L’étude des pompes centrifuges peut être dans certaines mesures, transposée au domaine des compresseurs centrifuges, mais la compressibilité des gaz, introduit un élément de complexité.
L’augmentation de la pression statique est due à l’auto-compression causée par l’action centrifuge. Ceci est analogue à l’effet gravitationnel, c’est-à-dire dans une colonne le liquide en hauteur exerce une pression sur le liquide en dessous. La pression statique produite dans l’impulseur est égale à la hauteur statique, qui serait produite par une colonne équivalente gravitationnelle. Si nous supposons que les pales de l’impulseur sont radiales et que le diamètre d’entrée de l’impulseur est petit, la hauteur statique h développée dans le passage roue pour un seul étage est donnée par:
Où
h = hauteur statique développée en mètre.
V= vitesse périphérique de l’impulseur ou vitesse de pointe en m/s.
g= accélération due à la pesanteur en m/s².
L’augmentation de la pression ∆P totale engendrée par l’écoulement du gaz à travers le passage est donnée par la formule:
ρ=densité du fluide
Dans le bilan énergétique du compresseur, nous obtenons d’un écoulement constant l’équation d’énergie suivante:
Où
Q = énergie thermique échangée de i à e
W = énergie mécanique échangée de i à e
m = débit massique du fluide
Vi, Ve = vitesses d’entrée et de sortie du fluide.
Zi, Ze = Hauteurs géométriques
Si on néglige les changements dans l’énergie cinétique et potentielle, l’équation ci-dessus devient :
Dans un compresseur centrifuge, le taux de transfert de chaleur Q est normalement négligeable (comme la surface disponible pour le transfert de chaleur est faible) par rapport à d’autres termes d’énergie, donc le travail fourni par compresseur pour la compression adiabatique est donné par l’équation suivante:
L’équation ci-dessus est valable pour les deux cas : réversible et irréversible. Dans un cas réversible, la compression adiabatique, la puissance absorbée par le compresseur est :
Puis en utilisant la relation thermodynamique, Tds = dh-vdp, le travail de compression isentropique est donné par la formule :
Ainsi dans un cas réversible, le travail isentropique de compression est identique pour les compresseurs centrifuges et les compresseurs alternatifs. Cependant, la différence fondamentale entre compresseurs alternatifs et compresseurs centrifuges réside dans la source d’irréversibilité.
Fig. 1.10 Bilan énergétique à travers un compresseur.
Dans le cas d’un compresseur alternatif l’irréversibilité est principalement due au transfert de chaleur et à la chute de pression à travers les soupapes et les canalisations. Toutefois, dans le cas d’un compresseur centrifuge, puisque la vitesse d’écoulement de fluide est très élevée à travers le passage des aubages de l’impulseur pour une montée en pression déterminée, la principale source d’irréversibilité est due à la contrainte de cisaillement à l’interface entre le fluide et la surface des aubages de l’impulseur.
Dans les compresseurs à pistons par exemple, le travail est nécessaire pour surmonter la force agissant sur le piston, tandis que dans les compresseurs centrifuge, le travail est nécessaire pour surmonter les forces de pression normales ainsi que les forces de cisaillement. Le travail spécifique est plus élevée que la zone du diagramme PV en cas de compresseur centrifuge, dues à des irréversibilités et aussi en raison de l’augmentation de volume spécifique du gaz due au frottement.
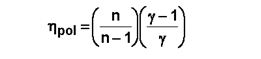
Pour tenir compte des irréversibilités dans les compresseurs centrifuges, le rendement polytropique ηpol est défini. Il est donné par la formule suivante:
Où Wpol et Wr sont les travaux polytropique et réel de la compression, Le travail polytropique de compression est généralement obtenu par l’expression :
n : est l’exposant ou indice polytropique de fluide (n≈ 0,814 pour le gaz naturel), f est un facteur de correction qui prend en compte la variation de n lors de la compression. Normalement, la valeur de f est proche de 1 (1,00 à 1,02), d’où elle peut être négligée dans les calculs, sans des erreurs significatives. Si le gaz naturel est supposé se comporter comme un gaz parfait, alors il peut être montré que le rendement polytropique est égal à:
Où γ = Rapport des chaleurs spécifiques à pression et volume constant cp / cv = 1.32 pour le gaz naturel (supposé constante).
