / qmo
Où qmo = quantité total de journées de travail exprimé en hj.
Pour estimer la compétitivité de la culture de café, on s’est inspiré du travail de JAGORET et al. (2006). Ainsi la valorisation de la journée de travail (VT) en caféiculture est comparée au salaire minimum agricole garanti (SMAG). Le SMAG s’élève à 161.54 FCFA l’heure (Présidence, 2008). Soit 1292.32 FCFA une journée de 8 heures de travail.
Ainsi, pour VT ≥ SMAG, la culture est considérée comme compétitive.
3.3.2.1. Structure générale du modèle
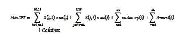
La formulation mathématique du modèle est la suivante :
Où X (i, t) : quantité de main d’œuvre de l’opération i au temps t
cu (i) : coût unitaire de la main d’œuvre de l’opération i
i = {des, ego, trains, traeng, rec, recp, trsp1, trsp2, sec, tri}
t = {an4, …, an25}
Z (j, t) : quantité de l’intrant j au temps t
cu(j) : coût unitaire de l’intrant j
j = {ins, eng}
cudec : coût unitaire de l’opération de décorticage
y (t) : le rendement de la culture au temps t
Amort(t) : amortissement du matériel au temps t
Coûtinst : coût d’installation de la culture
Min CPT : représente la fonction objective.
Les contraintes sont ainsi exprimées :
Signifie que la quantité totale du facteur travail (main d’œuvre) au temps t est toujours au moins égal au seuil (QMOmin) requis,
¤ Z (j,t) ≥ dosemin(j,t) signifie que la quantité de l’intrant j au temps t est toujours au moins égal au seuil (dosemin) requis
¤ chaque opération i du processus de production nécessite toujours une quantité de main d’œuvre au moins égal à un seuil donné (qmomin); cela se traduit par
l’inéquation suivante : X (i,t) ≥ qmomin(i,t)
¤ chaque kilogramme de produit obtenu nécessite qu’une quantité minimale de main d’œuvre soit déployée, autrement dit la quantité de main d’œuvre pour les opérations de récolte, de transports et de triage dépend du rendement de la parcelle; cela se traduit par :
où b(rec) : quantité de main d’œuvre pour récolter un kilo de cerise,
b (trsp1) : quantité de main d’œuvre pour transporter un kilo de cerise fraîche,
b (trsp2) : quantité de main d’œuvre pour transporter un kilo de cerise, sèche
b (tri) : quantité de main d’œuvre pour trier un kilo de cerise décortiquée
Y(t) : rendement de la parcelle au temps t
¤ Chaque unité de l’intrant j nécessite toujours une quantité donnée de main d’œuvre ; cela est donnée par :
¤ où a (ins) : quantité de main d’œuvre pour appliquer un litre d’insecticide, a (eng) : quantité de main d’œuvre pour épandre un kilo d’engrais
¤ la quantité de main d’œuvre requise pour l’opération d’égourmandage est au plus égale au quart de celle requise pour l’opération du désherbage.
¤ L’opération de recépage n’est réalisée qu’au plus trois fois durant les 25 ans de vie utile de la plantation.
¤ X (i,t) ≥ 0 et Z (j,t) ≥ 0; X (i,t) et Z (j,t) représentent les variables de décision.
D’autres variables spécifiques sont définies pour mieux représenter les caractéristiques du système de production de la zone. Il s’agit de la quantité de la main d’œuvre culturale, de la quantité de la main d’œuvre manutention, de la quantité de la main d’œuvre totale annuelle et du coût d’exploitation annuel ou coût variable annuel.
Dans la présente étude :
. La valeur du coût minimum total de production (CPT) correspond ici à la valeur de la fonction objective.
Le coût de production d’un kilo de café correspond au rapport du coût minimum total de production par la somme des rendements de l’année 4 à 25 :
Où y(t) = rendement de chaque année t
3.3.2.2. Source et nature des données
Les données primaires sont obtenues au cours d’un diagnostic participatif (DP) dans les Villages d’Appui à la Recherche Scientifique (VARS). Les VARS sont les villages déjà retenus comme caractérisant et représentant les différentes zones de production de café-cacao. Les données secondaires sont obtenues par consultation de la documentation existante à la DSID, et par des investigations informelles au niveau des différents acteurs dont les organisations paysannes (FUPROCAT) et les diverses structures d’intervention qui opèrent dans la zone (CRAF) etc. Ainsi, la plupart des paramètres utilisés dans notre modèle de programmation linéaire provient du VARS Atigoza représentatif du plateau Akébou – Akposso. Il en est ainsi pour la quantité minimale de main d’œuvre nécessaire pour chaque opération du système de production, pour les doses minimale d’intrant et pour les paramètres de coût unitaire des opérations et prix des intrants. En ce qui concerne le paramètre rendement de la culture, son estimation a été fondée à la fois sur les données des paysans et sur celles des techniciens agricoles ayant opéré dans la zone de l’étude.
Le logiciel GAMS (General Algaibric Modeling Systèm) a été utilisé pour sortir les résultats de ce modèle.
Page suivante : Chapitre 4 : PRESENTATION ET ANALYSE DES RESULTATS





