Pour apprécier les implications sur les stratégies de la diversification internationale de portefeuille, on construit de deux portefeuilles ayant le même risque le premier diversifié intentionnellement est symbolisé par I et, le second constitué d’actifs purement locaux symbolisé par l. Logiquement, on peut calculer les rendements anticipés de ces deux portefeuilles à partir du modèle de l’évaluation des actifs financiers conditionnel et l’écart de ces deux rendements peut s’expliquer comme un profit ex ante dû à la diversification internationale.
Formellement, l’espérance des gains additionnels de la diversification internationale est exprimée comme suit :
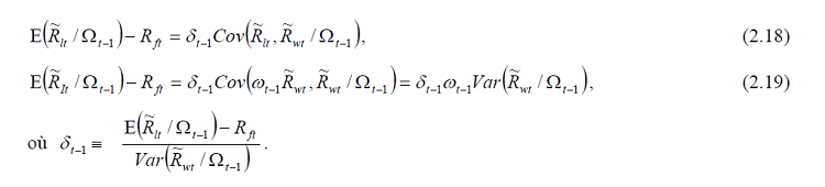
Le théorème de séparation de Black (1972) nous enseigne que tous investisseurs, quelles que soient leurs budgets initiaux et leurs degrés d’aversion pour le risque forment leur portefeuille optimal par une combinaison entre le titre sans risque et le portefeuille de marché. L’application de ce théorème au portefeuille I nous permet d’écrire :
Où ωt-1 est le pourcentage investi dans le marché mondial dont l’importance est relié au degré d’aversion pour le risque de l’investisseur.
D’autre part on a :
Rappelons que les deux portefeuilles ont le même risque, ce qui nous permet de déduire le poids ω à partir du système suivant :
En faisant la différence entre l’équation (2.18) et (2.19), on peut exprimer le gain additionnel relié à la diversification internationale par :
La dernière équation est riche d’enseignements, elle révèle que le gain de la diversification internationale est relié d’une façon croissante au risque spécifique du marché domestique en question. Or, comme signalé plus haut dans le cadre de MEDAFI, seul le risque systématique est rémunéré.
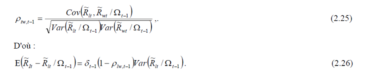
Il serait profitable de réexprimer la formule (2.23) en introduisant la corrélation entre le portefeuille domestique et le marché mondial :
On sait que :
L’interprétation de cette dernière formule nous amène à matérialiser le fait que le gain de la diversification internationale est une fonction décroissante du coefficient de corrélation ρlw,t−1. On clairement que la stratégie de diversification l’international est vaine lorsque ρlw,t−1=1. Cette situation est survient lorsque le portefeuille domestique suit exactement le même mouvement que le portefeuille mondial.
Page suivante : 2.6 La modélisation GARCH multivariée
Retour au menu : INTEGRATION FINANCIÈRE ET DIVERSIFICATION INTERNATIONALE





