La demi-vie plasmatique du paracétamol est d’environ 2h (VIALA et BOTTA, 2005 ;
BOUCHER et COHEN, 2007 ; GAUDY, 2009). Elle est très courte et témoigne ainsi d’une
forte métabolisation dont ce médicament fait l’objet au niveau de l’organisme.
Le métabolisme du paracétamol est essentiellement hépatique en raison de la situation
« carrefour » du foie, du débit sanguin élevé et de la richesse en enzymes diverses de cet
organe. Il est aussi rénal, mais accessoirement (ZETLAOUI et LENOBLE, 2004).
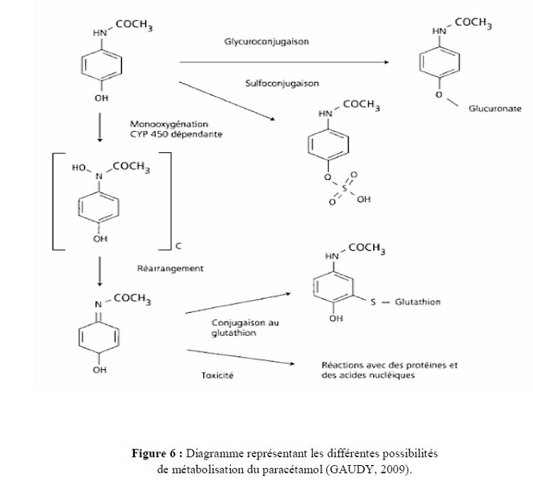
Dans le foie comme dans les reins, le paracétamol est substrat d’enzymes
microsomales (des transférases et des oxydases) qui le conjuguent en dérivés très
hydrosolubles donc facilement excrétables (Figure 6).
Les transférases microsomales appartiennent à deux sous classes différentes :
– l’uridine di-phosphate glucuronyl transférase (UDP-glucuronyl transférase) dont
l’acide uridine-5’-diphospho-α-D-glucuronique (en abrégé : UDPGA) est le
coenzyme, qui transforme le paracétamol en un dérivé glucuroconjugué par
transfert de groupement glucuronate porté par le coenzyme (STERNER, 1999) ;
– la sulfotransférase dont le coenzyme est le 3-phosphoadénosine-5’-phosphosulfate
(en abrégé : PAPS), qui transforme le paracétamol en un dérivé sulfoconjugué par
transfert de groupement sulfate inorganique porté par le coenzyme (HACHULLA
et FLIPO, 1999).
Les oxydases sont des mono-oxygénases à cytochrome P450, essentiellement les
cytochromes CYP2E1 et CYP3A4, qui transforment le paracétamol en N-acétyl-pbenzoquinone-
imine (en abrégé : NAPQI) qui est ensuite conjugué au glutathion.
De part l’importance de la glucuroconjugaison sur les autres formes de conjugaison,
environ 55% du paracétamol ingéré subit une glucuroconjugaison. La sulfoconjugaison
intervient quant à elle, pour 35% environ, alors que l’oxydation pour seulement 7%.
Il est à signaler également l’existence d’une variabilité individuelle et ethnique dans le
métabolisme du paracétamol. Celle-ci porte sur le pool hépatique de glutathion, l’activité du
CYP-450 et les phénotypes de glucoronidation et suggère que certains sous groupes de la
population seraient plus vulnérables au paracétamol (SERAIFI et al, 2007).

