Chuang et Lee (2006) testent l’existence d’une relation positive entre volume de
transactions (représenté par le taux de rotation du marché) et rendements du marché en
employant le test de causalité au sens de Granger (1969) réalisé sur le NYSE et l’AMEX.
Formellement, la causalité au sens de granger entre X et Y signifie que la prévision de Y
fondée sur la connaissance des passées conjoint de X et Y est meilleure que la prévision
fondée sur la seule connaissance du passé de Y. Conformément à la méthodologie suivie
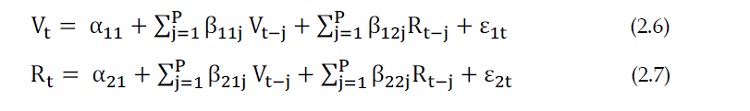
par Chuang et Lee(2006), nous estimons les équations représentatives d’un test de
causalité bi-variée au sens de granger qui se présentent comme suit :
Où :
? Vt : Le volume de transaction du mois (t) du marché (calculé sur la base du
taux de rotation),
? Vt-j : Le volume de transaction mensuel retardé du marché,
? Rt : Le rendement du marché du mois (t),
? Rt-j : Le rendement mensuel retardé du marché ,
? Pt : Le nombre de retard déterminé à l’aide des critères Akaike (AIC) et
Schwartz (SC).
Dans les tests de causalité bi-variée au sens de Granger, le rejet de l’hypothèse nulle
selon laquelle les rendements passés ne causent pas au sens de granger le volume de
transaction fournit une évidence en faveur de notre hypothèse. Dés lors
que le volume est une variable non fondamentale de l’entreprise, le rejet de l’hypothèse
selon laquelle les volumes de transactions retardés ne cause pas au sens de Granger le
rendement du marché sera la preuve de l’inefficience du marché.
Tableau 2.6 : test de causalité bi-variée entre volume de transaction et rendements mensuels du marché
***, **,* : niveaux de significativité respectivement de 1%, 5% et 10%
La méthode de régression appliquée est celle des Moindres Carrés ordinaires (MCO).
Le nombre de retards P= 1 (L’étude du corrélogramme de la série des rendements
mensuels du marché, donnée par la figure (2.2) en annexe, montre que l’auto corrélation et
l’auto corrélation partielle sont significatifs à l’ordre 1 au seuil de 1%).
Le tableau ci-dessus détecte une causalité unidirectionnelle au sens de Granger du
rendement passé vers le volume de transactions à un niveau de significativité égale à
10%. Cependant, l’absence de causalité du volume de transactions passé vers le
rendement témoigne l’absence d’éventuel effet de feedback positif sur le marché boursier
tunisien.
Notre résultat obtenu est conforme avec les études empiriques de Chen, Firth et Rui
(2001), Wang (2004) et Chuang et Lee (2006) et il confirme notre hypothèse de base selon
laquelle les investisseurs opérant sur la BVMT exhibent une confiance excessive dans leurs
comportements.