Bien que les vapeurs de GNL ne soient pas strictement comme des gaz parfaits, l’équation ci-dessus est souvent utilisée pour obtenir le rendement polytropique du compresseur en remplaçant γ par un exposant isentropique k, c’est à dire, pour un gaz réel, le rendement polytropique est estimé à partir de l’équation :
Pour un compresseur centrifuge, le rendement polytropique varie de 0,7 à 0,85. L’exposant polytropique n est obtenu à partir des mesures réelles des pressions et des volumes spécifiques à l’entrée et à la sortie du compresseur, en utilisant l’équation PVn= constante. Cette procédure donne des résultats habituellement assez précis car les vapeurs de GNL ont une structure moléculaire simple.
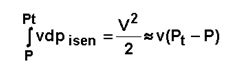
Lorsque la vitesse de gaz est élevée, alors le changement de l’énergie cinétique à travers le compresseur peut être considérable. Dans de tels cas, ces termes doivent être inclus dans l’équation énergétique à écoulement constant. Si le taux de transfert de chaleur est négligeable et le changement de l’énergie cinétique est considérable, alors le travail de compresseur est donné par :
Où ht,e et ht,i sont les enthalpies totales ou de stagnation, à la sortie et l’entrée du compresseur, respectivement. L’enthalpie totale ht du fluide est donnée par :
Où h est l’enthalpie spécifique du gaz et V est sa vitesse. Similaire à l’enthalpie statique, on peut aussi définir la température statique et la pression statique. La pression statique Pt est définie comme la pression développée quand le gaz est décéléré de façon réversible et adiabatique de vitesse V à vitesse nulle. Puis, à partir du bilan énergétique,
Pour les gaz parfaits :
Où Tt est la température totale donnée par :
Où T est la température statique et Cp est la chaleur spécifique à pression constante.
Pour un fluide incompressible (densité ≈ constante) :
D’où la pression totale d’un fluide incompressible est donnée par :
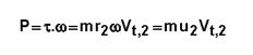
Pour établir une relation entre la puissance absorbée, la vitesse de l’impulseur et le diamètre, il est essentiel de trouver le couple nécessaire pour faire tourner la roue.
La figure 1.11 montre le diagramme des vitesses à la sortie de l’impulseur. Le couple nécessaire pour faire tourner l’impulseur est égal à la variation du moment cinétique du fluide. En supposant que le fluide entre radialement et sans composante tangentielle à l’entrée, le couple ζ est donnée par :
Où u2 est la vitesse de pointe des aubages=ω.r2.
ω est la vitesse de rotation en radians/s et r2 est le rayon d’impulseur.
Fig. 1.11 Diagramme des vitesses à la sortie de l’impulseur d’un compresseur centrifuge.
U2 = vitesse ω.r2.= vitesse de pointe de l’impulseur
ω = Vitesse de rotation de la roue
V2 = vitesse absolue du fluide
Vr,2 = vitesse relative du fluide à la roue
vt,2 = composante tangentielle de la V2
Vn = composante normale de la V2
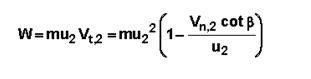
Le diagramme montre également la composante normale de la vitesse de fluide, Vn,2 à la sortie de la roue. Le débit volumique de l’impulseur est proportionnel à la composante normale de la vitesse. A partir du diagramme de vitesse, la composante tangentielle Vt,2 peut être écrite en fonction de U2 vitesse de pointe, de la composante normale Vn,2 et de l’angle de sortie par rapport aux aubages β:
D’où le travail de l’impulseur W est donnée par:
L’évaluation de la performance d’un compresseur ne se limite généralement pas à un seul point de fonctionnement, on la caractérise par un champ (figure 1.10). Le champ compresseur montre le taux de compression en fonction du débit corrigé à vitesse de rotation corrigée constante, auquel on superpose souvent les contours d’iso-rendement. La limite aux faibles débits est le pompage, qui se caractérise par une instabilité de l’écoulement (parfois jusqu’à inversion du débit), accompagné d’oscillations de pression de grande amplitude, pouvant à terme détériorer la machine. Aux forts débits, la limite est le blocage, qui correspond à l’apparition d’une section sonique dans l’étage.
Fig. 1.12: Champ compresseur type, d’après Baines (2005).
Ces deux limites permettent d’introduire une autre mesure importante de la performance : la plage de fonctionnement. Elle se définit comme
Le débit de blocage est parfois utilisé au dénominateur de cette expression. On notera que la plage d’un compresseur diminue quand le taux de compression augmente. Les phénomènes liés au pompage sont le sujet d’études à part entière, nous les aborderons dans la troisième partie de ce mémoire.
Page suivante : CHAPITRE II : L’EXPLOITATION DES COMPRESSEURS
Retour au menu : LES COMPRESSEURS A GAZ A BORD DES NAVIRES METHANIERS




















