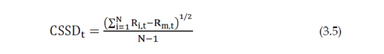
La mesure de Christie et Huang est basée sur une mesure de la dispersion transversale
des rendements :
(3.5)
Avec :
Ri,t est le rendement de l’actif i au temps t et Rm,t est le rendement du marché.
Cette mesure examine l’ampleur de la dispersion en coupe transversale (ou volatilité)
des rendements d’une action individuelle lors des changements importants de prix. Si la
dispersion est faible durant les changements importants de prix alors Christie et Huang
suggèrent qu’il n’y a pas une évidence du comportement mimétique. Toutefois, en se
concentrant sur la variance des rendements qui limite gravement la valeur de la mesure
CH, puisque la volatilité en coupe transversale sur les rendements n’est pas indépendante
de la volatilité des séries chronologiques des rendements, la mesure CH ne peut donc pas
être directement utilisée pour étudier le comportement grégaire.

